JBCS

13:26, Sat Nov 29

Open Access/APCs

First slide
Second slide
Third slide
Third slide
Fifth slide
Sixth slide

vol. 24, No. 12, 2013, p. 1887-2065

 

A New Generation of Chemist Leaders for a Chemistry without Borders

On its 26th Annual Meeting, the Brazilian Chemistry Society - BCS promoted a round table entitled "Chemistry without Borders", at which we raised several reflections we would like to share with the JBCS readers. Despite many important issues still to be addressed, it is reasonable to say that the research in chemistry in Brazil is developing fairly well. So, let's put our research papers aside for a moment since, to conceive a "chemistry without borders", we have to get rid of our academic mental frontiers. Chemistry is a central science, but the chemistry professionals we have formed are, generally speaking, peripheral. Chemistry has not been attractive either as a science or a professional path.

(Read more at Editorial)


Cover Article
J. Braz. Chem. Soc. 2013, 24(12), 2028-2032

Bursting in the Belousov-Zhabotinsky Reaction Added with Phenol in a Batch Reactor

Ariel Cadena; Daniel Barragán; Jesús Ágreda

How to cite this article

Phenol added to the classical Belousov-Zhabotinsky reaction drives a bifurcation from regular oscillations to a transient bursting phenomena. It was explained as a complex process that involves a kinetic competition between an aromatic redox cycle of phenolic compounds and the Ce4+/Ce3+ catalytic cycle of the BZ classic oscillator. Details are presented in the Article Bursting in the Belousov-Zhabotinsky Reaction Added with Phenol in a Batch Reactor by Ariel Cadena, Daniel Barragán and Jesús Ágreda on page 2028.

https://dx.doi.org/10.5935/0103-5053.20130254

Published online: October  16, 2013
Share PDF

Total access: 69451


Editorial J. Braz. Chem. Soc. 2013, 24(12), 1887-1890

A New Generation of Chemist Leaders for a Chemistry without Borders

Rochel Lago; Ana Lucia Americano Barcelos Souza; Aluir Purceno; Flávia Gontijo

How to cite this article

 

https://dx.doi.org/10.5935/0103-5053.20130273

Total access: 2708


Review J. Braz. Chem. Soc. 2013, 24(12), 1891-1912

New Energy Sources: The Enzymatic Biofuel Cell

Sidney Aquino Neto; Adalgisa R. De Andrade

How to cite this article

 

This review aims to provide the readers of the Journal of the Brazilian Chemical Society with an overview of enzymatic biofuel cells, their development since their first description in 1964, and the most recent outcomes. The latest papers in this field (including implantable technology) and an outlook for future research in this area are also presented.

https://dx.doi.org/10.5935/0103-5053.20130261

Published online: November 6, 2013

 

Share PDF

Total access: 1911


Articles J. Braz. Chem. Soc. 2013, 24(12), 1913-1919

Antimicrobial Activity of Hydroxylactone obtained by Biotransformation of Bromo- and Iodolactone with Gem-Dimethylcyclohexane Ring

Małgorzata Grabarczyk; Wanda Mączka; Katarzyna Wińska; Barbara Żarowska; Mirosław Anioł

How to cite this article

 

Two lactones (δ-bromo-γ-lactone and δ-iodo-γ-lactone) obtained from γ,δ-unsaturated acid were transformed by hydrolytic dehalogenation carried out by filamentous fungi into hydroxylactone. This hydroxylactone inhibited growth of some microorganisms.

https://dx.doi.org/10.5935/0103-5053.20130238

Published online: October 2, 2013

 

Share PDF   Supplementary Information 

Total access: 3038


J. Braz. Chem. Soc. 2013, 24(12), 1920-1925

Thermodynamics of Biodiesel: Combustion Experiments in the Standard Conditions and Adjusting of Calorific Values for the Practically Relevant Range (273 to 373) K and (1 to 200) bar

Dzmitry H. Zaitsau; Sergey P. Verevkin

How to cite this article

 

Calorific values of (RME) and (SME) biodiesel blends have been. T and P dependences of the calorific values in the range (273 to 373) K and (1 to 200) bar have been derived.

https://dx.doi.org/10.5935/0103-5053.20130239

Published online: October 2, 2013

 

Share PDF   Supplementary Information 

Total access: 2982


J. Braz. Chem. Soc. 2013, 24(12), 1926-1932

Cyclodipeptides from Metagenomic Library of a Japanese Marine Sponge

Rui He; Bochu Wang; Toshiyuki Wakimoto; Manyuan Wang; Liancai Zhu; Ikuro Abe

How to cite this article

 

Eleven cyclodipeptides were heterogeneously expressed in plate culture of an antibacterial clone functionally screened from metagenomic library of Japanese marine sponge D. calyx. These cyclodipeptides, two of them containing D-proline residue despite non-NRPS products, were firstly reported from metagenomic library.

https://dx.doi.org/10.5935/0103-5053.20130240

Published online: October 2, 2013

 

Share PDF   Supplementary Information 

Total access: 4306


J. Braz. Chem. Soc. 2013, 24(12), 1933-1941

Studies towards the Identification of the Sex Pheromone of Thyrinteina arnobia

Jardel A. Moreira; Tiago Neppe; Marcelo M. de Paiva; Anna M. Deobald; Luciane G. Batista-Pereira; Marcio W. Paixão; Arlene G. Corrêa

How to cite this article

 

We have investigated the sex pheromone composition of the eucalyptus brown-looper and developed an efficient asymmetric synthesis for the four stereoisomers of 3,4-epoxy-6,9-heneicosadiene, possible major pheromone component.

https://dx.doi.org/10.5935/0103-5053.20130241

Published online: October 2, 2013

 

Share PDF   Supplementary Information 

Total access: 2917


J. Braz. Chem. Soc. 2013, 24(12), 1942-1949

Interaction of Organophosphorus Pesticides with DNA Nucleotides on a Boron‑Doped Diamond Electrode

Gustavo S. Garbellini; Carolina V. Uliana; Hideko Yamanaka

How to cite this article

 

Boron-doped diamond electrode was used to evaluate the interaction of the DNA nucleotides guanosine monophosphate and adenosine monophosphate with the organophosphorus pesticides methamidophos, monocrotophos and chlorpyrifos.

https://dx.doi.org/10.5935/0103-5053.20130242

Published online: October 2, 2013

 

Share PDF

Total access: 1815


J. Braz. Chem. Soc. 2013, 24(12), 1950-1956

New neo-Clerodanes from Tinnea antiscorbutica Welv.

Cristina M. P. Borges; Dina I. M. D. de Mendonça; Sandra C. S. Pinheiro; Liliana Vieira; António J. G. Mendonça; Jorge F. Gaspar; Célia Martins; Carlos Diakanawma; José Rueff

How to cite this article

 

Three new neo-clerodanes, antiscorbuticane A, B and C, and seven known compounds were isolated from the methanol extract of Tinnea antiscorbutica. Antiscorbuticane B exhibited no mutagenic activity and did not induce micronucleus formation in the V79 cell line.

https://dx.doi.org/10.5935/0103-5053.20130244

Published online: October 4, 2013

 

Share PDF   Supplementary Information 

Total access: 3087


J. Braz. Chem. Soc. 2013, 24(12), 1957-1963

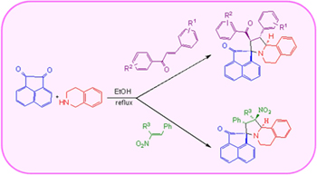
A Facile Regioselective Synthesis of Novel Spiroacenaphthene Pyrroloisoquinolines Through 1,3-Dipolar Cycloaddition Reactions

Yaghoub Sarrafi; Asieh Asghari; Mahshid Hamzehloueian; Kamal Alimohammadi; Marzieh Sadatshahabi

How to cite this article

 

A new series of spiroacenaphthene pyrroloisoquinolines were synthesized by one-pot, three component condensation of azomethine ylides, generated from 1,2,3,4-tetrahydroisoquinoline with acenaphthenequinone by a 1,5-prototropic shift route, with chalcone and nitrostyrene derivatives in a regio- and stereoselective manner.

https://dx.doi.org/10.5935/0103-5053.20130245

Published online: October 9, 2013

 

Share PDF   Supplementary Information 

Total access: 3091


J. Braz. Chem. Soc. 2013, 24(12), 1964-1973

Nitrofurazone and its Nitroheterocyclic Analogues: a Study of the Electrochemical Behavior in Aqueous Medium

Charles de Lima Brito; Gustavo Henrique Goulart Trossini; Elizabeth Igne Ferreira; Mauro Aquiles La-Scalea

How to cite this article

 

The electrochemical reduction of nitrofurazone and its analogues was studied by cyclic voltammetry, differential pulse voltammetry and chronoamperometry in aqueous medium by using a glassy carbon electrode. The nitro anion radical was generated electrochemically and undergoes a disproportionation chemical reaction. The nitro anion radical obtained using the nitrothiophene thiosemicarbazone (NTS) analogue was significantly more stable than the one from nitrofurazone.

https://dx.doi.org/10.5935/0103-5053.20130246

Published online: October 9, 2013

 

Share PDF   Supplementary Information 

Total access: 3027


J. Braz. Chem. Soc. 2013, 24(12), 1974-1982

Screening of Different Fusarium Species to Select Potential Species for the Synthesis of Silver Nanoparticles

Swapnil C. Gaikwad; Sonal S. Birla; Avinash P. Ingle; Aniket K. Gade; Priscyla D. Marcato; Mahendra Rai; Nelson Duran

How to cite this article

 

Biological synthesis of metal nanoparticles using fungi has been proved to be eco-friendly, economical and green approach. In the present study, different Fusarium species were screened to select an efficient species for the synthesis of silver nanoparticles.

https://dx.doi.org/10.5935/0103-5053.20130247

Published online: October 9, 2013

 

Share PDF   Supplementary Information 

Total access: 3138


J. Braz. Chem. Soc. 2013, 24(12), 1983-1990

Electrospray Ionization Mass Spectrometry Applied to Study the Radical Acetylation of Amino Acids, Peptides and Proteins

Atecla N. L. Alves; Leticia D. L. Jedlicka; Júlio Massari; Maria A. Juliano; Etelvino J. H. Bechara; Nilson A. Assunção

How to cite this article

 

The species generated by oxidative stress combined with endogenous and exogenous compounds to promote changes in DNA and proteins, triggering various pathologies.

https://dx.doi.org/10.5935/0103-5053.20130248

Published online: October 9, 2013

 

Share PDF   Supplementary Information 

Total access: 2810


J. Braz. Chem. Soc. 2013, 24(12), 1991-1997

PAMPA Permeability, Acetylcholinesterase Inhibition and Antioxidant Activity of Pyranoisoflavones from Polygala molluginifolia (Polygalaceae)

Dalila Venzke; Francieli K. Carvalho; Ana P. Ruani; Aldo S. Oliveira; Inês M. C. Brighente; Gustavo A. Micke; Anderson Barison; Moacir G. Pizzolatti

How to cite this article

 

One new pyranoisoflavone and three known pyranoisoflavones, together with rutin and sucrose, were isolated from Polygala molluginifolia and evaluated for their acetylcholinesterase inhibition, antioxidant activity and PAMPA permeability.

https://dx.doi.org/10.5935/0103-5053.20130249

Published online: October 11, 2013

 

Share PDF   Supplementary Information 

Total access: 2887


J. Braz. Chem. Soc. 2013, 24(12), 1998-2007

Determining Hildebrand Solubility Parameter by Ultraviolet Spectroscopy and Microcalorimetry

Suzanny P. Carvalho; Elizabete F. Lucas; Gaspar González; Luciana S. Spinelli

How to cite this article

 

Comparative results obtained by different methods for experimental determination of solubility parameter (δ) of low and high molar mass molecules. UV-Vis and µDSC were suitable to measure δ for a wide molar mass range.

https://dx.doi.org/10.5935/0103-5053.20130250

Published online: October 11, 2013

 

Share PDF

Total access: 1747


J. Braz. Chem. Soc. 2013, 24(12), 2008-2014

Simulation of the Equilibrium Constant Effect on the Kinetics and Average Properties of Polystyrene Obtained by ATRP

Roniérik P. Vieira; Andréia Ossig; Janaína M. Perez; Vinícius G. Grassi; Cesar L. Petzhold; Augusto Peres; João M. Costa; Liliane M. F. Lona

How to cite this article

 

The general reaction mechanism of a typical atom transfer radical polymerization (ATRP) and the definition of equilibrium constant. PnX is the "dormant" polymer, MnY/L is the catalytic system, Pn* is the "living" polymer and Pn+m / Pn + Pm are the "dead" polymers.

https://dx.doi.org/10.5935/0103-5053.20130251

Published online: October 11, 2013

 

Share PDF

Total access: 1773


J. Braz. Chem. Soc. 2013, 24(12), 2015-2020

Influence of the Extractant on the Complexing Capacity of Humic Substances from Peat for Macro and Micronutrients Using Continuous Flow: Agricultural Application and Environmental Impacts

Wander G. Botero; Luciana C. Oliveira; Alexandre D. M. Cavagis; Andre H. Rosa; Julio C. Rocha; Ademir Santos

How to cite this article

 

The influence of the type of extractor and extracting humic substances from peat for agricultural application and environmental impacts.

https://dx.doi.org/10.5935/0103-5053.20130252

Published online: October 16, 2013

 

Share PDF

Total access: 1609


J. Braz. Chem. Soc. 2013, 24(12), 2021-2027

Novel Bioactive Dibenzocyclooctadiene Lignans from Schisandra neglecta

Xue-Mei Gao; De-Yun Niu; Chun-Yang Meng; Fu-Quan Yao; Bin Zhou; Rui-Rui Wang; Liu-Meng Yang; Yong-Tang Zheng; Qiu-Fen Hu; Han-Dong Sun; Wei-Lie Xiao

How to cite this article

 

The structures of four new dibenzocyclooctadiene lignans isolated from the stems of Schisandra neglecta were elucidated by spectroscopic methods. These compounds showed moderate anti-HIV-1 activities and weak cytotoxic activities for some selected cell lines.

https://dx.doi.org/10.5935/0103-5053.20130253

Published online: October 16, 2013

 

Share PDF   Supplementary Information 

Total access: 3040


J. Braz. Chem. Soc. 2013, 24(12), 2028-2032

Bursting in the Belousov-Zhabotinsky Reaction Added with Phenol in a Batch Reactor

Ariel Cadena; Daniel Barragán; Jesús Ágreda

How to cite this article

 

The classical Belousov-Zhabotinsky oscillating reaction, in a batch reactor added with phenol, shows a set of non-usual behaviors in function of the initial concentration of phenol. The most remarkable of them is a burst firing, which was explained by a competition between two redox cycles, one with aliphatic species and one with phenolic species.

https://dx.doi.org/10.5935/0103-5053.20130254

Published online: October 16, 2013

 

Share PDF   Supplementary Information 

Total access: 69451


J. Braz. Chem. Soc. 2013, 24(12), 2033-2041

Determination of Trace Elements in B5-diesel Oil by HR‑CS ET AAS Using a Simple Dilute-and-Shoot Approach

Daiane P. C. de Quadros; Daniel L. G. Borges

How to cite this article

 

B5-diesel, a blend of biodiesel and diesel oil, is widely used in Brazil and it is responsible for the emission of trace elements to the atmosphere. In this work, a simple procedure aiming at the analysis of B5-diesel samples by high-resolution continuum source electrothermal atomic absorption spectrometry (HR-CS ET AAS) is described.

https://dx.doi.org/10.5935/0103-5053.20130255

Published online: October 18, 2013

 

Share PDF

Total access: 1579


J. Braz. Chem. Soc. 2013, 24(12), 2042-2049

Determination of Chlorpyrifos and Thiamethoxam in Potato Tuber (Solanum tuberosum L.) and Soil of Brazil Using Solid-Liquid Extraction with Low Temperature Partitioning (SLE/LTP)

Leila M. B. Rigueira; Kamilla de L. Ribeiro; Maria Eliana L. R. de Queiroz; Antônio A. Neves; Laércio Zambolim; Ricardo M. Oliveira

How to cite this article

 

This paper describes a method for determining chlorpyrifos and thiamethoxam in potato and soil using the technique of solid-liquid extraction with low temperature partitioning and determination by gas chromatography.

https://dx.doi.org/10.5935/0103-5053.20130256

Published online: October 23, 2013

 

Share PDF

Total access: 1719


J. Braz. Chem. Soc. 2013, 24(12), 2050-2058

Preparation of a Composite Particle Electrode by Electroless Plating and Its Electrocatalytic Performance in the Decolorization of Methyl Orange Dye Solution

Guiping Cao; Feng Xu; Shengan Xia

How to cite this article

 

A nickel-loaded activated carbon (Ni/AC) composite particle electrode was prepared by electroless plating with palladium-free pretreatment. The electrocatalytic performance of Ni/AC electrode was superior to that of AC electrode under the same electrolysis conditions in the three-dimensional electrode cell.

https://dx.doi.org/10.5935/0103-5053.20130258

Published online: November 1, 2013

 

Share PDF

Total access: 1649


Short Report J. Braz. Chem. Soc. 2013, 24(12), 2059-2065

Synthesis of Fatty Trichloromethyl-β-diketones and New 1H-Pyrazoles as Unusual FAMEs and FAEEs

Alex F. C. Flores; Rogerio F. Blanco; Alynne A. Souto; Juliana L. Malavolta; Darlene C. Flores

How to cite this article

 

This work describes the synthesis of a novel alkyl 1H-pyrazole-5-carboxylate series from versatile precursors 1,1,1-trihalo-4-methoxy-3-alken-2-ones obtained from long chain ketones. These are promising new oleochemical derivatives.

https://dx.doi.org/10.5935/0103-5053.20130237

Published online: September 27, 2013

 

Share PDF   Supplementary Information 

Total access: 3079

Online version ISSN 1678-4790 Printed version ISSN 0103-5053
Journal of the Brazilian Chemical Society
JBCS Editorial and Publishing Office
University of Campinas - UNICAMP
13083-970 Campinas-SP, Brazil

Free access

GN1