JBCS

13:24, Sat Nov 29

Open Access/APCs

First slide
Second slide
Third slide
Third slide
Fifth slide
Sixth slide

vol. 23, No. 4, 2012, p. 581-791

 

2011: Before and Afterwards

During the first months of the current administration of the Brazilian Chemical Society (BSC), a strategic planning was developed, involving the Board of Directors and the Advisory Board. The Society's mission, vision, principles, external environment (opportunities and threats), internal environment (strong and weak points were all raised and discussed.

(Read more at Editorial)


Cover Article
J. Braz. Chem. Soc. 2012, 23(4), 770-781

Selective and Efficient Mitochondria Staining with Designed 2,1,3-Benzothiadiazole Derivatives as Live Cell Fluorescence Imaging Probes

Brenno A. D. Neto; José R. Corrêa; Pedro H. P. R. Carvalho; Diego C. B. D. Santos; Bruna C. Guido; Claudia C. Gatto; Heibbe C. B. de Oliveira; Maíra Fasciotti; Marcos N. Eberlin; Eufrânio N. da Silva Jr.

How to cite this article

A novel fluorescent and selective probe was synthesized and used to follow a cellular process (cell division) in human breast cancer cells (MCF-7) in which the mitochondrial behavior and its distribution could be observed. Details are discussed in the Article Selective and Efficient Mitochondrial Staining with Designed 2,1,3-Benzothiadiazole Derivatives as Live Cell Fluorescence Imaging Probes by Neto et al. on page 770.

https://dx.doi.org/10.1590/S0103-50532012000400024

Published online: April  3, 2012
Share PDF

Total access: 2794


Editorial J. Braz. Chem. Soc. 2012, 23(4), 581-584

2011: Before and Afterwards

César Zucco

How to cite this article

 

https://dx.doi.org/10.1590/S0103-50532012000400001

Total access: 2036


Articles J. Braz. Chem. Soc. 2012, 23(4), 585-592

Use of Lipase Immobilized on Celluse Support for Cleaning Aged Oil Layers

A. M. Girelli; L. Salvagni; A. M. Tarola

How to cite this article

 

Scheme of Candida rugosa lipase immobilization on cellulose supports, like make-up remover pads, using sodium periodate as activating agent. The biocatalyst was used for the removal of the stratified aged linseed oil from canvas surfaces

https://dx.doi.org/10.1590/S0103-50532012000400002

Published online: February 2, 2012

 

Share PDF

Total access: 1406


J. Braz. Chem. Soc. 2012, 23(4), 593-601

Electrocatalytic Oxidation of Dopamine, Ascorbic Acid and Uric Acid at Poly-2,6-Diaminopyridine on the Surface of Carbon Nanotubes/GC Electrodes

Mohammad Ali Kamyabi; Mohammad Ali Shafiee

How to cite this article

 

Poly(2,6-diaminopyridine) on the surface of carbon nanotubes/GC electrode shows excellent electrocatalytic activity towards the oxidation of ascorbic acid, dopamine and uric acid. The graphical abstract shows the cyclic voltammograms of 2,6-DAP electro-polymerization over the range of -0.3 to 1.2 V at 50 mV s-1 for 20 cycles

https://dx.doi.org/10.1590/S0103-50532012000400003

Published online: February 2, 2012

 

Share PDF   Supplementary Information 

Total access: 2611


J. Braz. Chem. Soc. 2012, 23(4), 602-609

Determination of Biphenyl and Biphenyl Oxide in Aqueous Samples by Headspace Single Drop Microextraction Coupled to Gas Chromatography

Maryam Sarkhosh; Ali Mehdinia; Ali Jabbari; Yadollah Yamini

How to cite this article

 

A headspace single drop microextraction (HS-SDME) coupled to gas chromatography flame ionization detection (GC-FLD) method was used for the determination of biphenyl and biphenyl oxide

https://dx.doi.org/10.1590/S0103-50532012000400004

Published online: February 2, 2012

 

Share PDF

Total access: 1321


J. Braz. Chem. Soc. 2012, 23(4), 610-617

Characterization of Pyroligneous Acid used in Agriculture by Gas Chromatography-Mass Spectrometry

João Batista G. Souza; Nilva Ré-Poppi; Jorge Luiz Raposo Jr.

How to cite this article

 

It is reported the study of a liquid sample from the pyrolysis of wood. The analysis was performed by gas chromatographs with flame ionization detector (GC-FID) and mass spectroscopy (GC-MS). The chromatographic profile corresponds to a sample of a commercial fertilizer. Syringol, 1,2,3-trimethoxybenzene, metoxy-2-4-methylphenol and o-guaiacol were the most abundant substances in the product

https://dx.doi.org/10.1590/S0103-50532012000400005

Published online: February 7, 2012

 

Share PDF

Total access: 1639


J. Braz. Chem. Soc. 2012, 23(4), 618-627

Antioxidant Activity and Phenolic Composition of Brazilian Honeys and their Extracts

Regina L. P. Lianda; Luiza D'Oliveira Sant'Ana; Aurea Echevarria; Rosane N. Castro

How to cite this article

 

Evaluation of the polyphenolic content and antioxidant activity of orange and multifloral honey extracts was carried out by different assays. Orange honey extracts showed higher antioxidant activities and phenolic contents than multifloral honey extracts

https://dx.doi.org/10.1590/S0103-50532012000400006

Published online: February 7, 2012

 

Share PDF

Total access: 1935


J. Braz. Chem. Soc. 2012, 23(4), 628-638

Trace Metals in the Urban Aerosols of Rio de Janeiro City

Josiane Loyola; Graciela Arbilla; Simone L. Quiterio; Viviane Escaleira; Alan S. Minho

How to cite this article

 

Principal component analysis was completed to examine the metal concentrations in total suspended particle (TSP) and PM10 and PM2.5 particulate matter samples, which were collected at an urban location that was strongly influenced by vehicular traffic. Our results reflect the various sources contributing to the composition of particulate matter

https://dx.doi.org/10.1590/S0103-50532012000400007

Published online: February 7, 2012

 

Share PDF   Supplementary Information 

Total access: 2868


J. Braz. Chem. Soc. 2012, 23(4), 639-647

Asphalt Binders Modified by SBS and SBS/Nanoclays: Effect on Rheological Properties

Thaís F. Pamplona; Bruno de C. Amoni; Ana Ellen V. de Alencar; Ana Paula D. Lima; Nágila M. P. S. Ricardo; Jorge B. Soares; Sandra de A. Soares

How to cite this article

 

The complex modulus (G*) as a function of frequency for SBS (styrene-butadiene-styrene) modified binder (MB) and SBS/organoclays MB (as intercalated nanocomposite) showed higher values of G* when compared to the pure binder at higher temperature-low frequency. Consequently, MBs seems to be more resistant to rutting or permanent deformation

https://dx.doi.org/10.1590/S0103-50532012000400008

Published online: February 9, 2012

 

Share PDF

Total access: 1523


J. Braz. Chem. Soc. 2012, 23(4), 648-655

Ab Initio, DFT and Semi-Empirical Studies on Interactions of Phosphoryl Carbonyl, Imino and Thiocarbonyl Ligands with the Li+ Cation: Affinity and Associated Parameters

Leonardo M. da Costa; Lílian W. C. Paes; José Walkimar de M. Carneiro

How to cite this article

 

The electrostatic component of the Li+-L interaction (L = phosphoryl, carbonyl, imino or thiocarbonyl ligand) determines the intensity of the metal-ligand interaction enthalpy

https://dx.doi.org/10.1590/S0103-50532012000400009

Published online: February 9, 2012

 

Share PDF   Supplementary Information 

Total access: 2438


J. Braz. Chem. Soc. 2012, 23(4), 656-660

Bioactive Phenylpropanoids from Daphne feddei

Yanling Lu; Xuesen Li; Huaixue Mu; Haitao Huang; Gan-Peng Li; Qiufen Hu

How to cite this article

 

Three new phenylpropanoids, feddeiketones A-C, were isolated from the leaves and stems of Daphne feddei, and have modest cytotoxic and anti-HIV-1 activities

https://dx.doi.org/10.1590/S0103-50532012000400010

Published online: February 16, 2012

 

Share PDF   Supplementary Information 

Total access: 2374


J. Braz. Chem. Soc. 2012, 23(4), 661-669

Matrix Effect in Pesticide Analysis by Ultra Fast Liquid Chromatography Coupled to Mass Spectrometry

Diego A. Ahumada; Adriana M. Zamudio; Julio C. España

How to cite this article

 

The matrix effect in residue analyses is one of the main problems at the time of the identification and quantification because it affects by far the reproducibility and accuracy of the method. This paper describes the influence of different matrices, clean-up sorbents, extraction solvents and the analyte/matrix ratio on the ionization process at UFLC-MS

https://dx.doi.org/10.1590/S0103-50532012000400011

Published online: February 16, 2012

 

Share PDF

Total access: 1188


J. Braz. Chem. Soc. 2012, 23(4), 670-677

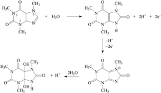
Caffeine Determination at a Carbon Fiber Ultramicroelectrodes by Fast-Scan Cyclic Voltammetry

Ronaldo S. Nunes; Éder T. G. Cavalheiro

How to cite this article

 

Caffeine presents a single oxidation peak at approximately +1.5 V (vs. SCE), due to an oxidation mechanism similar to xanthine, however without formation of uric acid since the nitrogen atoms at positions 3 and 7 are substituted. The oxidation occurs via a 4 electrons process resulting in a substituted uric acid (IV) that is electro-inactive

https://dx.doi.org/10.1590/S0103-50532012000400012

Published online: February 23, 2012

 

Share PDF

Total access: 1320


J. Braz. Chem. Soc. 2012, 23(4), 678-687

Volatile Characterization by Multivariate Optimization of Headspace-Solid Phase Microextraction and Sensorial Evaluation of Chardonnay Base Wines

Juliane E. Welke; Mauro Zanus; Marcelo Lazzarotto; Karine G. Schmitt; Claudia A. Zini

How to cite this article

 

Esters, as the major and higher impact odor compounds of a typical base wine from Serra Gaúcha in a total ion current chromatogram, obtained through headspace solid phase microextraction and gas chromatography with mass spectrometric detector

https://dx.doi.org/10.1590/S0103-50532012000400013

Published online: February 23, 2012

 

Share PDF

Total access: 1233


J. Braz. Chem. Soc. 2012, 23(4), 688-693

An Efficient Methodology for the Synthesis of 3-Styryl Coumarins

Sérgio M. A. Martins; Paula C. S. Branco; António M. D. R. L. Pereira

How to cite this article

 

A particularly useful and concise synthesis of 3-styryl coumarins in good to high yields using Heck coupling reactions between 3-vinyl-6,7-dimethoxycoumarin and aryl halides

https://dx.doi.org/10.1590/S0103-50532012000400014

Published online: February 23, 2012

 

Share PDF   Supplementary Information 

Total access: 2679


J. Braz. Chem. Soc. 2012, 23(4), 694-701

Ultrasound-Assisted Surfactant-Enhanced Emulsification Microextraction Combined with HPLC for the Determination of Estrogens in Water

Yan Zou; Yanhua Li; Hua Jin; Deqing Zou; Mousheng Liu; Yaling Yang

How to cite this article

 

A method based on ultrasound-assisted surfactant-enhanced emulsification microextraction (UASEME) was proposed to determine estrogens in water. Significant enrichment factors were found, 85.29 for 17ß-estradiol (ßE2), 173.45 for estrone (E1) and 97.05 for diethylstilbestrol (DES)

https://dx.doi.org/10.1590/S0103-50532012000400015

Published online: February 28, 2012

 

Share PDF

Total access: 1401


J. Braz. Chem. Soc. 2012, 23(4), 702-709

Effect of Tungsten Doping on Catalytic Properties of Niobium Oxide

Franciane P. Cardoso; Andre E. Nogueira; Patrícia S. O. Patrício; Luiz C. A. Oliveira

How to cite this article

 

The treatment of Nb5+ soluble salts with H2O2 makes the solution yellowish due to the formation of peroxo-niobium groups. The color change was also observed with solid material

https://dx.doi.org/10.1590/S0103-50532012000400016

Published online: March 1, 2012

 

Share PDF

Total access: 1353


J. Braz. Chem. Soc. 2012, 23(4), 710-717

Fast and Interference Free Determination of Calcium and Magnesium in Honeys by Solid Phase Extraction Followed by Flame Atomic Absorption Spectrometry

Pawel Pohl; Helena Stecka; Piotr Jamroz

How to cite this article

 

A fast and interference free FAAS method for the determination of Ca and Mg in honeys using the solid phase extraction and the two-step elution was developed. It maintained the precision of 1-5% and the accuracy of 1-3%. The limits of detection of 24 ng g-1 of Ca and 4.4 ng g-1 of Mg were obtained

https://dx.doi.org/10.1590/S0103-50532012000400017

Published online: March 6, 2012

 

Share PDF

Total access: 1300


J. Braz. Chem. Soc. 2012, 23(4), 718-726

Influence of the Rainfall Regime on the Mobility of Zn, Cd, Ni, Cu, Mn and Fe in the Surface Sediments of the Contas River Located in the Brazilian Semi-Arid Region

José S. dos Santos; Marcio J. S. dos Santos; Maria L. P. dos Santos

How to cite this article

 

Zn, Cu, Cd and Ni exhibit higher concentrations in the sediments within the city. The elements Mn and Fe showed higher concentrations in sediments collected outside the urban area and this result may be attributed to contributions from agricultural activities

https://dx.doi.org/10.1590/S0103-50532012000400018

Published online: March 6, 2012

 

Share PDF   Supplementary Information 

Total access: 2337


J. Braz. Chem. Soc. 2012, 23(4), 727-736

A Comprehensive Investigation of the Mineral Composition of Brazilian Bee Pollen: Geographic and Seasonal Variations and Contribution to Human Diet

Marcelo A. Morgano; Márcia C. Teixeira Martins; Luana C. Rabonato; Raquel F. Milani; Katumi Yotsuyanagi; Delia B. Rodriguez-Amaya

How to cite this article

 

Emission spectrometry (ICP OES) was used to determine the mineral composition of bee pollen from different Brazilian regions. Brazilian bee pollen may be considered a rich source of Mn and Se and a source of Cu, P and Zn. The elements Ca, Cu, Fe, K, Mg, Mn, Na, P and Zn were important in explaining the classification of pollen according to their geographical origin. The mineral levels varied widely during the year

https://dx.doi.org/10.1590/S0103-50532012000400019

Published online: March 8, 2012

 

Share PDF

Total access: 1408


J. Braz. Chem. Soc. 2012, 23(4), 737-746

Influence of Spatial, Edaphic and Genetic Factors on Phenols and Essential Oils of Myrciaria cauliflora Fruits

Alessandra R. Duarte; Suzana C. Santos; José C. Seraphin; Pedro H. Ferri

How to cite this article

 

Venn diagrams illustrating the amount of variation in M. cauliflora fruit chemical composition explained by edaphic and spatial predictor variables and joint effects

https://dx.doi.org/10.1590/S0103-50532012000400020

Published online: March 13, 2012

 

Share PDF   Supplementary Information 

Total access: 2448


J. Braz. Chem. Soc. 2012, 23(4), 747-752

Nanostructure of Polystyrene-b-poly(2-Hydroxyethyl Methacrylate) and Derivatives with Phosphonic Diacid Groups

Vanessa Schmidt; Redouane Borsali; Cristiano Giacomelli

How to cite this article

 

Selective interactions between proteins and nanomaterials are of interest for the fabrication of biochips with applications spanning from diagnostics to electronics. This study reports the preparation of block copolymer nanodomains featuring phosphonic diacid groups, which were previously shown to reversibly bind to Annexin-A5 proteins

https://dx.doi.org/10.1590/S0103-50532012000400021

Published online: March 13, 2012

 

Share PDF

Total access: 1217


J. Braz. Chem. Soc. 2012, 23(4), 753-762

Evaluation of Signal-to-Background and Mg II/Mg I Ratios as Response for the Optimization of Rare Earth Elements Determination by Inductively Coupled Plasma Optical Emission Spectrometry

Aline K. Guimarães-Silva; Jorge C. de Lena; Roberta E. S. Froes; Letícia M. Costa; Clésia C. Nascentes

How to cite this article

 

The operating conditions of an inductively coupled plasma optical emission spectrometer were optimized for the determination of REEs using a Doehlert design and the signal-to-background ratio (SBR) of the REEs emission signals and the Mg II/Mg I line intensity ratio were evaluated as response functions

https://dx.doi.org/10.1590/S0103-50532012000400022

Published online: March 15, 2012

 

Share PDF

Total access: 1314


J. Braz. Chem. Soc. 2012, 23(4), 763-769

Chromatographic Analyses of Fatty Acid Methyl Esters by HPLC-UV and GC-FID

Myller S. Carvalho; Márcio A. Mendonça; David M. M. Pinho; Inês S. Resck; Paulo A. Z. Suarez

How to cite this article

 

Two high-performance liquid chromatographic (HPLC) methods with ultraviolet detection are described: one for simultaneous determination of total amounts of triacylglycerides, diacylglycerides, monoacylglycerides and fatty acid methyl esters (FAME) in alcoholysis of different oils, and the other one suitable for determining the fatty acid composition of oils analyzing their methyl ester derivatives

https://dx.doi.org/10.1590/S0103-50532012000400023

Published online: March 20, 2012

 

Share PDF

Total access: 1535


J. Braz. Chem. Soc. 2012, 23(4), 770-781

Selective and Efficient Mitochondria Staining with Designed 2,1,3-Benzothiadiazole Derivatives as Live Cell Fluorescence Imaging Probes

Brenno A. D. Neto; José R. Corrêa; Pedro H. P. R. Carvalho; Diego C. B. D. Santos; Bruna C. Guido; Claudia C. Gatto; Heibbe C. B. de Oliveira; Maíra Fasciotti; Marcos N. Eberlin; Eufrânio N. da Silva Jr.

How to cite this article

 

Novel designed 2,1,3-benzothiadiazole (BTDs) derivatives were synthesized and tested as selective fluorescent cell markers. The first pi-extension was responsible for the cellular selection (mitochondrial selection) while the second pi-extension resulted in a pronounced "light up" effect. The rationally designed derivative (BTDShiny) was tested to monitor a key cellular process (cell division cycle) using MCF-7 cancer cell lines (human mammal cells), thus allowing future studies of cancer cell death and their processes that are highly associated with mitochondrial stability

https://dx.doi.org/10.1590/S0103-50532012000400024

Published online: April 3, 2012

 

Share PDF   Supplementary Information 

Total access: 2794


Short Reports J. Braz. Chem. Soc. 2012, 23(4), 782-785

Meroterpenes from Peperomia oreophila Hensch. and Peperomia arifolia Miq.

Karina J. M. Salazar; João Henrique G. Lago; Elsie F. Guimarães; Massuo J. Kato

How to cite this article

 

The major meroterpenes isolated from Peperomia oreophila Hesch. and Peperomia arifolia Miq. have in common the aromatic moiety derived from orsellinic acid

https://dx.doi.org/10.1590/S0103-50532012000400025

Published online: January 31, 2012

 

Share PDF   Supplementary Information 

Total access: 2533


J. Braz. Chem. Soc. 2012, 23(4), 786-791

Strategies to Improve Accuracy and Sensitivity in Phosphorus Determinations by Inductively Coupled Plasma Quadrupole Mass Spectrometry

George L. Donati; Renata S. Amais; Joaquim A. Nóbrega

How to cite this article

 

The collision/reaction interface (CRI) with He introduced through the skimmer at 100 mL min-1 is employed to improve ICP-QMS accuracy in 31P+ determinations. Cool plasma conditions for the determination of 31P16O+ result in limits of detection 55-fold lower. This strategy is an interesting alternative for high ionization potential elements such as P

https://dx.doi.org/10.1590/S0103-50532012000400026

Published online: February 2, 2012

 

Share PDF

Total access: 1293

Online version ISSN 1678-4790 Printed version ISSN 0103-5053
Journal of the Brazilian Chemical Society
JBCS Editorial and Publishing Office
University of Campinas - UNICAMP
13083-970 Campinas-SP, Brazil

Free access

GN1