JBCS

13:59, Sat Nov 29

Open Access/APCs

First slide
Second slide
Third slide
Third slide
Fifth slide
Sixth slide

vol. 24, No. 3, 2013, p. 363-523

 

A Simple and Fast Procedure for in situ Determination of Water in Ethanol Fuel

A simple procedure was developed for determination of water content in ethanol fuel exploiting the differences in solubility of sodium chloride in aqueous and organic media. Based on the same principle, an inexpensive device was constructed aiming at in-situ detection of unconformities in ethanol fuel. The device can be operated even by non-experts and yields a binary response indicated by colored LEDs.
Details are presented in the Article A Simple and Fast Procedure for in situ Determination of Water in Ethanol Fuel by Mauricio S. Ribeiro, Lúcio Angnes and Fábio R. P. Rocha on page 418.


Cover Article
J. Braz. Chem. Soc. 2013, 24(3), 418-422

A Simple and Fast Procedure for in situ Determination of Water in Ethanol Fuel

Mauricio S. Ribeiro; Lúcio Angnes; Fábio R. P. Rocha

How to cite this article

A simple procedure was developed for determination of water content in ethanol fuel exploiting the differences in solubility of sodium chloride in aqueous and organic media. Based on the same principle, an inexpensive device was constructed aiming at in-situ detection of unconformities in ethanol fuel. The device can be operated even by non-experts and yields a binary response indicated by colored LEDs. Details are presented in the Article A Simple and Fast Procedure for in situ Determination of Water in Ethanol Fuel by Mauricio S. Ribeiro, Lúcio Angnes and Fábio R. P. Rocha on page 418.

https://dx.doi.org/10.5935/0103-5053.20130054

Published online: March  12, 2013
Share PDF

Total access: 3716


Articles J. Braz. Chem. Soc. 2013, 24(3), 363-368

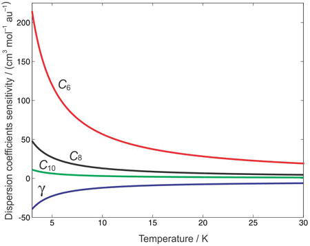
Quantum Second Virial Coefficient Calculation for the 4He Dimer on a Recent Potential

Éderson D'Martin Costa; Nelson H. T. Lemes; Márcio O. Alves; Rita C. O. Sebastião; João P. Braga

How to cite this article

 

Parametric sensitivity analysis as a function of temperature for one parameter in the short-range region of the potential and for three parameters in the long-range regions of the potential.

https://dx.doi.org/10.5935/0103-5053.20130046

Published online: February 21, 2013

 

Share PDF

Total access: 3461


J. Braz. Chem. Soc. 2013, 24(3), 369-374

Photoacoustic Spectroscopy as an Approach to Assess Chemical Modifications in Edible Oils

José Eduardo de Albuquerque; Bruno C. L. Santiago; Júlio César C. Campos; Alexandre M. Reis; Charles L. da Silva; João Paulo Martins; Jane S. R. Coimbra

How to cite this article

 

Experimental setup of the photothermal spectrometer used to follow edible oil degradation by heating process. The physicochemical properties of the studied vegetable oils indicate changes in the concentration of fatty acid and in polar substances after thermal degradation.

https://dx.doi.org/10.5935/0103-5053.20130047

Published online: February 21, 2013

 

Share PDF

Total access: 1873


J. Braz. Chem. Soc. 2013, 24(3), 375-384

Measurements of Emissions from Motorcycles and Modeling Its Impact on Air Quality

Lúcia F. A. Garcia; Sérgio M. Corrêa; Renato Penteado; Luiz Carlos Daemme; Luciana V. Gatti; Debora S. Alvim

How to cite this article

 

High volatile organic compound emissions derived from motorcycles and the increase of the fleet of such vehicles can lead to increased levels of ozone in Brazilian cities.

https://dx.doi.org/10.5935/0103-5053.20130048

Published online: February 26, 2013

 

Share PDF

Total access: 1965


J. Braz. Chem. Soc. 2013, 24(3), 385-391

Hydrogenolysis of 2-Tosyloxy-1,3-propanediol into 1,3-Propanediol over Raney Ni Catalyst

Zhi Zheng; Jianli Wang; Zhen Lu; Min Luo; Miao Zhang; Lixin Xu; Jianbing Ji

How to cite this article

 

In this work, the hydrogenolysis of 2-tosyloxy-1,3-propanediol (TPD) into 1,3-propanediol (1,3-PD) over Raney Ni catalyst at different reaction parameters was discussed to optimize the reaction conditions for selective formation of 1,3-propanediol.

https://dx.doi.org/10.5935/0103-5053.20130049

Published online: February 27, 2013

 

Share PDF   Supplementary Information 

Total access: 3273


J. Braz. Chem. Soc. 2013, 24(3), 392-396

Evaluating Intracellular Redox Status in L02 Cells on Microchip

Chunxiu Xu; Longfei Cai

How to cite this article

 

The labeled cells were hydrodynamically focused by sheath-flow streams and sequentially introduced into the sampling channel under hydrostatic pressure generated by adjusting liquid levels in the reservoirs. Intracellular reducing level in intact living L02 cells was detected by laser induced fluorescence (LIF) without cytolysis.

https://dx.doi.org/10.5935/0103-5053.20130050

Published online: March 1, 2013

 

Share PDF

Total access: 1733


J. Braz. Chem. Soc. 2013, 24(3), 397-405

Influence of Ethanol, Acidity and Chloride Concentration on the Corrosion Resistance of AISI 316L Stainless Steel

Elivelton A. Ferreira; Rodrigo Della Noce; Cecílio S. Fugivara; Assis V. Benedetti

How to cite this article

 

Electrochemical  impedance spectroscopy (EIS) diagrams of AISI 316L stainless steel in aqueous  solution and in a mixture of 35 wt.% water and 65 wt.% ethanol, both containing  1 wt.% H2SO4 plus 0.35 wt.% NaCl, at 25 °C,  evidencing the differences between the ethanolic and aqueous solution  resistances.

https://dx.doi.org/10.5935/0103-5053.20130052

Published online: March 5, 2013

 

Share PDF

Total access: 1916


J. Braz. Chem. Soc. 2013, 24(3), 406-409

Asymmetric Synthesis of Propranolol, Naftopidil and (R)-Monobutyrin using a Glycerol Desymmetrization Strategy

Mahendra N. Lokhande; Manojkumar U. Chopade; Dattatrya N. Bhangare; Milind D. Nikalje

How to cite this article

 

An approach for desymmetrization of glycerol by using readily available camphorsulfonamide to obtain chiral glycerol derivate (enantioselectivity, ee > 95%) is described. The resultant chiral glycerol derivative is used in asymmetric synthesis of β-blockers (S)-propranolol, (S)-naftopidil and (R)-monobutyrin.

https://dx.doi.org/10.5935/0103-5053.20130051

Published online: March 5, 2013

 

Share PDF   Supplementary Information 

Total access: 3717


J. Braz. Chem. Soc. 2013, 24(3), 410-417

Analysis of BTEX in Experimental Columns Containing Neat Gasoline and Gasoline-Ethanol

Irajá N. Filho; Nathália C. Vieceli; Eduardo M. Cardoso; Eduardo R. Lovatel

How to cite this article

 

The volatilization of BTEX in experimental columns with and without ethanol was evaluated. Toluene and ethylbenzene showed the highest volatilizations in the gasoline-ethanol column, probably by attractive intermolecular forces.

https://dx.doi.org/10.5935/0103-5053.20130053

Published online: March 8, 2013

 

Share PDF

Total access: 1821


J. Braz. Chem. Soc. 2013, 24(3), 418-422

A Simple and Fast Procedure for in situ Determination of Water in Ethanol Fuel

Mauricio S. Ribeiro; Lúcio Angnes; Fábio R. P. Rocha

How to cite this article

 

Low cost and portable electronic device proposed for conductivity measurements aiming in situ determination of water content in ethanol. The solubility of sodium chloride and the conductivity is proportional to the water content in ethanol fuel, when excess of the salt is used.

https://dx.doi.org/10.5935/0103-5053.20130054

Published online: March 12, 2013

 

Share PDF   Supplementary Information 

Total access: 3716


J. Braz. Chem. Soc. 2013, 24(3), 423-431

Physical and Electrophoretic Characterization of Octadecyl Methacrylate-Based Monolithic Columns for Use in Capillary Electrochromatography

Valeska S. Aguiar; Carla B. G. Bottoli

How to cite this article

 

This figure shows the operation scheme of the capillary electrochromatography system. The major difference between this one and the conventional capillary electrophoresis system is the use of a capillary column packed with stationary phase. The stationary phase in the zoomed picture is an octadecyl methacrylate-based monolith.

https://dx.doi.org/10.5935/0103-5053.20130055

Published online: March 12, 2013

 

Share PDF

Total access: 1774


J. Braz. Chem. Soc. 2013, 24(3), 432-438

Microwave-Assisted Convenient Syntheses of 2-Indolizine Derivatives from Morita-Baylis-Hillman Adducts: New in silico Potential Ion Channel Modulators

Saraghina M. D. Cunha; Ramon G. de Oliveira; Mário L. A. A. Vasconcellos

How to cite this article

 

Five convenient 2-indolizine derivative syntheses from Morita-Baylis-Hillman adducts are presented. They were realized as potential ion channel blockers based on score results by Molinspiration Cheminformatics program.

https://dx.doi.org/10.5935/0103-5053.20130056

Published online: March 12, 2013

 

Share PDF   Supplementary Information 

Total access: 3276


J. Braz. Chem. Soc. 2013, 24(3), 439-448

Identification of Lipid Components in the Abdominal Muscle of Fall-Caught Crangon crangon from a Coastal Area of the Baltic Sea

Adriana Mika; Edward Skorkowski; Piotr Stepnowski; Marek Gołębiowski

How to cite this article

 

Scheme of the lipid analysis of Crangon crangon abdominal muscle. Triacylglycerols: TAG, polar lipid: PL, free fatty acid: FFA and

https://dx.doi.org/10.5935/0103-5053.20130061

Published online: March 15, 2013

 

Share PDF

Total access: 1837


J. Braz. Chem. Soc. 2013, 24(3), 449-458

Atmospheric Corrosion of Galvanized Steel and Precipitation Runoff from Zinc in a Marine Environment

Rosa Vera; Fabián Guerrero; Diana Delgado; Raquel Araya

How to cite this article

 

This study focuses on the behavior of galvanized steel in a corrosive marine environment and on the rainwater runoff process for the same material in the city of Valparaiso, Chile. After one year, the total Zn loss due to the runoff process is practically negligible compared to the mass loss of the galvanized steel due to atmospheric corrosion.

https://dx.doi.org/10.5935/0103-5053.20130060

Published online: March 15, 2013

 

Share PDF

Total access: 1883


J. Braz. Chem. Soc. 2013, 24(3), 459-472

Photoelectrocatalytic Degradation of Indanthrene Blue Dye using Ti/Ru-Based Electrodes Prepared by a Modified Pechini Method

Marilia M. S. Pupo; Lucas S. da Costa; Aíle C. Figueiredo; Ronaldo S. da Silva; Frederico G. C. Cunha; Katlin I. B. Eguiluz; Giancarlo R. Salazar-Banda

How to cite this article

 

Wastewater contaminated with indanthrene blue dye was treated with a photoelectrocatalytic system. Different Ti/Ru-based electrodes were synthesized, chemically and physically characterized, and used for dye removal.

https://dx.doi.org/10.5935/0103-5053.20130062

Published online: March 15, 2013

 

Share PDF

Total access: 1808


J. Braz. Chem. Soc. 2013, 24(3), 473-482

Applications of Molecular Modeling in the Design of New Insect Repellents Targeting the Odorant Binding Protein of Anopheles gambiae

Raphael da S. Affonso; Ana P. Guimarães; Aline A. Oliveira; Glaucia B. C. Slana; Tanos C. C. França

How to cite this article

 

Superpositions of eugenyl acetate and N,N-diethyl-3-methylbenzamide (DEET) inside the monomers (a) and (b) of Anopheles gambiae odorant binding protein (AgOBP1).

https://dx.doi.org/10.5935/0103-5053.20130059

Published online: March 15, 2013

 

Share PDF   Supplementary Information 

Total access: 3039


J. Braz. Chem. Soc. 2013, 24(3), 483-491

Extraction Method for the Determination of Atrazine, Deethylatrazine, and Deisopropylatrazine in Agricultural Soil Using Factorial Design

Maristela F. Amadori; Gilcélia A. Cordeiro; Caio C. Rebouças; Patricio G. Peralta-Zamora; Marco T. Grassi; Gilberto Abate

How to cite this article

 

This study reports the optimization of the experimental conditions to extract the herbicide atrazine and its main degradation products from an oxisol sample with subsequent quantification by HPLC. The method revealed appropriate recovery values for different soil depths (00-10, 10-30 and 30-50 cm), using a simple and fast extraction method.

https://dx.doi.org/10.5935/0103-5053.20130058

Published online: March 15, 2013

 

Share PDF

Total access: 1930


J. Braz. Chem. Soc. 2013, 24(3), 492-499

Comparison of Extraction Methods for Kahweol and Cafestol Analysis in Roasted Coffee

Rafael C. E. Dias; Adelia F. de Faria; Adriana Z. Mercadante; Neura Bragagnolo; Marta de T. Benassi

How to cite this article

 

In order to analyze diterpenes from roasted coffee by HPLC-DAD-MS/MS, four methods of sample preparation were tested. Direct hot saponification presented the best efficiency. Kahweol, cafestol and dehydro derivatives were identified and quantified.

https://dx.doi.org/10.5935/0103-5053.20130057

Published online: March 15, 2013

 

Share PDF

Total access: 1985


J. Braz. Chem. Soc. 2013, 24(3), 500-506

Palladium-Catalyzed Arylation of Enoates with Iodobenzene: Stereoselective Synthesis of Trisubstituted Olefins

Talita de A. Fernandes; Boniek G. Vaz; Alcides J. M. da Silva; Pierre M. Esteves; Marcos N. Eberlin; Paulo R. R. Costa

How to cite this article

 

Stereospecific palladium-catalyzed arylation of E- and Z-enoates with iodobenzene in acetone using Ag2CO3 as base led to Z- and E-cinnamates, respectively. The reaction course was monitored by electrospray ionization mass spectrometry (ESI-MS).

https://dx.doi.org/10.5935/0103-5053.20130067

Published online: March 19, 2013

 

Share PDF   Supplementary Information 

Total access: 3093


J. Braz. Chem. Soc. 2013, 24(3), 507-517

Analysis of Seized Cocaine Samples by using Chemometric Methods and FTIR Spectroscopy

Nathália V. S. Rodrigues; Eduardo M. Cardoso; Marcus V. O. Andrade; Cláudio L. Donnici; Marcelo M. Sena

How to cite this article

 

A mid-infrared method jointly with an exploratory chemometric model was developed for the analysis of seized cocaine samples and characterization of its adulterants. Two supervised models were established to classify samples according to their content and cocaine form, providing a rapid and non-destructive tool of great utility in criminal investigations.

https://dx.doi.org/10.5935/0103-5053.20130066

Published online: March 19, 2013

 

Share PDF

Total access: 2403


Short Report J. Braz. Chem. Soc. 2013, 24(3), 518-522

Solvent-Dependent Regioselective Oxidation of trans-Chalcones using Aqueous Hydrogen Peroxide

Peng Wang; Jin Cai; Jiabin Yang; Chunlong Sun; Lushen Li; Min Ji

How to cite this article

 

This study reports the regioselective Dakin oxidation of trans-chalcones with hydrogen peroxide in acetonitrile. A variety of cinnamic acids as the main products were obtained.

https://dx.doi.org/10.5935/0103-5053.20130063

Published online: March 15, 2013

 

Share PDF   Supplementary Information 

Total access: 3227


Additions and Corrections J. Braz. Chem. Soc. 2013, 24(3), 523

Coprecipitative Preconcentration of Cr(III), Pb(II), Zn(II), Cd(II) and Mn(II) Ions with Al(III) and Fe(III) Carriers and Chromotrope 2B Reagent and their FAAS Determination in Various Water and Food Samples

Berrak Başbuğ; Şerife Tokalıoğlu

How to cite this article

 

https://dx.doi.org/10.5935/0103-5053.20130124

Share PDF

Total access: 1970

Online version ISSN 1678-4790 Printed version ISSN 0103-5053
Journal of the Brazilian Chemical Society
JBCS Editorial and Publishing Office
University of Campinas - UNICAMP
13083-970 Campinas-SP, Brazil

Free access

GN1