JBCS

14:00, Sat Nov 29

Open Access/APCs

First slide
Second slide
Third slide
Third slide
Fifth slide
Sixth slide

vol. 22, No. 9, 2011, p. 1617-1822

 

The Importance of International Collaborations for the 21st Century Chemist

As President of the American Chemical Society (ACS), it was my distinct privilege to take part in the recent Sociedade Brasileira de Química (SBQ) national meeting in Florianópolis, Santa Catarina, certainly as a participant but more importantly as an observer. The historical number of women and young chemists that participated in the 34th National Meeting, and how involved these populations were, is commendable and speaks highly of the inclusiveness of Brazilian Chemistry. I was particularly struck by the vibrant engagement of the next generation of chemists who presented their research with the same level of enthusiasm they had for dancing the night away at the opening "festa do AIQ-2011".

(Read more at Editorial)



Editorial J. Braz. Chem. Soc. 2011, 22(9), 1617-1620

The Importance of International Collaborations for the 21st Century Chemist

Nancy B. Jackson

How to cite this article

 

https://dx.doi.org/10.1590/S0103-50532011000900001

Total access: 1576


Review J. Braz. Chem. Soc. 2011, 22(9), 1621-1633

Modulation of the Catalytic Activity of Porphyrins by Lipid- and Surfactant-Containing Nanostructures

Iseli L. Nantes; Nelson Durán; Sandra M. S. Pinto; Fabiana B. da Silva; Juliana S. de Souza; Noemia Isoda; Roberto A. S. Luz; Tiara G. de Oliveira; Vinícius G. Fernandes

How to cite this article

 

The structure and activity of metaloporphyrins are modulated by axial and equatorial ligands (highlighted as red circles), by solvents (top left corner), by the microenvironments provided by apoproteins (right bottom corner) and by the association to surfactant- and lipid -containing nanostructures such as micelles and liposomes

https://dx.doi.org/10.1590/S0103-50532011000900002

Published online: May 26, 2011

 

Share PDF

Total access: 1284


Articles J. Braz. Chem. Soc. 2011, 22(9), 1634-1643

Microwave-Promoted Morita-Baylis-Hillman Reactions: Efficient Synthesis of New Monoacylglycerols (MAGs) as Potential Anti-Parasitic Compounds

Suervy C. O. Sousa; Claudio G. L. Junior; Fábio P. L. Silva; Natália G. Andrade; Ticiano P. Barbosa; Mário L. A. A. Vasconcellos

How to cite this article

 

The new congeners hydrophilic MAGs and the corresponding synthetic precursors were prepared in high yields (67-90%, one or two steps) under microwave irradiation using glycerol derivatives as starting materials. These are a new potential antiparasitic compounds

https://dx.doi.org/10.1590/S0103-50532011000900003

Published online: June 2, 2011

 

Share PDF   Supplementary Information 

Total access: 3236


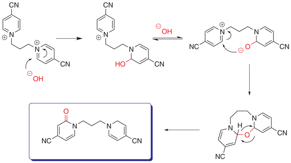
J. Braz. Chem. Soc. 2011, 22(9), 1644-1648

Characterization Studies of 1-(4-Cyano-2-oxo-1,2-dihydro-1- pyridyl)-3-(4-cyano-1,2-dihydro-1-pyridyl)propane Formed from the Reaction of Hydroxide Ion with 1,3-Bis-(4-cyano pyridinium)propane

Simone Fiori; Ivânia T. A. Schuquel; Idélcio N. da Silva; Mário J. Politi; Luiz H. Catalani; Hernan Chaimovich; Emerson Meyer; Noboru Hioka

How to cite this article

 

The alkaline hydrolysis of bis(4-cyanopyridinium) salts with two pyridinium rings covalently linked by methylene spacers produce compounds constituted by 4-pyridone and 4-carboxamidopyridinium rings. However, the reactant with three methylene groups additionally generates a new product promoted by charge-conformational effects

https://dx.doi.org/10.1590/S0103-50532011000900004

Published online: June 7, 2011

 

Share PDF   Supplementary Information 

Total access: 2595


J. Braz. Chem. Soc. 2011, 22(9), 1649-1655

Bromine and Chlorine Determination in Cigarette Tobacco using Microwave-Induced Combustion and Inductively Coupled Plasma Optical Emission Spectrometry

Aline L. H. Müller; Cezar A. Bizzi; Juliana S. F. Pereira; Marcia F. Mesko; Diogo P. Moraes; Erico M. M. Flores; Edson I. Muller

How to cite this article

 

Microwave-induced combustion was applied for cigarette tobacco samples digestion and further determination of bromine and chlorine by inductively coupled plasma optical emission spectrometry (ICP OES). In addition, it was possible to obtain a single solution suitable for both analytes determination using different analytical techniques and with residual carbon content lower than 1%

https://dx.doi.org/10.1590/S0103-50532011000900005

Published online: June 7, 2011

 

Share PDF

Total access: 1669


J. Braz. Chem. Soc. 2011, 22(9), 1656-1661

Microextraction in Packed Sorbent for Determination of Sulfonamides in Egg Samples by Liquid Chromatography and Spectrophotometric Detection

Fernanda H. Salami; Maria Eugênia C. Queiroz

How to cite this article

 

Microextraction by packed sorbent (MEPS) is the miniaturization of conventional solid phase extraction (SPE) packed bed devices from milliliter bed volumes to microliter volumes. MEPS can be connected online liquid chromatography (LC) without any modifications. In MEPS the sorbent, 1-2 mg, is either inserted into the syringe (100-250 μL) barrel as a plug or between the needle and the barrel as a cartridge

https://dx.doi.org/10.1590/S0103-50532011000900006

Published online: June 9, 2011

 

Share PDF

Total access: 1219


J. Braz. Chem. Soc. 2011, 22(9), 1662-1668

Determination of Efavirenz in Diluted Alkaline Electrolyte by Cathodic Adsorptive Stripping Voltammetry at the Mercury Film Electrode

Arnaldo A. Castro; Marcus V. N. de Souza; Nicolás A. Rey; Percio A. M. Farias

How to cite this article

 

A stripping method for the determination of the antiretroviral drug efavirenz at submicromolar concentration levels in diluted alkaline electrolyte is described. The utility of the method is demonstrated by the determination of efavirenz in a synthetic mixture containing both lamivudine and zidovudine

https://dx.doi.org/10.1590/S0103-50532011000900007

Published online: June 9, 2011

 

Share PDF

Total access: 1220


J. Braz. Chem. Soc. 2011, 22(9), 1669-1678

Effect of Temperature on Methylene Blue Decolorization in Aqueous Medium in Electrical Discharge Plasma Reactor

Luís O. de B. Benetoli; Bruno M. Cadorin; Cícero da S. Postiglione; Ivan G. de Souza; Nito A. Debacher

How to cite this article

 

The non-thermal plasma experimental setup. The increasing need for clean water has motivated the development of new technologies for water cleaning. Non-thermal plasma can be efficiently applied to a large variety of environmental and industrial processes, in both the aqueous and gaseous phase, and it can be considered as a green technology, that is, less harmful to ecosystems than conventional technologies

https://dx.doi.org/10.1590/S0103-50532011000900008

Published online: June 9, 2011

 

Share PDF

Total access: 1454


J. Braz. Chem. Soc. 2011, 22(9), 1679-1685

SPE-HPLC Method for Determination of Ketoconazole and Clotrimazole Residues in Cow's Milk

Farzaneh Ahmad Khan Beigi; Mohammad Imani; Mahmood Payehghadr; Hedayat Hosseini

How to cite this article

 

In this article, a cheap, simple and reliable method is reported for enrichment and determination of ketoconazole and clotrimazole antifungal residues in cow's milk. Extraction was accomplished using solid phase extraction and samples were subsequently analyzed by HPLC-UV method

https://dx.doi.org/10.1590/S0103-50532011000900009

Published online: June 9, 2011

 

Share PDF

Total access: 1331


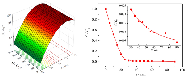
J. Braz. Chem. Soc. 2011, 22(9), 1686-1694

Galvanostatic Removal of Pb2+ Ions from Diluted Solutions by the Use of a Membrane-Less Flow-Through Cell with Stainless Steel Wool Electrodes

Lucio C. Almeida; Nerilso Bocchi; Romeu C. Rocha-Filho; Sonia R. Biaggio

How to cite this article

 

The proposed electrolytic system led to the removal of the Pb2+ ions from dilute solutions by simultaneous reduction and oxidation in the cathodes and anode. Consequently, significant improvements of the current efficiency and Pb2+ fractional conversion (XPb2+) or decay of the normalized Pb2+ concentration (C/C0) were attained in a short time

https://dx.doi.org/10.1590/S0103-50532011000900010

Published online: June 9, 2011

 

Share PDF   Supplementary Information 

Total access: 2453


J. Braz. Chem. Soc. 2011, 22(9), 1695-1700

The Effects of Solar Irradiation on Copper Speciation and Organic Complexation

Alessandra E. Tonietto; Ana Teresa Lombardi; Armando A. H. Vieira

How to cite this article

 

This research demonstrated that solar irradiation affected Cu speciation and Cu-DOM interactions in water samples from eutrophic and metal contaminated reservoir. It is a contribution to the understanding of the ecological implications of photooxidation in natural environments, such as the increase of Cu bioavailability

https://dx.doi.org/10.1590/S0103-50532011000900011

Published online: June 14, 2011

 

Share PDF   Supplementary Information 

Total access: 2352


J. Braz. Chem. Soc. 2011, 22(9), 1701-1708

Determination of Pesticide Residues in Tomato using Dispersive Solid-Phase Extraction and Gas Chromatography/Ion Trap Mass Spectrometry

Graziela C. R. Moura Andrade; Rosana M. O. Freguglia; Regina P. Z. Furlani; Nádia H. Torres; Valdemar L. Tornisielo

How to cite this article

 

A procedure based on dispersive solid-phase extraction was proposed to determine of pesticides in tomato samples. The method is a multi-class, quick, cheap and can be easily implemented for routine analysis. Different options in the protocol are possible depending on alternate analytical instrumentation available

https://dx.doi.org/10.1590/S0103-50532011000900012

Published online: June 14, 2011

 

Share PDF

Total access: 1727


J. Braz. Chem. Soc. 2011, 22(9), 1709-1717

Ethanol Electrooxidation using Ti/(RuO2)(x)Pt(1-x) Electrodes Prepared by the Polymeric Precursor Method

R. G. Freitas; L. F. Q. P. Marchesi; M. R. Forim; L. O. S. Bulhões; E. C. Pereira; M. C. Santos ; R. T. S. Oliveira

How to cite this article

 

It was found that the best composition of the Ti/(RuO2)(x)Pt(1-x) electrodes prepared by the polymeric precursor method toward CO and ethanol electrooxidation processes is (x = 0.5). The onset for ethanol oxidation process is 220mV less positive than on Ti/Pt electrodes. The image shows the ethanol electrooxidation mechanism on Ti/(RuO2)(x)Pt(1-x) electrodes prepared by the polymeric precursor method

https://dx.doi.org/10.1590/S0103-50532011000900013

Published online: June 16, 2011

 

Share PDF

Total access: 1308


J. Braz. Chem. Soc. 2011, 22(9), 1718-1726

Descriptor- and Fragment-based QSAR Models for a Series of Schistosoma mansoni Purine Nucleoside Inhibitors

Humberto F. Freitas; Matheus P. Postigo; Adriano D. Andricopulo; Marcelo S. Castilho

How to cite this article

 

Fragment- and descriptor-based QSAR models were employed to investigate the potency of a series of deazaguanine analogs as inhibitors of S. mansoni purine nucleoside phosphorylase. The HQSAR contribution maps highlight the contribution of the main fragments to potency (positive in green; detrimental in red)

https://dx.doi.org/10.1590/S0103-50532011000900014

Published online: June 16, 2011

 

Share PDF   Supplementary Information 

Total access: 2394


J. Braz. Chem. Soc. 2011, 22(9), 1727-1735

Fast and Simultaneous Determination of Pb2+ and Cu2+ in Water Samples using a Solid Paraffin-Based Carbon Paste Electrode Chemically Modified with 2-Aminothiazole-Silica-Gel

Daiane H. Silva; Dayane A. Costa; Regina M. Takeuchi; André L. Santos

How to cite this article

 

This work demonstrates that the combination of solid paraffin as binder agent and silica organofunctionalized with 2-aminothiazole groups as chemical modifier was a very efficient strategy to prepare highly stable carbon paste electrodes. These electrodes allowed in a reliable and simultaneous manner the low level quantification of Pb2+ and Cu2+ in water samples in a very fast way

https://dx.doi.org/10.1590/S0103-50532011000900015

Published online: June 21, 2011

 

Share PDF

Total access: 1292


J. Braz. Chem. Soc. 2011, 22(9), 1736-1741

Novel Chiral Ionic Liquid (CIL) Assisted Selectivity Enhancement to (L)-Proline Catalyzed Asymmetric Aldol Reactions

Long Zhang; Haibo Zhang; Huadong Luo; Xiaohai Zhou; Gongzhen Cheng

How to cite this article

 

A significant improvement of the chemical yields (up to 88%), stereoselectivity (> 99:1) and enantiomeric excesses (up to 98%) of (L)-proline catalyzed direct asymmetric aldol reaction was found when proline based chiral ionic liquids (CILs) were ued as additives

https://dx.doi.org/10.1590/S0103-50532011000900016

Published online: June 21, 2011

 

Share PDF   Supplementary Information 

Total access: 2602


J. Braz. Chem. Soc. 2011, 22(9), 1742-1749

A "Green" Synthesis of N-(Quinoline-3-ylmethylene)benzohydrazide Derivatives

LingamVenkata Reddy; Suresh Babu Nallapati; Syed Sultan Beevi; Lakshmi Narasu Mangamoori; Khagga Mukkanti; Sarbani Pal

How to cite this article

 

Synthesis of a range of hybrid molecules of potential pharmacological interest was accomplished via the reaction of 2-chloroquinoline-3-carbaldehyde with substituted hydrazides in a green and recyclable solvent PEG 400

https://dx.doi.org/10.1590/S0103-50532011000900017

Published online: June 21, 2011

 

Share PDF   Supplementary Information 

Total access: 2475


J. Braz. Chem. Soc. 2011, 22(9), 1750-1757

Organonickel(II) Complexes with Anionic Tridentate 1,3-Bis(azolylmethyl)phenyl Ligands. Synthesis, Structural Characterization and Catalytic Behavior

John Hurtado; Andrés Ibañez; René Rojas; Mauricio Valderrama; Roland Fröhlich

How to cite this article

 

The synthesis of new ligands and organonickel pincer complexes has been described and their molecular structures were determined by single-crystal X-ray diffraction analysis. The nickel complex [NiBr{1,3-bis(indazolylmethyl)phenyl-N,C,N}] was tested as a catalyst in ethylene polymerization reaction under mild conditions

https://dx.doi.org/10.1590/S0103-50532011000900018

Published online: June 28, 2011

 

Share PDF   Supplementary Information 

Total access: 2335


J. Braz. Chem. Soc. 2011, 22(9), 1758-1764

Analytical Methods in Photoelectrochemical Treatment of Phenol

Paulo R. M. Lopes; Renato N. Montagnolli; Ederio D. Bidoia

How to cite this article

 

When a semiconductor as TiO2 is irradiated by ultraviolet rays, electron/hole (e-/h+) pairs are formed in semiconductor surface and these reactions generate hydroxyl radicals. Hence, the highly oxidants species (OHo) are able to degrade organic compounds, such as phenols

https://dx.doi.org/10.1590/S0103-50532011000900019

Published online: June 28, 2011

 

Share PDF

Total access: 1194


J. Braz. Chem. Soc. 2011, 22(9), 1765-1773

Study of the BPP7a Peptide and its β-Cyclodextrin Complex: Physicochemical Characterization and Complete Sequence Specific NMR Assignments

Ivana Lula; Frederico B. de Sousa; Angelo M. L. Denadai; Danielle Ianzer; Antônio C. M. de Camargo; Robson A. S. Santos; Rubén D. Sinisterra

How to cite this article

 

The figure presents a structural proposal for the association complex formed between the BPP7a heptapeptide and β-cyclodextrin. The peptide and the BPP7a/β-cyclodextrin complex were characterized by circular dichroism, isothermal titration calorimetry and nuclear magnetic resonance spectroscopy

https://dx.doi.org/10.1590/S0103-50532011000900020

Published online: June 30, 2011

 

Share PDF   Supplementary Information 

Total access: 2402


J. Braz. Chem. Soc. 2011, 22(9), 1774-1781

Property-Based Design and Synthesis of New Chloroquine Hybrids via Simple Incorporation of 2-Imino-thiazolidin- 4-one or 1H-Pyrrol-2,5-dione Fragments on the 4-Amino-7-chloroquinoline Side Chain

Fernando A. Rojas; Vladimir V. Kouznetsov

How to cite this article

 

New chloroquine based hybrids were designed in silico incorporating different small N-heterocycles on the side chain amino group, and finally synthesized in excellent yield by a straight forward synthetic methodology

https://dx.doi.org/10.1590/S0103-50532011000900021

Published online: June 30, 2011

 

Share PDF   Supplementary Information 

Total access: 2496


J. Braz. Chem. Soc. 2011, 22(9), 1782-1787

Simultaneous Determination of Hydride and Non-Hydride Forming Elements by Inductively Coupled Plasma Optical Emission Spectrometry

Z. Benzo; M. N. Matos-Reyes; M. L. Cervera; M. de la Guardia

How to cite this article

 

A multielemental method based on the simultaneous determination of Ca, Cd, Co, Cr, Cu, Fe, Mg, Mo, Ni and Zn (non-hydride forming elements), and As, Bi, Sb, Se and Te (hydride forming elements) using a dual nebulizer and online hydride generation by axial view ICP OES has been developed and applied to the analysis of different reference materials

https://dx.doi.org/10.1590/S0103-50532011000900022

Published online: June 30, 2011

 

Share PDF

Total access: 1264


J. Braz. Chem. Soc. 2011, 22(9), 1788-1794

Use of Fe3+ Ion Probe to Study Intensively Weathered Soils utilizing Electron Paramagnetic Resonance and Optical Spectroscopy

S. P. Balena; I. Messerschmidt; J. C. Tomazoni; E. Guimarães; B. F. Pereira; F. J. Ponzoni; W. E. H. Blum; A. S. Mangrich

How to cite this article

 

Soil samples DRUV-VIS 2nd derivative K-M function. The name of hematite, α-Fe2O3, is related to the red color observed due to the strong d-d transition around 550 nm

https://dx.doi.org/10.1590/S0103-50532011000900023

Published online: July 5, 2011

 

Share PDF

Total access: 1213


J. Braz. Chem. Soc. 2011, 22(9), 1795-1807

Metal-Free Synthesis of Indanes by Iodine(III)-Mediated Ring Contraction of 1,2-Dihydronaphthalenes

Fernanda A. Siqueira; Eloisa E. Ishikawa; André Fogaça; Andréa T. Faccio; Vânia M. T. Carneiro; Rafael R. S. Soares; Aline Utaka; Iris R. M. Tébéka; Marcin Bielawski; Berit Olofsson; Luiz F. Silva Jr.

How to cite this article

 

The ring contraction of readily available 1,2-dihydronaphthalenes promoted by iodine(III) gives functionalized indanes under mild conditions

https://dx.doi.org/10.1590/S0103-50532011000900024

Published online: July 12, 2011

 

Share PDF   Supplementary Information 

Total access: 2595


J. Braz. Chem. Soc. 2011, 22(9), 1808-1815

Dansyl-Based Fluorescent Films Prepared by Chemical and Electrochemical Methods: Cyclic Voltammetry, AFM and Spectrofluorimetry Characterization

Ana Julia C. Silva; José Ginaldo Silva Jr.; Severino Alves Jr.; Josealdo Tonholo; Adriana S. Ribeiro

How to cite this article

 

This scheme summarises the two methods used to prepare the fluorescent films based on dansyl derivatives and shows the images of these films when exposed to ultraviolet light

https://dx.doi.org/10.1590/S0103-50532011000900025

Published online: July 12, 2011

 

Share PDF

Total access: 1221


J. Braz. Chem. Soc. 2011, 22(9), 1816-1822

Background Corrected Dispersive Liquid-Liquid Microextraction of Cadmium Combined with Flame Atomic Absorption Spectrometry

Ghasem Karim-Nezhad; Mohammad Ahmadi; Behruz Zare-Dizajdizi

How to cite this article

 

Dispersive liquid-liquid micro extraction of cadmium was developed by dithizone. The organic solvents in sedimented phase made highbackground signals in flame atomic absorption spectrometry. To remove the background signals, we added 0.2 mL 0.5 mol L-1 nitric acid (strong oxidizing agent) into sedimented phase and then heated at 90 oC for 3 min until the organic solvents were evaporated completely

https://dx.doi.org/10.1590/S0103-50532011000900026

Published online: July 14, 2011

 

Share PDF

Total access: 1425

Online version ISSN 1678-4790 Printed version ISSN 0103-5053
Journal of the Brazilian Chemical Society
JBCS Editorial and Publishing Office
University of Campinas - UNICAMP
13083-970 Campinas-SP, Brazil

Free access

GN1