JBCS

13:24, Sat Nov 29

Open Access/APCs

First slide
Second slide
Third slide
Third slide
Fifth slide
Sixth slide

vol. 25, No. 5, 2014, p. 797-986

 

Internationalizing a Prestigious Brazilian Scientific Journal

Emerging countries have been making a great effort to increase the presence of their scientific journals in the international bases of scientific publications.
Brazil stands out for having increased the number of journals in the Web of Science by approximately 8 times since the beginning of this century: nowadays we have about 140 journals online.
But it is very interesting that, when compared with other emerging countries, there are few Brazilian journals covering the exact sciences area.

(Read more at Editorial)


Cover Article
J. Braz. Chem. Soc. 2014, 25(5), 799-821

Continuum Source Atomic Absorption Spectrometry: Past, Present and Future Aspects - A Critical Review

Bernhard Welz; Maria Goreti R. Vale; Éderson R. Pereira; Ivan N. B. Castilho; Morgana B. Dessuy

How to cite this article

This review article covers 1½ centuries of history of continuum source atomic absorption spectrometry (CS AAS). It discusses the major advantages of modern high-resolution (HR-CS AAS). The advantages of this new technique are outstanding, such as the three-dimensional imaging of absorbance spectra, the unsurpassed background correction capabilities, and the possibility to determine non-metals via the absorption of their diatomic molecules. The dream to overcome the stigma of AAS as a one-element-at-a-time technique has not yet been realized, but there is hope that it will not take too long to also reach that goal. Details are presented in the Review Continuum Source Atomic Absorption Spectrometry: Past, Present and Future Aspects - A Critical Review by Bernhard Welz, Maria Goreti R. Vale, Éderson R. Pereira, Ivan N. B. Castilho and Morgana B. Dessuy on page 799.

https://dx.doi.org/10.5935/0103-5053.20140053

Published online: March  14, 2014
Share PDF

Total access: 2980


Editorial J. Braz. Chem. Soc. 2014, 25(5), 797-798

Internationalizing a Prestigious Brazilian Scientific Journal

Rogerio Meneghini

How to cite this article

 

https://dx.doi.org/10.5935/0103-5053.20140081

Total access: 3252


Review J. Braz. Chem. Soc. 2014, 25(5), 799-821

Continuum Source Atomic Absorption Spectrometry: Past, Present and Future Aspects - A Critical Review

Bernhard Welz; Maria Goreti R. Vale; Éderson R. Pereira; Ivan N. B. Castilho; Morgana B. Dessuy

How to cite this article

 

The history of using continuum sources for absorption measurements started in the 1860s; it was re-discovered in the 1960s and first instruments became available early this century. The literature about features and recent applications is reviewed.

https://dx.doi.org/10.5935/0103-5053.20140053

Published online: March 14, 2014

 

Share PDF

Total access: 2980


Articles J. Braz. Chem. Soc. 2014, 25(5), 822-830

Tungsten Oxide Thin Films Grown by Thermal Evaporation with High Resistance to Leaching

Diogo S. Corrêa; Julia C. O. Pazinato; Maurício A. de Freitas; Lucio S. Dorneles; Claudio Radtke; Irene T. S. Garcia

How to cite this article

 

Tungsten oxide thin films were obtained by thermal evaporation under reduced oxygen pressure. The composition of the films, structuring mode and crystalline lattice were investigated. Resistance to leaching and performance as photocatalyst were also evaluated in this work.

https://dx.doi.org/10.5935/0103-5053.20140041

Published online: February 18, 2014

 

Share PDF

Total access: 1962


J. Braz. Chem. Soc. 2014, 25(5), 831-840

Glycerol Electrooxidation in Alkaline Medium Using Pd/C, Au/C and PdAu/C Electrocatalysts Prepared by Electron Beam Irradiation

Adriana N. Geraldes; Dionisio F. Silva; Júlio C. M. Silva; Rodrigo F. B. Souza; Estevam V. Spinacé; Almir O. Neto; Marcelo Linardi; Mauro C. Santos

How to cite this article

 

This study concerns glycerol electrooxidation in single alkaline direct glycerol fuel cell (ADGFC). In situ ATR-FTIR analyses were performed for the Pd/C and PdAu/C electrocatalysts at different atomic ratios, identifying oxalate, glycerate ion, 1,3-dihydroxy-2-propanone, glyceraldehyde and glycolate as major products of glycerol electrooxidation.

https://dx.doi.org/10.5935/0103-5053.20140044

Published online: February 21, 2014

 

Share PDF

Total access: 2080


J. Braz. Chem. Soc. 2014, 25(5), 841-852

Ehrlich and Sarcoma 180 Tumour Characterisation and Early Detection by 1H NMR-Based Metabonomics of Mice Serum

Caroline W. P. da S. Grandizoli; Luise Z. B. Carrenho; Thais M. G. de Francisco; Arquimedes P. de Santana Filho; Guilherme L. Sassaki; Fabio Simonelli; Noemi Nagata; Maria R. O. Kreuger; Francinete R. Campos; Andersson Barison

How to cite this article

 

This work shows that NMR-based metabonomics on the chemical composition of biofluids can be a valuable tool to evaluate tumour onset and its progress. Through chemometric analysis of 1H NMR spectra from serum it was possible to diagnose tumours in mice as well as to recognize the biomarkers indicative of the disease.

https://dx.doi.org/10.5935/0103-5053.20140045

Published online: February 28, 2014

 

Share PDF   Supplementary Information 

Total access: 3127


J. Braz. Chem. Soc. 2014, 25(5), 853-860

Nondestructive Determination of Allergenic and Toxic Elements in Jewelry: a Comparison of Benchtop and Portable Energy Dispersive X-Ray Fluorescence Spectrometers

José Augusto Da-Col; Maria Izabel M. S. Bueno; Fábio Luiz Melquiades

How to cite this article

 

Fast, nondestructive and clean characterization of toxic and allergenic elements in jewelry by EDXRF.

https://dx.doi.org/10.5935/0103-5053.20140047

Published online: February 28, 2014

 

Share PDF   Supplementary Information 

Total access: 3044


J. Braz. Chem. Soc. 2014, 25(5), 861-866

A New Triazene Ligand Immobilized on Triacetylcellulose Membrane for Selective Determination of Mercury Ion

Hossein Tavallali; Homa Shafiekhani; Mohammad Kazem Rofouei; Mahmood Payehghadr

How to cite this article

 

In the title compound, [Hg (C14H13N4O3)2], the central Hg atom is six-coordinated by two tridentate triazenide ligands through two N and one O atoms. Spectrophotometric study of complex formation between this ligand and Hg2+ in DMF solution indicated a large stability constant for the mercury ion complex.

https://dx.doi.org/10.5935/0103-5053.20140048

Published online: March 7, 2014

 

Share PDF

Total access: 1853


J. Braz. Chem. Soc. 2014, 25(5), 867-872

Investigation of a Novel Ag(III) Chemiluminescence System and its Mechanism for Determination of Uric Acid in Human Urine

Li Ma; Lingmei Niu; Wei Wang; Weijun Kang; Hongmei Shi

How to cite this article

 

Using a novel luminol-Ag(III) complex chemiluminescence system for determination of uric acid was presented. Possible reaction mechanisms for the CL system were suggested based on the UV absorption spectra, CL spectra, and the free radical trapping experiment.

https://dx.doi.org/10.5935/0103-5053.20140050

Published online: March 11, 2014

 

Share PDF

Total access: 1715


J. Braz. Chem. Soc. 2014, 25(5), 873-881

Photophysical Properties of Coumarin Compounds in Neat and Binary Solvent Mixtures: Evaluation and Correlation Between Solvatochromism and Solvent Polarity Parameters

Leonardo M. Moreira; Mirian M. de Melo; Priscila A. Martins; Juliana P. Lyon; Ana Paula Romani; Lúcia Codognoto; Sandra C. dos Santos; Hueder P. M. de Oliveira

How to cite this article

 

The fluorescent and solvatochromic properties of coumarin and its derivatives were studied to understand the excited state behavior of the molecule in solvent mixtures.

https://dx.doi.org/10.5935/0103-5053.20140051

Published online: March 14, 2014

 

Share PDF   Supplementary Information 

Total access: 3216


J. Braz. Chem. Soc. 2014, 25(5), 882-886

Niobium(V) Chloride as Catalyst in Diels-Alder Reaction of Furan Ring

Deborah A. dos Santos; Ludmila R. Rodrigues; Bruno H. Arpini; Valdemar Lacerda Jr.; Sandro J. Greco; Reginaldo B. dos Santos; Alvaro C. Neto; Wanderson Romao; Eustaquio V. R. de Castro

How to cite this article

 

The catalytic activity of NbCl5 was tested in a solvent-free Diels-Alder reaction with furan. Good yields were obtained in the catalyzed reaction using methyl acrylate as the dienophile. We achieved higher exo adduct rates in furan reactions with 2-chloro-acrilonitrile.

https://dx.doi.org/10.5935/0103-5053.20140052

Published online: March 14, 2014

 

Share PDF   Supplementary Information 

Total access: 3539


J. Braz. Chem. Soc. 2014, 25(5), 887-889

Microwave-Assisted Synthesis of N-Heterocycles and Their Evaluation Using an Acetylcholinesterase Immobilized Capillary Reactor

Diego P. Sangi; Julia L. Monteiro; Kenia L. Vanzolini; Quezia B. Cass; Marcio W. Paixao; Arlene G. Corrêa

How to cite this article

 

Transition-metal-free annulations of 1,1-bis(thiomethyl)-2-nitroethylene with hydroxyalkylamines or alkyldiamines providing imidazolidines, oxazolidines and benzoxazoles have been reported. These compounds were evaluated as acetylcholinesterase inhibitors by using an enzyme immobilized capillary reactor-tandem mass spectrometry.

https://dx.doi.org/10.5935/0103-5053.20140056

Published online: March 21, 2014

 

Share PDF   Supplementary Information 

Total access: 3027


J. Braz. Chem. Soc. 2014, 25(5), 890-897

Aggregation of Aluminum Phthalocyanine Hydroxide in Water/Ethanol Mixtures

Tayana M. Tsubone; Gustavo Braga; Bruno H. Vilsinski; Adriana P. Gerola; Noboru Hioka; André L. Tessaro; Wilker Caetano

How to cite this article

 

Aluminum phthalocyanine hydroxide is important in various fields. However, their high hydrophobicity promotes the aggregation in aqueous media. Studies have shown that aggregation process is complex in water/ethanol mixtures.

https://dx.doi.org/10.5935/0103-5053.20140058

Published online: March 25, 2014

 

Share PDF

Total access: 1798


J. Braz. Chem. Soc. 2014, 25(5), 898-906

A Micro-Flow-Batch Analyzer using Webcam for Spectrophotometric Determination of Ortho-phosphate and Aluminium(III) in Tap Water

Marcelo B. Lima; Stéfani I. E. Andrade; Maria S. Silva Neta; Inaka S. Barreto; Luciano F. Almeida; Mário César U. Araújo

How to cite this article

 

A micro-flow-batch analyzer (µFBA) using webcam for spectrophotometer determination of ortho-phosphate and aluminium(III) in tap water is proposed.

https://dx.doi.org/10.5935/0103-5053.20140059

Published online: March 28, 2014

 

Share PDF

Total access: 1838


J. Braz. Chem. Soc. 2014, 25(5), 907-912

Flavonoid Glycosides from Hosta longipes, Their Inhibition on NO Production, and Nerve Growth Factor Inductive Effects

Chung Sub Kim; Oh Wook Kwon; Sun Yeou Kim; Kang Ro Lee

How to cite this article

 

Flavonoid glycosides were isolated from the leaves of Hosta longipes and they showed moderate anti-neuroinflammatory activity by suppressing the release of NO in LPS-stimulated microglial cells and by inducing NGF secretion in C6 glioma cells.

https://dx.doi.org/10.5935/0103-5053.20140060

Published online: April 1, 2014

 

Share PDF   Supplementary Information 

Total access: 2933


J. Braz. Chem. Soc. 2014, 25(5), 913-919

Ultra-Fast Determination of Scopolamine, Orphenadrine, Mepyramine, Caffeine, Dipyrone, and Ascorbic Acid by Capillary Electrophoresis with Capacitively Coupled Contactless Conductivity Detection

Mariana C. Marra; Polyana L. Silva; Rodrigo A. A. Muñoz; Eduardo M. Richter

How to cite this article

 

Simultaneous determination of several active ingredients in less than 1 minute by capillary electrophoresis with capacitively coupled contactless conductivity detection (CE-C4D).

https://dx.doi.org/10.5935/0103-5053.20140061

Published online: April 1, 2014

 

Share PDF

Total access: 1641


J. Braz. Chem. Soc. 2014, 25(5), 920-927

Electrochemical Studies of Olmesartan Medoxomil and its Detection in Pharmaceutical Dosage Forms and Biological Fluids by Cathodic Adsorptive Stripping Voltammetric Method

Funda Öztürk; Semahat Küçükkolbaşı; Ceren Kaçar; Esma Kılıç

How to cite this article

 

This adsorptive character of the molecule was used to develop a new fully validated, rapid, selective and simple diferential pulse cathodic adsortive stripping voltammeric (DPCAdSV) method for the direct determination of OLME.

https://dx.doi.org/10.5935/0103-5053.20140063

Published online: April 4, 2014

 

Share PDF

Total access: 1768


J. Braz. Chem. Soc. 2014, 25(5), 928-934

SPR Biosensors Based on Gold and Silver Nanoparticle Multilayer Films

Antônio L. C. M. da Silva; Marony G. Gutierres; Anderson Thesing; Rafael M. Lattuada; Jacqueline Ferreira

How to cite this article

 

Surface binding detection for cysteamine-biotin-streptavidin system using a plasmonic sensor based on nanoparticle multilayer films.

https://dx.doi.org/10.5935/0103-5053.20140064

Published online: April 4, 2014

 

Share PDF

Total access: 1852


J. Braz. Chem. Soc. 2014, 25(5), 935-946

Conformational Analysis of 2,2'-arylmethylene bis(3-hydroxy-5,5-dimethyl-2-cyclohexene-1-one) by NMR and Molecular Modeling

Marcelle de S. Ferreira; José D. Figueroa-Villar

How to cite this article

 

Effects of R groups at the para and ortho position on the aromatic ring of 2,2'-arylmethylene-bis(3-hydroxy-5,5-dimethyl-2-cyclohexene-1-ones) determined by three-dimensional structure and conformational analysis using NMR and molecular modeling.

https://dx.doi.org/10.5935/0103-5053.20140065

Published online: April 4, 2014

 

Share PDF   Supplementary Information 

Total access: 2795


J. Braz. Chem. Soc. 2014, 25(5), 947-960

Corrosion Protection of Aluminum by Hydrophobization Using Nanoparticle Polymer Coatings Containing Plant Oil

Pieter Samyn

How to cite this article

 

A hydrophobic and anti-corrosion coating on aluminum substrates, including organic nanoparticles with vegetable oil, carnauba wax and latex, having a water contact angle of 109°.

https://dx.doi.org/10.5935/0103-5053.20140066

Published online: April 4, 2014

 

Share PDF   Supplementary Information 

Total access: 2741


J. Braz. Chem. Soc. 2014, 25(5), 961-968

Cathodic Voltammetric Detection of Diltiazem at a Bismuth Film Electrode: Application to Human Urine and Pharmaceuticals

Rita I. L. Catarino; M. Fernanda C. Leal; Adriana M. Pimenta; M. Renata S. Souto; Joana R. T. Lopes

How to cite this article

 

Novel application of BiFE for the determination of the calcium-channel blocker diltiazem by square wave cathodic voltammetry in human urine and pharmaceuticals (phosphate buffer; pH 7.4; 0.25 mol L-1).

https://dx.doi.org/10.5935/0103-5053.20140067

Published online: April 4, 2014

 

Share PDF

Total access: 1560


J. Braz. Chem. Soc. 2014, 25(5), 969-974

Non-Destructive NIR Spectrometric Cultivar Discrimination of Castor Seeds Resulting from Breeding Programs

Maria B. H. Santos; Adriano A. Gomes; Welma T. S. Vilar; Pollyne B. A. Almeida; Máira Milani; Márcia B. M. Nóbrega; Everaldo P. Medeiros; Roberto K. H. Galvao; Mário C. U. Araújo

How to cite this article

 

A non-destructive NIR spectrometric method is proposed for cultivar discrimination of castor seeds resulting from breeding programs.

https://dx.doi.org/10.5935/0103-5053.20140068

Published online: April 4, 2014

 

Share PDF

Total access: 1921


Short Report J. Braz. Chem. Soc. 2014, 25(5), 975-979

Tribromoisocyanuric Acid/Triphenylphosphine: a New System for Conversion of Alcohols into Alkyl Bromides

Vitor S. C. de Andrade; Marcio C. S. de Mattos

How to cite this article

 

This paper proposes a very convenient route for the preparation of primary and secondary alkyl bromides from alcohols under neutral conditions.

https://dx.doi.org/10.5935/0103-5053.20140055

Published online: March 18, 2014

 

Share PDF   Supplementary Information 

Total access: 3223


J. Braz. Chem. Soc. 2014, 25(5), 980-986

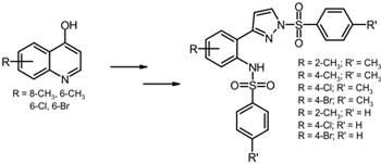
Synthesis and in vitro Evaluation of New Benzenesulfonamides as Antileishmanial Agents

Julio C. Borges; Adriana V. Carvalho; Alice M. R. Bernardino; César D. Oliveira; Luiz C. S. Pinheiro; Roberta K. F. Marra; Helena C. Castro; Solange M. S. V. Wardell; James L. Wardell; Veronica F. Amaral; Marilene M. Canto-Cavalheiro; Leonor L. Leon; Marcelo Genestra

How to cite this article

 

Seven new pyrazolyl benzenesulfonamide derivatives were prepared and evaluated against Leishmania amazonensis.

https://dx.doi.org/10.5935/0103-5053.20140062

Published online: April 4, 2014

 

Share PDF   Supplementary Information 

Total access: 2796

Online version ISSN 1678-4790 Printed version ISSN 0103-5053
Journal of the Brazilian Chemical Society
JBCS Editorial and Publishing Office
University of Campinas - UNICAMP
13083-970 Campinas-SP, Brazil

Free access

GN1