JBCS

13:27, Sat Nov 29

Open Access/APCs

First slide
Second slide
Third slide
Third slide
Fifth slide
Sixth slide

vol. 24, No. 10, 2013, p. 1549-1706

 

Graduate Programs in Chemistry in Brazil

Research, development and innovation, R&D&I, are critical requirements for the advancement of every country and there is an intimate relationship between the development status of a society and the well-established scientific and technological systems which provide continuous supply of human resources and high-technology products.
In Brazil R&D&I are strongly linked to efforts in graduate programs and despite reaching a small fraction of an extremely heterogeneous and continental country, in 2010, we reached significant numbers of 2,840 graduate programs with Masters and/or Doctorate degrees. In this same year 39,590 graduate students finished their Masters Course and 11,314 graduate students finished their Doctorate Course.

(Read more at Editorial)


Cover Article
J. Braz. Chem. Soc. 2013, 24(10), 1613-1622

Structural Analysis and Antitumor Activity of Androstane D-Seco-mesyloxy Derivatives

Aleksandar M. Oklješa; Suzana S. Jovanović-Šanta; Olivera R. Klisurić; Marija N. Sakač; Evgenija A. Djurendić; Dimitar S. Jakimov; Lidija D. Aleksić; Katarina M. Penov Gaši

How to cite this article

Morphological manifestation of apoptosis is used to study the impact of synthesized steroidal derivatives. Because of the very high mortality rate associated with the hormone-dependent problems , therapeutics for treating different types of cancers are among the most important.. Details are presented in the Article Structural Analysis and Antitumor Activity of Androstane D-Seco-mesyloxy Derivatives by Aleksandar M. Okljesa; Suzana S. Jovanović-Santa; Olivera R. Klisurić; Marija N. Sakač; Evgenija A. Djurendić; Dimitar S. Jakimov; Lidija D. Aleksić; Katarina M. Penov Gasi on page 1613.

https://dx.doi.org/10.5935/0103-5053.20130206

Published online: August  23, 2013
Share PDF

Total access: 3361


Editorial J. Braz. Chem. Soc. 2013, 24(10), 1549-1552

Graduate Programs in Chemistry in Brazil

Joaquim A. Nóbrega

How to cite this article

 

https://dx.doi.org/10.5935/0103-5053.20130232

Total access: 3141


Articles J. Braz. Chem. Soc. 2013, 24(10), 1553-1560

Ethanol Oxidation Reaction on IrPtSn/C Electrocatalysts with low Pt Content

Júlio César M. Silva; Beatriz Anea; Rodrigo Fernando B. De Souza; Mônica Helena M. T. Assumpção; Marcelo L. Calegaro; Almir O. Neto; Mauro C. Santos

How to cite this article

 

Pt amount was diminished in 73% by using IrPtSn/C in the electrocatalyst. The current density from ethanol oxidation reaction was improved in about 282%. Mean products of ethanol oxidation was determined through FTIR-ATR experiments. Iridium led the ethanol oxidation reaction to acetaldehyde.

https://dx.doi.org/10.5935/0103-5053.20130196

Published online: August 20, 2013

 

Share PDF

Total access: 1863


J. Braz. Chem. Soc. 2013, 24(10), 1561-1569

Simultaneous Determination of Chlorpyrifos and Carbaryl by Spectrophotometry and Boosting Partial Least Squares

Vali Zare-Shahabadi; Fatemeh Abbasitabar; Morteza Akhond; Mojtaba Shamsipour

How to cite this article

 

Boosting-PLS uses different training set to improve the PLS results.

https://dx.doi.org/10.5935/0103-5053.20130197

Published online: August 23, 2013

 

Share PDF

Total access: 1784


J. Braz. Chem. Soc. 2013, 24(10), 1570-1581

Comprehensive Two-Dimensional Gas Chromatography Coupled to Time of Flight Mass Spectrometry: New Biomarker Parameter Proposition for the Characterization of Biodegraded Oil

Renata F. Soares; Ricardo Pereira; Raphael S. F. Silva; Leonardo Mogollon; Débora A. Azevedo

How to cite this article

 

Crude oil in subsurface petroleum reservoirs can undergo alteration processes, which results in aerobic and/or anaerobic degradation promoted by microorganisms with sequence removal of saturated hydrocarbons.

https://dx.doi.org/10.5935/0103-5053.20130198

Published online: August 23, 2013

 

Share PDF   Supplementary Information 

Total access: 3202


J. Braz. Chem. Soc. 2013, 24(10), 1582-1591

A Comparison of Amperometric and Spectrophotometric Methods for the Iodide Concentration Measurement: a Tracer in Produced Water from Offshore Oil Reservoirs

Flávia C. Souza; Davi Augusto I. da Silva; Márcia S. Ribeiro; Roberto B. Faria; Maria A. Melo; Roberta M. M. Toledo; Eliane D'Elia

How to cite this article

 

A comparative study between the amperometric and spectrophotometric methods for measuring the concentration of the iodide ion to be used as tracer in produced water from offshore oil reservoirs.

https://dx.doi.org/10.5935/0103-5053.20130199

Published online: August 23, 2013

 

Share PDF

Total access: 1834


J. Braz. Chem. Soc. 2013, 24(10), 1592-1598

Removal of BTX Compounds in Air by Total Catalytic Oxidation Promoted by Catalysts Based on SiO2(1-x)Cux

Rosana Balzer; Valderez Drago; Wido H. Schreiner; Luiz F. D. Probst

How to cite this article

 

Catalytic oxidation of BTX (benzene, toluene and o-xylene) to CO2 and H2O promoted by catalysts SiO2(1-x)Cux.

https://dx.doi.org/10.5935/0103-5053.20130200

Published online: August 23, 2013

 

Share PDF

Total access: 1685


J. Braz. Chem. Soc. 2013, 24(10), 1599-1605

A Chemometric Model Applied to Fatty Acid Determination in Blood

Thiago I. B. Lopes; Casey A. Rimland; Sabrina Nagassaki; Bruno Geloneze; Anita J. Marsaioli

How to cite this article

 

PCA based on full mass spectra was a useful tool for selecting important ions for the GC-MS/SIM quantification of fatty acids, while keeping the some qualitative information. PCA based on mass spectra in the SIM mode (m/z 74, 79, 81 and 87) was useful to determine unsaturations (0, 1, 2, 3 or > 4) and to reveal the presence of contaminants, artifacts and co-eluitions in chromatogram, without additional analysis.

https://dx.doi.org/10.5935/0103-5053.20130201

Published online: August 23, 2013

 

Share PDF   Supplementary Information 

Total access: 7112


J. Braz. Chem. Soc. 2013, 24(10), 1606-1612

Determination of Elements in Energy Drinks by ICP OES with Minimal Sample Preparation

Anna Szymczycha-Madeja; Maja Welna; Pawel Pohl

How to cite this article

 

A simple and fast method for determination of macro (Ca, Mg, P) and micro (Ba, Cd, Cr, Cu, Fe, Mn, Ni, Pb, Sr, Zn) elements in energy drinks using inductively plasma optical emission spectrometry was evaluated.

https://dx.doi.org/10.5935/0103-5053.20130202

Published online: August 23, 2013

 

Share PDF

Total access: 1858


J. Braz. Chem. Soc. 2013, 24(10), 1613-1622

Structural Analysis and Antitumor Activity of Androstane D-Seco-mesyloxy Derivatives

Aleksandar M. Oklješa; Suzana S. Jovanović-Šanta; Olivera R. Klisurić; Marija N. Sakač; Evgenija A. Djurendić; Dimitar S. Jakimov; Lidija D. Aleksić; Katarina M. Penov Gaši

How to cite this article

 

This work presents the synthesis and crystallographic analysis of two stereoisomeric 16,17-secoandrostane mesyloxy derivatives and the study of their antiproliferative activity, influence on cell cycle and induction of apoptosis of tumor cells.

https://dx.doi.org/10.5935/0103-5053.20130206

Published online: August 23, 2013

 

Share PDF   Supplementary Information 

Total access: 3361


J. Braz. Chem. Soc. 2013, 24(10), 1623-1634

Hologram- and Descriptor-Based QSAR Studies for a Series of Non-Azoles Derivatives Active Against C. neoformans

Lara B. Cunha; Humberto F. Freitas; Marcelo S. Castilho

How to cite this article

 

The structure-activity relationship of non-azole antifungal molecules has been investigated by means of descriptor-based (r2 = 0.92, q2 = 0.90, 6 LVs and r2pred = 0.86) and hologram-based (r2 = 0.87, q2 = 0.81, 6 LVs and r2pred = 0.84) two-dimensional QSAR models. Both approaches underscore the negative contribution of resonance effects towards potency.

https://dx.doi.org/10.5935/0103-5053.20130207

Published online: August 28, 2013

 

Share PDF   Supplementary Information 

Total access: 2971


J. Braz. Chem. Soc. 2013, 24(10), 1635-1641

Assessing Stir Bar Sorptive Extraction and Microextraction by Packed Sorbent for Determination of Selective Serotonin Reuptake Inhibitor Antidepressants in Plasma Sample by Non-Aqueous Capillary Electrophoresis

Ana Paula F. Catai; Flávio P. Picheli; Emanuel Carrilho; Maria Eugênia C. Queiroz

How to cite this article

 

Two approaches based on partition equilibrium, stir bar sorptive extraction and microextraction by packed sorbent, were evaluated for the determination of selective serotonin reuptake inhibitor antidepressants by non-aqueous capillary electrophoresis with spectrophotometric detection.

https://dx.doi.org/10.5935/0103-5053.20130208

Published online: August 28, 2013

 

Share PDF

Total access: 1735


J. Braz. Chem. Soc. 2013, 24(10), 1642-1648

Bioaccumulation of Tributyltin by Blue Crabs

Monizze Vannuci-Silva; Amauri A. Menegario; Mariana Franchi; Ana L. Brossi-Garcia; João M. de Souza; Marcus A. G. de Araújo Jr; Monica A. F. S. Bindes G. Lopes; José S. Govone

How to cite this article

 

It was shown that Sn (derived from tributyltin (TBT) exposure) is bioaccumulated by the blue crab in higher concentrations in the hepatopancreas. The results suggest that Sn is bioaccumulated as TBT.

https://dx.doi.org/10.5935/0103-5053.20130209

Published online: August 28, 2013

 

Share PDF

Total access: 1676


J. Braz. Chem. Soc. 2013, 24(10), 1649-1655

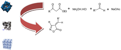
Nano Fe2O3, Clinoptilolite and H3PW12O40 as Efficient Catalysts for Solvent-Free Synthesis of 5(4H)-Isoxazolone under Microwave Irradiation Conditions

Samieh Fozooni; Nasrin Gholam Hosseinzadeh; Hooshang Hamidian; Mohammad Reza Akhgar

How to cite this article

 

Nano Fe2O3, clinoptilolite and H3PW12O40 efficiently catalyze reaction of hydroxylamine hydrochloride, sodium acetate, acetoacetic ester or benzoyl acetic ester and appropriate aldehydes to afford corresponding 5(4H)-isoxazolone. The present protocols offer several advantages, such as short reaction times, reasonable yields and recycling catalysts with a very easy workup.

https://dx.doi.org/10.5935/0103-5053.20130211

Published online: August 30, 2013

 

Share PDF   Supplementary Information 

Total access: 2970


J. Braz. Chem. Soc. 2013, 24(10), 1656-1661

Prenylated Flavone from Roots of a Hybrid between Artocarpus heterophyllus and Artocarpus integer and its Biological Activities

Kanda Panthong; Kanogwan Tohdee; Nongporn Hutadilok-Towatana; Supayang P. Voravuthikunchai; Sasitorn Chusri

How to cite this article

 

A new prenylated flavone (1) together with 24 known compounds were isolated from the roots of a hybrid between Artocarpus heterophyllus and Artocarpus integer.

https://dx.doi.org/10.5935/0103-5053.20130212

Published online: August 30, 2013

 

Share PDF   Supplementary Information 

Total access: 3119


J. Braz. Chem. Soc. 2013, 24(10), 1662-1668

Ultra Long Single Crystalline Na0.3V2O5 Nanofibers/Nanorings Synthesized by a Facile One Pot Green Approach and their Lithium Storage Behavior

Ganganagappa Nagaraju

How to cite this article

 

Na0.3V2O5 nanofibers/nanorings were prepared through a simple one step hydrothermal method without any surfactant at 200 ºC for 3-5 days. They exhibited an initial discharge capacity of 182 mAh g-1 and a stabilized capacity of 179 mAh g-1 even after 50 cycles. A possible mechanism of ring formation is discussed.

https://dx.doi.org/10.5935/0103-5053.20130213

Published online: September 4, 2013

 

Share PDF

Total access: 1932


J. Braz. Chem. Soc. 2013, 24(10), 1669-1678

Individual and Simultaneous Square Wave Voltammetric Determination of the Anticancer Drugs Emodin and Irinotecan at Renewable Pencil Graphite Electrodes

Yassien M. Temerk; Hossieny S. M. Ibrahim

How to cite this article

 

A rapid, sensitive and versatile method for the individual and simultaneous determination of the anticancer drugs emodin and irinotecan in biological fluids based on the square wave voltammetry using renewable pencil graphite electrodes was investigated.

https://dx.doi.org/10.5935/0103-5053.20130214

Published online: September 4, 2013

 

Share PDF

Total access: 1710


J. Braz. Chem. Soc. 2013, 24(10), 1679-1684

Electrochemical Homogenous Catalysis of the Isoflurane Reduction in Presence of Iron(III) Tetraphenylporphyrin Chloride

Mostafa Najafi; Mehdi Sadeghi

How to cite this article

 

The electroreduction of isoflurane in presence of tetraphenyl iron (III) porphyrin chloride (Fe(TPP)Cl) showed that the reduction of isoflurane was performed with overpotential of about 1150 mV lower than the observed potential for reduction of isoflurane in DMSO solution.

https://dx.doi.org/10.5935/0103-5053.20130215

Published online: September 4, 2013

 

Share PDF

Total access: 1738


Short Report J. Braz. Chem. Soc. 2013, 24(10), 1685-1690

N-(4-((E)-3-Arylacryloyl)phenyl)acetamide Derivatives and their Antileishmanial Activity

Dency J. Pacheco; Jorge Trilleras; Jairo Quiroga; Jennifer Gutiérrez; Luis Prent; Tobinson Coavas; Juan C. Marín; Gabriela Delgado

How to cite this article

 

The antileishmanial activity of a series of enonic derivatives (chalcones) synthesized via Claisen-Schmidt condensation reactions assisted by ultrasonic radiation was characterized by analyzing their cytotoxicity against Leishmania (Viannia) panamensis promastigotes.

https://dx.doi.org/10.5935/0103-5053.20130203

Published online: August 23, 2013

 

Share PDF   Supplementary Information 

Total access: 2829


J. Braz. Chem. Soc. 2013, 24(10), 1691-1696

A Green Potentiometric Method for Determination of the Acid Number of Oils and Fats

Matthieu Tubino; Juliana A. Aricetti

How to cite this article

 

Green and automatic potentiometric determination of the acid number of vegetable oils and animal fats; this parameter is of fundamental importance for their specification.

https://dx.doi.org/10.5935/0103-5053.20130204

Published online: August 23, 2013

 

Share PDF

Total access: 1691


J. Braz. Chem. Soc. 2013, 24(10), 1697-1700

Maytensifolone, a New Triterpene from Maytenus distichophylla Mart. ex Reissek

Marcelo Cavalcante Duarte; Josean Fechine Tavares; Sara Alves L. Madeiro; Vicente Carlos O. Costa; José Maria Barbosa Filho; Maria de Fátima Agra; Raimundo Braz Filho; Marcelo Sobral da Silva

How to cite this article

 

Isolation of the new triterpene 3,16,21-trioxo-6β,12α-dihydroxy-1-en-friedelane (named maytensifolone), along with 3-oxofriedelane, 3,12-dioxofriedelane, 3β-hydroxyfriedelane, 3-oxo-29-hydroxyfriedelane, 3-oxo-12α-hydroxyfriedelane and 3-oxo-30-hydroxyfriedelane from the leaves of Maytenus distichophylla.

https://dx.doi.org/10.5935/0103-5053.20130205

Published online: August 23, 2013

 

Share PDF   Supplementary Information 

Total access: 3296


J. Braz. Chem. Soc. 2013, 24(10), 1701-1706

Development of a New Solid Phase Extraction Procedure for Selective Separation and Enrichment of Au(III) Ions in Environmental Samples

Hamide Elvan; Duygu Ozdes; Celal Duran; V. Numan Bulut; Nurhan Gümrükçüoğlu; Mustafa Soylak

How to cite this article

 

Langmuir adsorption isotherm model was evaluated to calculate the adsorption capacity of the Amberlite XAD-4 resin for Au(III) ions.

https://dx.doi.org/10.5935/0103-5053.20130210

Published online: August 30, 2013

 

Share PDF

Total access: 1760

Online version ISSN 1678-4790 Printed version ISSN 0103-5053
Journal of the Brazilian Chemical Society
JBCS Editorial and Publishing Office
University of Campinas - UNICAMP
13083-970 Campinas-SP, Brazil

Free access

GN1