JBCS

12:55, Sat Nov 29

Open Access/APCs

First slide
Second slide
Third slide
Third slide
Fifth slide
Sixth slide

vol. 23, No. 1, 2012, p. 1-189

 

New year, new challenges!

A survey of JBCS statistics for las year shows that most of our progress indicators remained stable: the number of submitted manuscript (774), the number of published papers (300), the percentage of submissions coming from foreign authors (60% of the total) - even though the number of published papers followed an opposite tendency (70% from Brazilian authors) - and citation indexes such as the ISI impact factor (above 1.3), among others. The time between submission and online publication, onde the other hand ...

(Read more at Editorial)



Editorial J. Braz. Chem. Soc. 2012, 23(1), 1-4

New year, new challenges!

Jaísa Fernandes Soares; Watson Loh

How to cite this article

 

https://dx.doi.org/10.1590/S0103-50532012000100001

Total access: 1913


Communication J. Braz. Chem. Soc. 2012, 23(1), 5-10

Asymmetric Organocatalytic Synthesis of β-Hydroxyynones with a Quaternary Carbon Center under Aqueous Conditions

Guowei Kang; Jun Jiang; Hongxin Liu; Huayue Wu

How to cite this article

 

The chiral thiourea catalyzed direct aldol reaction of unmodified methyl ynones under aqueous conditions is described. This procedure afforded β-hydroxyynones bearing a quaternary carbon center with moderate to good yields and enantioselectivities

https://dx.doi.org/10.1590/S0103-50532012000100002

Published online: November 17, 2011

 

Share PDF   Supplementary Information 

Total access: 2610


J. Braz. Chem. Soc. 2012, 23(1), 11-13

A Polyether Glycol Derived from Cashew Nutshell as a Kinetic Inhibitor for Methane Hydrate Formation

Jorge Cesar Ferreira; Adriana Teixeira; Pierre M. Esteves

How to cite this article

 

A polyether glycol obtained from cardanol presented significant ability to the inhibition of methane hydrate

https://dx.doi.org/10.1590/S0103-50532012000100003

Published online: November 29, 2011

 

Share PDF   Supplementary Information 

Total access: 2381


Review J. Braz. Chem. Soc. 2012, 23(1), 14-24

Biomedical Applications of Nanobiosensors: the State-of-the-Art

Mahendra Rai; Aniket Gade; Swapnil Gaikwad; Priscyla D. Marcato; Nelson Durán

How to cite this article

 

Optical nanobiosensors with nanometric-sized dimensions opened new researches for intra-cellular monitoring leading to develop sensitive robust and reproducible nanobiosensors. The sensors are equipped with immobilized bio-receptor probes, e.g. antibodies, enzyme substrate etc and these probes will revolutionize the future of disease diagnosis

https://dx.doi.org/10.1590/S0103-50532012000100004

Published online: October 18, 2011

 

Share PDF

Total access: 1363


Articles J. Braz. Chem. Soc. 2012, 23(1), 25-31

Synthesis, Characterization and Photophysical Properties of ESIPT Reactive Triazine Derivatives

Marcelo D. Kuplich; Fábio S. Grasel; Leandra F. Campo; Fabiano S. Rodembusch; Valter Stefani

How to cite this article

 

We present four reactive ESIPT fluorescent 1,3,5-triazine derivatives from nucleophilic aromatic substitution of cyanuric chloride. The dyes are fluorescent by an intramolecular proton transfer mechanism in the blue-orange region with a large Stokes shift. The incorporation of the dyes into cellulose fibers could be done successfully

https://dx.doi.org/10.1590/S0103-50532012000100005

Published online: October 11, 2011

 

Share PDF   Supplementary Information 

Total access: 2553


J. Braz. Chem. Soc. 2012, 23(1), 32-38

Pt L2,3 - Edge X-ray Absorption Spectroscopy Investigation of Zerovalent [Pt(PPh3)22.L)] {L = C2H4, C60 and C2(CN)4} Compounds

Gilson H. M. Dias; Nazareth F. da Fonseca; Marcelo H. Herbst

How to cite this article

 

The dπ-orbital energy of three [Pt(PPh3)22.L)] compounds {L = C2H4, C60 and C2(CN)4}, quantitatively determined by Pt L2,3 X-ray absorption spectroscopy (XAS), follows the order [Pt(PPh3)2((η2.C2H4)] < [Pt(PPh3)2((η2.C60)]) < [Pt(PPh3)2{(η2.C2(CN)4}], in line with the π-acidity of the olefin ligands

https://dx.doi.org/10.1590/S0103-50532012000100006

Published online: October 13, 2011

 

Share PDF

Total access: 1303


J. Braz. Chem. Soc. 2012, 23(1), 39-45

Tributyltin in Crustacean Tissues: Analytical Performance and Validation of Method

Joyce Cristale; Dayana M. dos Santos; Bruno S. Sant'Anna; Daniela C. Sandron; Sara Cardoso; Alexander Turra; Mary Rosa R. de Marchi

How to cite this article

 

Gas chromatography with pulsed flame photometric detector (GCPFPD) has proved to be an advantageous technique for tributyltin (TBT) quantification in crustacean tissues when performed after extraction with an apolar solvent (toluene) followed by Grignard derivatization

https://dx.doi.org/10.1590/S0103-50532012000100007

Published online: October 13, 2011

 

Share PDF

Total access: 1243


J. Braz. Chem. Soc. 2012, 23(1), 46-56

Layered Metal Laurates as Active Catalysts in the Methyl/Ethyl Esterification Reactions of Lauric Acid

Fábio da Silva Lisboa; José Eduardo F. da Costa Gardolinski; Claudiney S. Cordeiro; Fernando Wypych

How to cite this article

 

The work describes the catalytic activity of layered laurates in the methyl (ethyl) esterification reactions of lauric acid, for which conversions between 75 and 90% were observed. The catalysts were reused in three consecutive reaction cycles and some of them preserved the structure and retained the catalytic activity close to those observed in the first cycle

https://dx.doi.org/10.1590/S0103-50532012000100008

Published online: October 18, 2011

 

Share PDF   Supplementary Information 

Total access: 2965


J. Braz. Chem. Soc. 2012, 23(1), 57-64

Evaluation of Solid-Phase Microextraction using a Polythiophene Film and Liquid Chromatography with Spectrophotometric Detection for the Determination of Antidepressants in Plasma Samples

Juciene A. Caris; Andréa R. Chaves; Maria Eugênia C. Queiroz

How to cite this article

 

Polythiophene films were electropolymerized on the surface of metal (stainless steel) wires for the development of solid-phase microextraction (SPME). These polymeric films were evaluated as SPME phases for the liquid chromatography (LC) analysis of antidepressants in plasma samples for toxicological analysis purpose

https://dx.doi.org/10.1590/S0103-50532012000100009

Published online: October 18, 2011

 

Share PDF

Total access: 1716


J. Braz. Chem. Soc. 2012, 23(1), 65-71

Electrospray Ionization Tandem Mass Spectrometry of the Two Main Antimalarial Drugs: Artemether and Lumefantrine

Vanessa G. dos Santos; Ricardo J. Alves; Marcos N. Eberlin; Gerson A. Pianetti; Isabela C. César

How to cite this article

 

ESI(+)-MS/MS spectra of protonated lumefantrine (m/z 528), showing rich dissociation chemistry. Water loss is the most favored initial dissociation forming the major fragment ion of m/z 510. This elimination is likely favored due to the formation of a highly stable, fully delocalized, resonance stabilized benzyl-like cation, which may rearranges to a tropylium-like ion

https://dx.doi.org/10.1590/S0103-50532012000100010

Published online: October 18, 2011

 

Share PDF   Supplementary Information 

Total access: 2459


J. Braz. Chem. Soc. 2012, 23(1), 72-77

Migration of Phthalate-based Plasticizers from PVC and non-PVC Containers and Medical Devices

Marlei Veiga; Denise Bohrer; Paulo C. Nascimento; Adrian G. Ramirez; Leandro M. Carvalho; Regina Binotto

How to cite this article

 

Migration of phthalate-based plasticizers from hemodialyzers

https://dx.doi.org/10.1590/S0103-50532012000100011

Published online: October 18, 2011

 

Share PDF

Total access: 1346


J. Braz. Chem. Soc. 2012, 23(1), 78-84

In Situ Solvent Formation Microextraction based on Ionic Liquids and 1-(2-Hydroxynaphtalene-1-yl)ethane Oxime for Determination of Zinc

Mehdi Hosseini; Nasser Dalali; Saeid Mohammad Nejad; Rostam Jamali

How to cite this article

 

Schematic diagram for preconcentration and determination of zinc by in situ solvent formation microextraction based on use of ionic liquid (IL)) as an extractant solvent, sodium hexafluoro-phosphate (NaPF6) as an ion-pairing agent, 1-(2-hydroxynaphtalene-1-yl) ethane oxime as complexing agent and detection by flame atomic absorption spectrometry

https://dx.doi.org/10.1590/S0103-50532012000100012

Published online: October 18, 2011

 

Share PDF

Total access: 1265


J. Braz. Chem. Soc. 2012, 23(1), 85-95

Advanced QSAR Studies on PPARδ Ligands Related to Metabolic Diseases

Vinícius G. Maltarollo; Danielle C. Silva; Káthia M. Honório

How to cite this article

 

Docking, HQSAR, CoMFA and ESP maps for the most potent compound of the series

https://dx.doi.org/10.1590/S0103-50532012000100013

Published online: October 20, 2011

 

Share PDF   Supplementary Information 

Total access: 2551


J. Braz. Chem. Soc. 2012, 23(1), 96-102

HPLC Determination of Histamine, Tyramine and Amino Acids in Shrimp By-Products

Carolina Bueno-Solano; Jaime López-Cervantes; Dalia I. Sánchez-Machado; Olga N. Campas-Baypoli

How to cite this article

 

In seafood products is possible the conversion of free amino acid to biogenic amines by microbial decarboxylation, therefore, the proposed HPLC method here may be useful for evaluation of the sanitary quality of various shrimp by-products

https://dx.doi.org/10.1590/S0103-50532012000100014

Published online: October 25, 2011

 

Share PDF

Total access: 1244


J. Braz. Chem. Soc. 2012, 23(1), 103-109

Simultaneous Extraction and Detection of Ochratoxin A and Citrinin in Rice

Helen C. S. Hackbart; Luciana Prietto; Ednei G. Primel; Jaqueline Garda-Buffo; Eliana Badiale-Furlong

How to cite this article

 

This study compared four extraction procedures for the simultaneous determination of mycotoxins ochratoxin A and citrinin in samples of rice

https://dx.doi.org/10.1590/S0103-50532012000100015

Published online: October 25, 2011

 

Share PDF

Total access: 1324


J. Braz. Chem. Soc. 2012, 23(1), 110-119

Direct Electrochemical Analysis of Dexamethasone Endocrine Disruptor in Raw Natural Waters

Thiago M. B. F. Oliveira; Francisco W. P. Ribeiro; Jefferson M. do Nascimento; Janete E. S. Soares; Valder N. Freire; Helena Becker; Pedro de Lima-Neto; Adriana N. Correia

How to cite this article

 

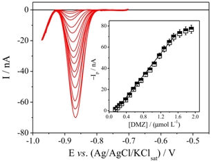
Square-wave voltammograms and the corresponding analytical curve for various concentrations of DMZ in raw natural waters on the HMDE under optimum conditions

https://dx.doi.org/10.1590/S0103-50532012000100016

Published online: October 25, 2011

 

Share PDF

Total access: 1261


J. Braz. Chem. Soc. 2012, 23(1), 120-123

Morphology, Microstructure and Electrocatalytic Properties of Activated Copper Surfaces

Juan C. M. Gamboa; Denise F. S. Petri; Tânia M. Benedetti; Vinicius R. Gonçales; Mauro Bertotti

How to cite this article

 

The electrochemical reduction of nitrate and nitrite is facilitated at copper cathodes after activation of the surface in acidic medium. To understand in more details the morphologic change of the surface during the activation process and its correlation with electrochemical properties, images of the copper surface were obtained by scanning electron microscopy (SEM) and atomic force microscopy (AFM)

https://dx.doi.org/10.1590/S0103-50532012000100017

Published online: October 27, 2011

 

Share PDF

Total access: 1190


J. Braz. Chem. Soc. 2012, 23(1), 124-131

Total Synthesis and Allelopathic Activity of Cytosporones A-C

Charles E. M. Zamberlam; Alisson Meza; Carla Braga Leite; Maria Rita Marques; Dênis P. de Lima; Adilson Beatriz

How to cite this article

 

The preparation of cytosporones A-C from the same starting material through a short synthetic route, with good yields, is reported. All compounds were tested for allelopathic activity on lettuce seeds. Cytosporone A and its methylated precursor showed remarkable allelopathic activity, inhibiting seed germination and seedling growth

https://dx.doi.org/10.1590/S0103-50532012000100018

Published online: November 1, 2011

 

Share PDF   Supplementary Information 

Total access: 2654


J. Braz. Chem. Soc. 2012, 23(1), 132-141

Determination of Polychlorinated Biphenyls in Seawater using Headspace Solid- Phase Microextraction Coupled with Gas Chromatography-Mass Spectrometry with the Aid of Experimental Design

Xingliang Song; Jinhua Li; Lingxin Chen; Zongwei Cai; Chunyang Liao; Hailong Peng; Hua Xiong

How to cite this article

 

Polychlorinated biphenyls were highly sensitively determined in seawater containing large amounts of humic substances by combining KMnO4 treatment and headspace solid-phase microextraction coupled with gas chromatography-mass spectrometry with the aid of experimental design

https://dx.doi.org/10.1590/S0103-50532012000100019

Published online: November 3, 2011

 

Share PDF

Total access: 1242


J. Braz. Chem. Soc. 2012, 23(1), 142-147

A Method for Determination of Ammonia in Air using Oxalic Acid-Impregnated Cellulose Filters and Fluorimetric Detection

Erika P. Felix; Arnaldo A. Cardoso

How to cite this article

 

An easy method of application was developed for the determination of ammonia in ambient air. The samples are collected using cellulose filters impregnated with oxalic acid, followed of fluorimetric detection. The method is reliable for measuring low concentrations of ammonia and where there are rapid fluctuations in their concentrations

https://dx.doi.org/10.1590/S0103-50532012000100020

Published online: November 3, 2011

 

Share PDF

Total access: 1187


J. Braz. Chem. Soc. 2012, 23(1), 148-155

Ultra-Performance Liquid Chromatographic Method for Measurement of Voriconazole in Human Plasma and Oral Fluid

Paula Boeira; Marina V. Antunes; Huander F. Andreolla; Alessandro C. Pasqualotto; Rafael Linden

How to cite this article

 

A new and extensively validated ultra-performance liquid chromatographic method for voriconazole measurement in plasma and oral fluid is presented. Run time was 4 min, with mobile phase comsuption of 2.2 mL per analysis. Panel A shows a chromatogram of a plasma sample and panel B shows the chromatogram of an oral fluid sample, both from the same patient

https://dx.doi.org/10.1590/S0103-50532012000100021

Published online: November 8, 2011

 

Share PDF

Total access: 1169


J. Braz. Chem. Soc. 2012, 23(1), 156-162

Cooking Effects on Iron and Proteins Content of Beans (Phaseolus Vulgaris L.) by GF AAS and MALDI-TOF MS

Juliana Naozuka; Pedro V. Oliveira

How to cite this article

 

The domestic cooking effect of beans in the Fe, proteins and organic compounds distribution was evaluated by GF AAS, Bradford method and MALDI-TOF MS

https://dx.doi.org/10.1590/S0103-50532012000100022

Published online: November 8, 2011

 

Share PDF

Total access: 1182


J. Braz. Chem. Soc. 2012, 23(1), 163-170

Molecular Docking and Molecular Dynamic Studies of Semi-Synthetic Piperidine Alkaloids as Acetylcholinesterase Inhibitors

Amanda Danuello; Nelilma C. Romeiro; Guilherme M. Giesel; Marcos Pivatto; Claudio Viegas Jr.; Hugo Verli; Eliezer J. Barreiro; Carlos A. M. Fraga; Newton G. Castro; Vanderlan S. Bolzani

How to cite this article

 

Molecular modeling studies were carried out aiming to elucidate the molecular basis of the differential acetylcholinesterase inhibition profiles of the semi-synthetic derivatives (-)-3-O-acetyl-cassine hydrochloride (9) and (-)-3-O-acetyl-spectaline hydrochloride (10)

https://dx.doi.org/10.1590/S0103-50532012000100023

Published online: December 1, 2011

 

Share PDF   Supplementary Information 

Total access: 2363


Short Reports J. Braz. Chem. Soc. 2012, 23(1), 171-179

Metal Chloride Hydrates as Lewis Acid Catalysts in Multicomponent Synthesis of 2,4,5-Triarylimidazoles or 2,4,5-Triaryloxazoles

Marcelo V. Marques; Marcelo M. Ruthner; Luiz A. M. Fontoura; Dennis Russowsky

How to cite this article

 

A series of metal halide hydrates was proved to be efficient Lewis acid catalysts promoting the multicomponent Radziszewski reaction for the triarylimidazole synthesis in alcoholic media. In absence of aldehyde, triaryloxazoles were obtained in good yields

https://dx.doi.org/10.1590/S0103-50532012000100024

Published online: October 11, 2011

 

Share PDF   Supplementary Information 

Total access: 25130


J. Braz. Chem. Soc. 2012, 23(1), 180-185

Effects of the Essential Oil from Fruits of Schinus terebinthifolius Raddi (Anacardiaceae) on Reproductive Functions in Male Rats

Cristiano R. G. Affonso; Rozeverter M. Fernandes; Jamylla M. G. de Oliveira; Maria do Carmo de Carvalho e Martins; Sidney G. de Lima; Gustavo R. de Sousa Júnior; Maria Zenaide de Lima C. Moreno Fernandes; Surama F. Zanini

How to cite this article

 

Essential oils extracted from fruits of Schinus terebinthifolius Raddi were analyzed by GC and GC-MS, and evaluated for their reproductive toxicity on male rats. The results showed there are no toxic effects on male reproduction after treatment with essential oil at the tested doses

https://dx.doi.org/10.1590/S0103-50532012000100025

Published online: November 1, 2011

 

Share PDF

Total access: 1253


J. Braz. Chem. Soc. 2012, 23(1), 186-189

Biomimetic Hydrogen Generation Catalyzed by Triironnonacarbonyl Disulfide Cluster

Charles A. Mebi; Kyra E. Brigance; Robert B. Bowman

How to cite this article

 

Fe3S2(CO)9 catalyzes the electrochemical reduction of acetic acid to produce H2; it mimics the [Fe-Fe] hydrogenase enzyme

https://dx.doi.org/10.1590/S0103-50532012000100026

Published online: November 8, 2011

 

Share PDF

Total access: 1191

Online version ISSN 1678-4790 Printed version ISSN 0103-5053
Journal of the Brazilian Chemical Society
JBCS Editorial and Publishing Office
University of Campinas - UNICAMP
13083-970 Campinas-SP, Brazil

Free access

GN1