JBCS

13:59, Sat Nov 29

Open Access/APCs

First slide
Second slide
Third slide
Third slide
Fifth slide
Sixth slide

vol. 22, No. 10, 2011, p. 1823-2021

 

Chemistry and Healthcare Innovation in Brazil

2011 is the International Year of Chemistry (IYoC), which is being celebrated by many countries throughout the world, including Brazil. Last month, conferences were held in Campinas and Sao Paulo that included four Nobel Prize Laureates in chemistry and international experts from the chemical science community. Such world class conferences attest to Brazil's growing scientific standing, which reflects the quality of chemistry teaching and research and also the scale of investment in future world class talent. A particularly exciting initiative is the Ciências sem Fronteiras Program1 that was recently announced in Brasilia and which is already being put into practice. Thousands of studentships will be available for young Brazilian scientists to study abroad and there is also the intention to attract senior external researchers to seed laboratories in Brazil.

(Read more at Editorial)



Editorial J. Braz. Chem. Soc. 2011, 22(10), 1823-1826

Chemistry and Healthcare Innovation in Brazil

Simon F. Campbell

How to cite this article

 

https://dx.doi.org/10.1590/S0103-50532011001000001

Total access: 1609


Account J. Braz. Chem. Soc. 2011, 22(10), 1827-1840

What do We Know about Reaction Mechanism? The Electrospray Ionization Mass Spectrometry Approach

Leonardo S. Santos

How to cite this article

 

This account illustrates the significant innovative potential of ESI.MS for the investigation of the organic/organometallic reaction mechanisms. It is also exemplified the usage of the ion/molecule reactions to probe the catalyst activity of different species intercepted in condensed phase, a straightforward method not available so far

https://dx.doi.org/10.1590/S0103-50532011001000002

Published online: July 21, 2011

 

Share PDF

Total access: 1347


Review J. Braz. Chem. Soc. 2011, 22(10), 1841-1849

Critical Evaluation of the Oxygen-Enhanced Combustion in Gas Burners for Industrial Applications and Heating Systems

Alex A. B. Santos; Ednildo A. Torres; Pedro A. P. Pereira

How to cite this article

 

The oxygen enhanced combustion (OEC) is presented as a promising technique for increasing the energy efficiency of industrial burners. However, some gaps appear to explain the application of this technique in the oil and gas industries, and this work presents an evaluation on the subject

https://dx.doi.org/10.1590/S0103-50532011001000003

Published online: August 11, 2011

 

Share PDF

Total access: 1173


Articles J. Braz. Chem. Soc. 2011, 22(10), 1850-1857

Determination of Ca, Cu, Fe and Mg in Fresh and Processed Meat Treated with Tetramethylammonium Hydroxide by Atomic Absorption Spectrometry

Adriane M. Nunes; Tanize S. Acunha; Eliézer Q. Oreste; Fábio G. Lepri; Mariana A. Vieira; Adilson J. Curtius; Anderson S. Ribeiro

How to cite this article

 

In this paper, a simple method for treating fresh (FM) and processed for (PM) meat with tetra-methylammonium hydroxide (TMAH) is proposed to the determination of Ca, Cu, Fe and Mg by atomic absorption spectrometry

https://dx.doi.org/10.1590/S0103-50532011001000004

Published online: July 14, 2011

 

Share PDF

Total access: 1263


J. Braz. Chem. Soc. 2011, 22(10), 1858-1865

Metal Concentration in Sediments from the Santos Estuarine System: a Recent Assessment

Isabella C. A. C. Bordon; Jorge E. S. Sarkis; Gustavo M. Gobbato; Marcos A. Hortellani; Claudia M. Peixoto

How to cite this article

 

Sediment samples were collected along the Santos Estuarine System and metal (such as Cu, Hg, Ni, Pb and Zn) concentrations were measured. Some of the sample presented Hg concentration above the Canadian Sediment Quality Guidelines recommendation. The study of the PCA grouped sites close to an important industrial area indicated a more critical sediment contamination, which was confirmed by the cluster analysis. The results demonstrated that metal contamination is still a problem for the bent ecosystem of the Santos Estuarine System (Sao Paulo State, Brazil)

https://dx.doi.org/10.1590/S0103-50532011001000005

Published online: July 14, 2011

 

Share PDF   Supplementary Information 

Total access: 2434


J. Braz. Chem. Soc. 2011, 22(10), 1866-1871

Extraction of Lignin from Sugar Cane Bagasse and its Modification into a High Performance Dispersant for Pesticide Formulations

Zhili Li; Yuanyuan Ge

How to cite this article

 

Suspending rate of DWG with different lignosulfonates at 8.0% dosage. The dispersant modified from sugar cane bagasse lignin (EBL-M) had the equal dispersing efficiency to kinsperse and being higher than other commercial lignosulfonates

https://dx.doi.org/10.1590/S0103-50532011001000006

Published online: July 19, 2011

 

Share PDF

Total access: 1207


J. Braz. Chem. Soc. 2011, 22(10), 1872-1879

Styrene Photocatalytic Degradation Reaction Kinetics

Silvio R. Taffarel; Marla A. Lansarin; Celso C. Moro

How to cite this article

 

The aqueous styrene photocatalytic degradation reaction was evaluated using TiO2 P-25 (Degussa) as a catalyst. The chromatographic analysis revealed benzaldehyde as one of the intermediates

https://dx.doi.org/10.1590/S0103-50532011001000007

Published online: July 19, 2011

 

Share PDF

Total access: 1268


J. Braz. Chem. Soc. 2011, 22(10), 1880-1887

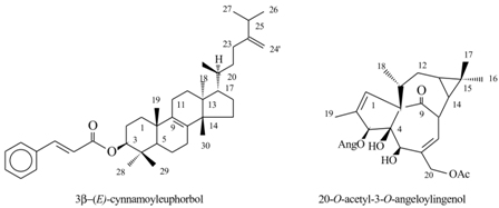
Molluscicidal Activity of Compounds Isolated from Euphorbia conspicua N. E. Br.

Rosalina C. S. Mata; Dina I. M. D. de Mendonça; Liliana Vieira; Aldenir F. dos Santos; Luciana A. da Silva; Jorge F. Gaspar; Célia Martins; José Rueff; Antônio E. G. Sant'Ana

How to cite this article

 

3β-(E)-cinnamoyleuphorbol, a new tirucallane triterpene together with known compounds of euphane, cycloartane and ingenane skeleta were isolated from latex of E. viscose and evaluated for their molluscicidal, mutagenis, genotoxic and citotoxic activities

https://dx.doi.org/10.1590/S0103-50532011001000008

Published online: July 21, 2011

 

Share PDF   Supplementary Information 

Total access: 2363


J. Braz. Chem. Soc. 2011, 22(10), 1888-1893

Development of a Fluorimetric Sequential Injection Analysis (SIA) Methodology for Determination of Quinine

Carlos M. C. Infante; Jorge C. Masini

How to cite this article

 

Sequential injection system for determination of quinine: C = carrier solution (H2O), SV = syringe valve, SP = syringe pump, HC = holding coil, RV = eight port rotary selection valve, S = standard solution, R = 0.10 mol L-1 sulfuric acid, RC = reaction coil, D = fluorimetric detector and W = waste

https://dx.doi.org/10.1590/S0103-50532011001000009

Published online: July 26, 2011

 

Share PDF

Total access: 1264


J. Braz. Chem. Soc. 2011, 22(10), 1894-1902

Effect of Cerium Loading on Structure and Morphology of Modified Ce-USY Zeolites

Fillipe A. C. Garcia; Daniel R. Araújo; Júnia C. M. Silva; Julio L. de Macedo; Grace F. Ghesti; Sílvia C. L. Dias; José A. Dias; Geraldo N. R. Filho

How to cite this article

 

Ce-USY (2-25 wt.% of CeO2) showed increased Lewis/Bronsted ratio with increasing cerium loadings due to the interaction of the excess cerium with USY hydroxyl groups and the formation of CeOx species

https://dx.doi.org/10.1590/S0103-50532011001000010

Published online: July 26, 2011

 

Share PDF   Supplementary Information 

Total access: 2311


J. Braz. Chem. Soc. 2011, 22(10), 1903-1912

Attenuated Total Reflectance with Fourier Transform Infrared Spectroscopy (ATR/FTIR) and Different PLS Algorithms for Simultaneous Determination of Clavulanic Acid and Amoxicillin in Powder Pharmaceutical Formulation

Aline L. H. Müller; Érico M. M. Flores; Edson I. Müller; Fabiana E. B. Silva; Marco F. Ferrao

How to cite this article

 

An alternative method for the simultaneous quantification of clavulanic acid (CA) and amoxicillin (AMO) in powder pharmaceutical formulations using ATR/FTIR spectroscopy and variable selection by interval PLS (i PLS), synergy interval PLS (si PLS) and backward interval PLS (bi PLS)

https://dx.doi.org/10.1590/S0103-50532011001000011

Published online: July 28, 2011

 

Share PDF

Total access: 1153


J. Braz. Chem. Soc. 2011, 22(10), 1913-1920

Intralaboratory Validation, Comparison and Application of HPLC-UV-DAD Methods for Simultaneous Determination of Benzalkonium Chloride, Chlorexidine Digluconate and Triclosan

Simone C. Chiapetta; Érika C. B. de Oliveira; Beta C. Olivier; Luiza A. Mercante; Danielle M. Henriques; Annibal D. Pereira Netto

How to cite this article

 

Chromatographic separation of the studied compounds in the two sets of chromatographic conditions. Triclosan (TR), chlorexidine digluconate (CD) and benzalkonium chloride homologues (C12, C14 and C16)

https://dx.doi.org/10.1590/S0103-50532011001000012

Published online: July 28, 2011

 

Share PDF

Total access: 1219


J. Braz. Chem. Soc. 2011, 22(10), 1921-1930

Distribution of Pesticide Residues in Rice Grain and in its Coproducts

Giniani C. Dors; Ednei G. Primel; Carlos A. A. Fagundes; Carlos H. P. Mariot; Eliana Badiale-Furlong

How to cite this article

 

The validation of a modified QuEChERS method allowed the extraction of carbofuram, bispyribac-sodium, clomazone, and tebuconazole from rice bran and its coproducts. The HPLC-DAD method (illustrated in the chromatogram) were suitable for both indetification and quantification of such compounds

https://dx.doi.org/10.1590/S0103-50532011001000013

Published online: August 2, 2011

 

Share PDF

Total access: 1272


J. Braz. Chem. Soc. 2011, 22(10), 1931-1938

Constant-Current Coulometry and Ion Chromatography Bromide Determination to Characterize the Purity of the Potassium Chloride

Paulo P. Borges; Sidney P. Sobral; Lilian da Silva; Thiago O. Araújo; Renata S. Silva

How to cite this article

 

Schematic diagram of the primary system of coulometry with the coulometric cell to characterize the purity of the potassium chloride

https://dx.doi.org/10.1590/S0103-50532011001000014

Published online: August 4, 2011

 

Share PDF

Total access: 1207


J. Braz. Chem. Soc. 2011, 22(10), 1939-1943

A Concise Synthetic Method for 1,3,5-Triazinane-2,4-Dithiones

Zheng Li; Hongfang Cai; Jingya Yang; Pengxian Niu; Chenhui Liu

How to cite this article

 

1,3,5-Triazinane-2,4-dithiones were efficiently synthesized via condensation of 2 equiv. of 1-arylthioureas with 1 equiv. of aliphatic carboxylic acids using ferric chloride hexahydrate as a catalyst

https://dx.doi.org/10.1590/S0103-50532011001000015

Published online: August 11, 2011

 

Share PDF   Supplementary Information 

Total access: 2370


J. Braz. Chem. Soc. 2011, 22(10), 1944-1952

Optimization and Validation of a Method using SPE and LC-APCI-MS/MS for Determination of Pharmaceuticals in Surface and Public Supply Water

Liziane V. Cardoso; Débora Tomasini; Maicon R. F. Sampaio; Sergiane S. Caldas; Natiele Kleemann; Ednei G. Primel; Fabio F. Gonçalves

How to cite this article

 

Pharmaceuticals go through metabolic processes in the organism after ingestion. They are later excreted in their original form or as metabolites. They end up in surface water and eventually in water treatment plants. Since the treatment may not be as efficient in their removal, they can be found in drinking water

https://dx.doi.org/10.1590/S0103-50532011001000016

Published online: August 16, 2011

 

Share PDF

Total access: 1211


J. Braz. Chem. Soc. 2011, 22(10), 1953-1960

Preparation and Characterization of a Chemically Sulfated Cashew Gum Polysaccharide

Érico de Moura Neto; Jeanny da S. Maciel; Pablyana L. R. Cunha; Regina Célia M. de Paula; Judith P. A. Feitosa

How to cite this article

 

The figure represents a sequence of the origin, purification and sulfation of cashew gum. The first panel shows the tree exudation, followed by the purified gum and the sulfation on the C-6 of galactose, the main constituent of cashew gum

https://dx.doi.org/10.1590/S0103-50532011001000017

Published online: August 18, 2011

 

Share PDF   Supplementary Information 

Total access: 2387


J. Braz. Chem. Soc. 2011, 22(10), 1961-1967

Determination of Arsenic Species in P. calomelanos and N. biserrata

Luana B. Melendez; Emmanoel V. Silva-Filho; Norbert Miekeley; Flavia de Almeida Vieira; Silvia M. Sella

How to cite this article

 

The graphical abstract represents a possible arsenic detoxification in plants by phytochelatins that are peptides biosynthesised from glutathione GSH (g-Glu-Cys)n-Gly which are enzimatically sintetized by PC-sinterase

https://dx.doi.org/10.1590/S0103-50532011001000018

Published online: August 18, 2011

 

Share PDF

Total access: 1220


J. Braz. Chem. Soc. 2011, 22(10), 1968-1978

Evaluation of Turbidimetric and Nephelometric Techniques for Analytical Determination of N -Acetylcysteine and Thiamine in Pharmaceutical Formulations Employing a Lab-Made Portable Microcontrolled Turbidimeter and Nephelometer

Vagner B. dos Santos; Thiago B. Guerreiro; Willian T. Suarez; Ronaldo C. Faria; Orlando Fatibello-Filho

How to cite this article

 

Microcontroller employed as a central processing unit (CPU) able to drive and communicate with several devices simultaneously, such as: liquid crystal display, photodiode, light emitting diode, universal serial bus (USB), and personal computer (PC)

https://dx.doi.org/10.1590/S0103-50532011001000019

Published online: August 18, 2011

 

Share PDF   Supplementary Information 

Total access: 2490


J. Braz. Chem. Soc. 2011, 22(10), 1979-1986

Interaction of Allylic Carbocations with Benzene: a Theoretical Model of Carbocationic Intermediates in Terpene Biosynthesis

Fernanda G. Oliveira; Pierre M. Esteves

How to cite this article

 

The interaction between strongly delocalized carbocations and an aromatic ring was investigated as a model study for the reactions involved in terpene biosynthesis

https://dx.doi.org/10.1590/S0103-50532011001000020

Published online: August 23, 2011

 

Share PDF   Supplementary Information 

Total access: 2408


J. Braz. Chem. Soc. 2011, 22(10), 1987-1992

Determination of Iron and Aluminum Based on the Catalytic Effect on the Reaction of Xylene Cyanol FF with Hydrogen Peroxide and Potassium Periodate

Longfei Cai; Chunxiu Xu

How to cite this article

 

This figure shows that Fe and Al have significant catalytic effects on the reaction of xylene cyanol FF with hydrogen peroxide and potassium periodate simultaneously present, whereas both Fe and Al have no catalytic effects on oxidation reaction of xylene cyanol FF in the presence of either hydrogen peroxide or potassium periodate

https://dx.doi.org/10.1590/S0103-50532011001000021

Published online: August 23, 2011

 

Share PDF

Total access: 1169


J. Braz. Chem. Soc. 2011, 22(10), 1993-1998

Thermal Effect on the Microwave Assisted Biodiesel Synthesis Catalyzed by Lipases

Ingrid C. R. Costa; Selma G. F. Leite; Ivana C. R. Leal; Leandro S. M. Miranda; Rodrigo O. M. A. de Souza

How to cite this article

 

A comparative study between microwave irradiation and conventional heating protocol was performed on the esterification reaction of oleic acid catalyzed by lipases and the results revealed no difference on the reaction time or yield

https://dx.doi.org/10.1590/S0103-50532011001000022

Published online: August 30, 2011

 

Share PDF

Total access: 1269


Short Reports J. Braz. Chem. Soc. 2011, 22(10), 1999-2004

Molecular Aspects of the Reactivation Process of Acetylcholinesterase Inhibited by Cyclosarin

Karina S. Matos; Daiana T. Mancini; Elaine F. F. da Cunha; Kamil Kuča; Tanos C. C. França; Teodorico C. Ramalho

How to cite this article

 

H bonds formed between the best conformation of the oxime K005 and the residues of the active site of Mus musculus acetylcholinesterase (MmAChE)

https://dx.doi.org/10.1590/S0103-50532011001000023

Published online: July 19, 2011

 

Share PDF

Total access: 1241


J. Braz. Chem. Soc. 2011, 22(10), 2005-2012

Development and Validation of a Simple and Rapid Capillary Zone Electrophoresis Method for Determination of NNRTI Nevirapine in Pharmaceutical Formulations

Luiz A. Zanolli Filho; Cristiane R. Galdez; Claudinei A. Silva; Marina F. M. Tavares; Diana M. Costa; María S. Aurora-Prado

How to cite this article

 

A simple and fast capillary zone electrophoresis method for determination of nevirapine in drug products was developed and validated. Nevirapine was separated in less than 2.0 min

https://dx.doi.org/10.1590/S0103-50532011001000024

Published online: August 2, 2011

 

Share PDF

Total access: 1174


J. Braz. Chem. Soc. 2011, 22(10), 2013-2017

Low Temperature Synthesis of CdSiO3 Nanostructures

Leonardo P. Santana; Erick S. de Almeida; Jones L. Soares; Flavio M. Vichi

How to cite this article

 

CdSiO3 can be prepared at 580 °C from cadmium chloride and two different Si-containing precursors: mesostructured silica and sodium silicate. This results in strikingly different morphologies: sodium silicate yields needle-shaped nanostructures, whereas mesostructured silica leads to coralloid-shaped structures

https://dx.doi.org/10.1590/S0103-50532011001000025

Published online: August 9, 2011

 

Share PDF   Supplementary Information 

Total access: 2437


J. Braz. Chem. Soc. 2011, 22(10), 2018-2021

A Novel Method for Extraction of Oils from Oleaginous Seeds

Abdelouaheb Djilani; Amadou Dicko

How to cite this article

 

The figure shows the use of solvent-free conditions in the extraction of oil from oleaginous seeds. The use of surfactant allows extracting oil from seeds with good yields. The obtained oil has the same properties of oil obtained by classical method. A positive economic and environmental impact of the proposed method is shown

https://dx.doi.org/10.1590/S0103-50532011001000026

Published online: August 9, 2011

 

Share PDF

Total access: 1201

Online version ISSN 1678-4790 Printed version ISSN 0103-5053
Journal of the Brazilian Chemical Society
JBCS Editorial and Publishing Office
University of Campinas - UNICAMP
13083-970 Campinas-SP, Brazil

Free access

GN1