JBCS

13:24, Sat Nov 29

Open Access/APCs

First slide
Second slide
Third slide
Third slide
Fifth slide
Sixth slide

vol. 24, No. 8, 2013, p. 1213-1384

 

Journal Impact Factor: Expectations and Hopes

In the modern digital era, June is a month of anxiety for everybody involved with publishing in sciences. June is the moment for divulgation by the Journal Citation Reports of the new impact mfactors and certainly we want to fly to the blue skies. High expectations and hopes may be a source of motivation, but they may act as a nest for frustration and disillusion.

It is important to have quantitative data in science and frequently Lord Kelvin is quoted by stating that "I often say that when you can measure what you are speaking about, and express it in numbers, you know something about it; but when you cannot express it in numbers, your knowledge is of a meager and unsatisfactory kind; it may be the beginning of knowledge, but you have scarcely, in your thoughts, advanced to the stage of science, whatever the matter may be".



(Read more at Editorial)


Cover Article
J. Braz. Chem. Soc. 2013, 24(8), 1237-1245

Nano-Assembled Supramolecular Films from Chitosan-Stabilized Gold Nanoparticles and Cobalt(II) Phthalocyanine

Anna T. B. Silva; Andreane G. Coelho; Lourdes C. da S. Lopes; Marccus V. A. Martins; Frank N. Crespilho; Arben Merkoçi; Welter C. da Silva

How to cite this article

How do gold nanoparticles can contributes to improve the charge transfer on supramolecular films? This paper shows that the nanoparticles effectively influence the kinetics of charge transfer in cobalt (II) phthalocyanine on a self-assembled surface. Details are presented in the Article Nano-Assembled Supramolecular Films from Chitosan-Stabilized Gold Nanoparticles and Cobalt(II) Phthalocyanine by Anna T. B.Silva, Andreane G. Coelho, Lourdes C. da S. Lopes, Marccus V. A. Martins, Frank N. Crespilho, Arben Merkoçi and Welter C. da Silva on page 1237.

https://dx.doi.org/10.5935/0103-5053.20130157

Published online: June  28, 2013
Share PDF

Total access: 6526


Editorial J. Braz. Chem. Soc. 2013, 24(8), 1213-1216

Journal Impact Factor: Expectations and Hopes

Joaquim A. Nóbrega; Watson Loh

How to cite this article

 

https://dx.doi.org/10.5935/0103-5053.20130175

Total access: 3124


Articles J. Braz. Chem. Soc. 2013, 24(8), 1217-1227

Simultaneous Determination of the Organochlorine and Pyrethroid Pesticides in Drinking Water by Single Drop Microextraction and Gas Chromatography

Elenice A. Carlos; Renata D. Alves; Maria Eliana L. R. de Queiroz; Antônio A. Neves

How to cite this article

 

Single drop microextraction was proposed to determine fourteen pesticides in water samples. The method has demonstrated to be accurate, precise, rapid, simple and to require smaller volumes of organic solvent. The proposed method may be successfully applied for the drinking water monitoring.

https://dx.doi.org/10.5935/0103-5053.20130155

Published online: June 25, 2013

 

Share PDF

Total access: 2084


J. Braz. Chem. Soc. 2013, 24(8), 1228-1236

Tryptophan Determination at Carbon Fiber Ultramicroelectrodes by Fast-Scan Cyclic Voltammetry

Antônio R. Fiorucci; Priscila Cervini; Orlando Fatibello Filho; Éder T. G. Cavalheiro

How to cite this article

 

Electrochemical oxidation of tryptophan at a carbon fiber ultramicroelectrode.

https://dx.doi.org/10.5935/0103-5053.20130156

Published online: June 25, 2013

 

Share PDF

Total access: 1993


J. Braz. Chem. Soc. 2013, 24(8), 1237-1245

Nano-Assembled Supramolecular Films from Chitosan-Stabilized Gold Nanoparticles and Cobalt(II) Phthalocyanine

Anna T. B. Silva; Andreane G. Coelho; Lourdes C. da S. Lopes; Marccus V. A. Martins; Frank N. Crespilho; Arben Merkoçi; Welter C. da Silva

How to cite this article

 

The synthesis and electrochemical properties of gold nanoparticles stabilized with chitosan, as well as their immobilization with cobalt(II) phthalocyanine to form layer-by-layer films, are reported.

https://dx.doi.org/10.5935/0103-5053.20130157

Published online: June 28, 2013

 

Share PDF   Supplementary Information 

Total access: 6526


J. Braz. Chem. Soc. 2013, 24(8), 1246-1258

Oxide Film Growth by CSV on AISI 316L: a Combined Electrochemical and Analytical Characterization

Belén Díaz; Lorena Freire; Maria Fátima Montemor; Xosé Ramón Nóvoa

How to cite this article

 

Oxide films formed in alkaline media on AISI 316L using cyclic sweep voltammetry (CSV) during the faster cycling rate (10 mV s-1). The higher scan rate promoted the formation of thinner films richer in Fe3+ species, mainly hydroxides, and more resistive. Neutral pH promoted a lower magnetite formation and more resistive layers with Mo presence.

https://dx.doi.org/10.5935/0103-5053.20130158

Published online: June 28, 2013

 

Share PDF

Total access: 1909


J. Braz. Chem. Soc. 2013, 24(8), 1259-1266

Electrochemical Degradation of Diuron in Chloride Medium using DSA® Based Anodes

Angelo R. F. Pipi; Sidney Aquino Neto; Adalgisa R. De Andrade

How to cite this article

 

In this work, the degradation of diuron using electrodes of different compositions of ruthenium and iridium oxides was investigated. Ruthenium based anodes showed a better efficiency than iridium ones to remove the herbicide.

https://dx.doi.org/10.5935/0103-5053.20130159

Published online: June 28, 2013

 

Share PDF   Supplementary Information 

Total access: 2999


J. Braz. Chem. Soc. 2013, 24(8), 1267-1275

Determination of Selenium, Chromium and Copper in Food Dyes by GF AAS

Emanueli do Nascimento da Silva; Nivaldo Baccan; Solange Cadore

How to cite this article

 

The manuscript describes the optimization and application of a method for determination of Se, Cr and Cu in food dyes using graphite furnace atomic absorption spectrometry.

https://dx.doi.org/10.5935/0103-5053.20130161

Published online: July 2, 2013

 

Share PDF

Total access: 1913


J. Braz. Chem. Soc. 2013, 24(8), 1276-1286

Redox Pathways of Aliskiren Based on Experimental and Computational Approach and Its Voltammetric Determination

Deniz Pamuk; İbrahim Hüdai Taşdemir; Abdulilah Ece; Esin Canel; Esma Kılıç

How to cite this article

 

Aliskiren is proposed to be oxidized at the benzylic carbon and reduced at the amide carbonyl groups. Limits of detection and of quantification for aliskiren were found in the low μg L-1 range for the proposed methods.

https://dx.doi.org/10.5935/0103-5053.20130162

Published online: July 2, 2013

 

Share PDF

Total access: 1907


J. Braz. Chem. Soc. 2013, 24(8), 1287-1294

Sediment Removal from Crude Oil Emulsion using Microwave Radiation

Fabiane G. Antes; Juliana S. F. Pereira; Liange O. Diehl; Letícia S. F. Pereira; Paula Boeck; Regina C. L. Guimarães; Ricardo A. Guarnieri; Bianca M. S. Ferreira; Maria de Fatima P. dos Santos; Edson Luiz Foletto; Erico M. M. Flores

How to cite this article

 

Microwave radiation was applied to closed vessels for sediment removal. After irradiation, crude oil phase could be characterized due to low content of sediments, salt and water.

https://dx.doi.org/10.5935/0103-5053.20130163

Published online: July 2, 2013

 

Share PDF

Total access: 1929


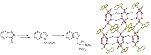
J. Braz. Chem. Soc. 2013, 24(8), 1295-1306

New 1-Hydroxy-1,1-bisphosphonates Derived from 1H-Pyrazolo[3,4-b]pyridine: Synthesis and Characterization

Fátima C. Teixeira; Carla Lucas; M. João M. Curto; M. Neves; M. Teresa Duarte; Vânia André; António P. S. Teixeira

How to cite this article

 

The first synthesis of phosphonate derived from pyrazolo[3,4-b]pyridine was achieved by a one-pot strategy from their corresponding carboxylic acids. An X-ray structure of one bisphosphonate is presented.

https://dx.doi.org/10.5935/0103-5053.20130164

Published online: July 5, 2013

 

Share PDF   Supplementary Information 

Total access: 3409


J. Braz. Chem. Soc. 2013, 24(8), 1307-1313

Kinetics and Mechanism of Oxidation of the Drug Intermediate 1-(2-Hydroxyethyl)piperidine by Bis(hydrogenperiodato)argentate(III)

Hongmei Shi; Jiong Zhang; Shuying Huo; Shigang Shen; Weijun Kang; Tiesheng Shi

How to cite this article

 

The oxidation of the drug intermediate 1-(2-hydroxyethyl)piperidine by [Ag(HIO6)2]5- was carefully studied by spectroscopic techniques, leading to the determination of the rate constants and associated activation parameters. A consistent reaction mechanism was proposed from the derived rate law allowing the in depth understanding of that reaction.

https://dx.doi.org/10.5935/0103-5053.20130165

Published online: July 5, 2013

 

Share PDF

Total access: 1944


J. Braz. Chem. Soc. 2013, 24(8), 1314-1321

Clusiaxanthone and Tocotrienol Series from Clusia pernambucensis and their Antileishmanial Activity

Everton M. Silva; Renata M. Araújo; Lindomar G. Freire-Filha; Edilberto R. Silveira; Norberto P. Lopes; José Elias de Paula; Raimundo Braz-Filho; Laila S. Espindola

How to cite this article

 

This work describes the isolation of a previously unreported xanthone and a series of tocotrienols from Clusia pernambucensis and their activity against Leishmania (Leishmania) amazonensis.

https://dx.doi.org/10.5935/0103-5053.20130166

Published online: July 10, 2013

 

Share PDF   Supplementary Information 

Total access: 3270


J. Braz. Chem. Soc. 2013, 24(8), 1322-1328

Influence of the Structure on the Antioxidant Activity of Tetradentate Schiff Bases and their Copper(II) Complexes: Possible Mechanisms

Najat M. Aburas; Nikola R. Stevanović; Miloš K. Milčić; Aleksandar Đ. Lolić; Maja M. Natić; Zivoslav Lj. Tešić; Rada M. Baošić

How to cite this article

 

A total of 5 tetradentate Schiff bases and their copper(II) complexes were tested for antioxidant activity. Descriptors calculated by hybrid DFT method provided insight into their antioxidant behavior and mechanism of the antioxidant activity.

https://dx.doi.org/10.5935/0103-5053.20130167

Published online: July 12, 2013

 

Share PDF   Supplementary Information 

Total access: 3220


J. Braz. Chem. Soc. 2013, 24(8), 1329-1338

Synthesis of Flower-like Ag-ZnO Nanostructure and its Application in the Photodegradation of Methyl Orange

Mansour Arab Chamjangali; Samira Boroumand

How to cite this article

 

Flower-like Ag-ZnO was more efficient than ZnO as photocatalyst for degradation of methyl orange. The possible factors influencing the photocatalytic activity were tested and discussed in order to find the best conditions.

https://dx.doi.org/10.5935/0103-5053.20130168

Published online: July 12, 2013

 

Share PDF

Total access: 1874


J. Braz. Chem. Soc. 2013, 24(8), 1339-1344

Electrochemical Hydrogen-Storage Properties of La0.78Mg0.22Ni2.67Mn0.11Al0.11Co0.52-M1Ni3.5Co0.6Mn0.4Al0.5 Composites

Hongxia Huang; Guohui Li; Shuxin Zhuang

How to cite this article

 

With the addition of M1Ni3.5Co0.6Mn0.4Al0.5 (M1 denotes mischmetal) alloy, the cycle stability of AB3-type La0.78Mg0.22Ni2.67Mn0.11Al0.11Co0.52 hydrogen storage alloy electrode is significantly improved. Moreover, the electrochemical kinetics increases first and then decreases with the increase of wt.% B.

https://dx.doi.org/10.5935/0103-5053.20130169

Published online: July 12, 2013

 

Share PDF

Total access: 1654


J. Braz. Chem. Soc. 2013, 24(8), 1345-1350

Metal Corrosion in Polychrome Baroque Lead Sculptures: a Case Study

Dalva L. A. de Faria; Thiago S. Puglieri; Luiz Antonio C. Souza

How to cite this article

 

Corroded polychrome lead sculptures from Oratory Museum (Ouro Preto, Minas Gerais, Brazil) were analyzed by different techniques. Environmental simulations supported that the degradation process was caused mainly by the curing process of the painted showcase baseplate, although cleaning products proved to be potentially harmful to Pb objects.

https://dx.doi.org/10.5935/0103-5053.20130170

Published online: July 19, 2013

 

Share PDF   Supplementary Information 

Total access: 2961


J. Braz. Chem. Soc. 2013, 24(8), 1351-1356

Prediction of Parameters (Soluble Solid and pH) in Intact Plum using NIR Spectroscopy and Wavelength Selection

Rosangela C. Costa; Kássio M. G. de Lima

How to cite this article

 

In this work, near-infrared reflectance spectroscopy and multivariate calibration for prediction of parameters (soluble solid and pH) were used in intact plum.

https://dx.doi.org/10.5935/0103-5053.20130172

Published online: July 24, 2013

 

Share PDF

Total access: 1864


J. Braz. Chem. Soc. 2013, 24(8), 1357-1365

Basis Set Convergence on Static Electric Dipole Polarizability Calculations of Alkali-Metal Clusters

Fábio A. L. de Souza; Francisco E. Jorge

How to cite this article

 

Estimated CBS-MP2 mean dipole polarizability vs. cluster size.

https://dx.doi.org/10.5935/0103-5053.20130171

Published online: July 24, 2013

 

Share PDF

Total access: 1635


J. Braz. Chem. Soc. 2013, 24(8), 1366-1372

Modeling Controlled Potassium Release from Phlogopite in Solution: Exploring the Viability of using Crushed Phlogopitite Rock as an Alternative Potassium Source in Brazilian Soil

Adriana de A. S. da Silva; João A. Sampaio; Adão B. da Luz; Sílvia C. A. França; Célia M. Ronconi

How to cite this article

 

Phlogopitite is a rock that is disposed of as a byproduct of emerald mining in Brazil. It contains the mineral phlogopite, rich in potassium. Kinetic studies on potassium release in solution were conducted to evaluate this rock as an alternative potassium source for crops.

https://dx.doi.org/10.5935/0103-5053.20130173

Published online: July 26, 2013

 

Share PDF

Total access: 1724


J. Braz. Chem. Soc. 2013, 24(8), 1373-1379

Evaluation of the Oxidative Stability of Biodiesel Blends from Soybean, Tallow and Castor Bean using Experimental Mixture Design

Anaildes L. Carvalho; Sarah M. F. Santana; Cristiane S. Silva; Iuri M. Pepe; Marcos A. Bezerra; Leandro M. Aragão; Cristina M. Quintella; Leonardo S. G. Teixeira

How to cite this article

 

An experimental design of biodiesel constrained mixtures was employed to evaluate and optimize the oxidative stability of soybean biodiesel mixed with different amounts of tallow and castor bean biodiesels.

https://dx.doi.org/10.5935/0103-5053.20130174

Published online: July 26, 2013

 

Share PDF

Total access: 1781


Short Report J. Braz. Chem. Soc. 2013, 24(8), 1380-1384

Thermometric Quantitative Selective Analysis of Sodium Methoxide in Methanol Industrial Solutions

Flavio A. Bastos; Sabir Khan; Eduardo H. Simões; Carlos A. Teixeira; Matthieu Tubino

How to cite this article

 

A solution of pure water at 10% (v v-1) in methanol was used as the thermometric reagent (titrant) for the quantitation of metoxide in methanol solution. The temperature variation measurements were performed essentially using a thermistor. The data were collected and analyzed graphically in a computer.

https://dx.doi.org/10.5935/0103-5053.20130160

Published online: June 28, 2013

 

Share PDF

Total access: 1926

Online version ISSN 1678-4790 Printed version ISSN 0103-5053
Journal of the Brazilian Chemical Society
JBCS Editorial and Publishing Office
University of Campinas - UNICAMP
13083-970 Campinas-SP, Brazil

Free access

GN1