JBCS

13:26, Sat Nov 29

Open Access/APCs

First slide
Second slide
Third slide
Third slide
Fifth slide
Sixth slide

vol. 25, No. 6, 2014, p. 987-1149

 

The cover picture shows that after electrochemical oxidation a phenoxyl radical species is formed. The synthesis and evaluation of radical formation of other four iron complexes are also described. The main difference in the structure of the complexes is related with the diazocyclic units of the ligands: piperazine, homopiperazine, hexahydropyrimidine or hexahydropyrimidin-5-ol. Details are presented in the Article Iron Complexes Containing Electrochemically Active Diazocycle-bis(di-tert-butyl-phenol) Ligands by Luísa L. Mendes, Christiane Fernandes, Roberto W. Franco, Leonardo M. Lube, Sheng-Hsuan Wei, Joseph H. Reibenspies, Donald J. Darensbourg and Adolfo Horn Jr. on page 1050.


Cover Article
J. Braz. Chem. Soc. 2014, 25(6), 1050-1061

Iron Complexes Containing Electrochemically Active Diazocycle-bis(di-tert-butyl-phenol) Ligands

Luísa L. Mendes; Christiane Fernandes; Roberto W. A. Franco; Leonardo M. Lube; Sheng-Hsuan Wei; Joseph H. Reibenspies; Donald J. Darensbourg; Adolfo Horn Jr.

How to cite this article

The cover picture shows that after electrochemical oxidation a phenoxyl radical species is formed. The synthesis and evaluation of radical formation of other four iron complexes are also described. The main difference in the structure of the complexes is related with the diazocyclic units of the ligands: piperazine, homopiperazine, hexahydropyrimidine or hexahydropyrimidin-5-ol. Details are presented in the Article Iron Complexes Containing Electrochemically Active Diazocycle-bis(di-tert-butyl-phenol) Ligands by Luísa L. Mendes, Christiane Fernandes, Roberto W. Franco, Leonardo M. Lube, Sheng-Hsuan Wei, Joseph H. Reibenspies, Donald J. Darensbourg and Adolfo Horn Jr. on page 1050.

https://dx.doi.org/10.5935/0103-5053.20140078

Published online: April  16, 2014
Share PDF

Total access: 4298


Articles J. Braz. Chem. Soc. 2014, 25(6), 987-994

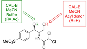
Regioselective Preparation of Thiamphenicol Esters Through Lipase-Catalyzed Processes

Marcos R. da Silva; Tasso G. C. Montenegro; Marcos C. de Mattos; Maria da Conceiçao F. de Oliveira; Telma L. G. de Lemos; Gonzalo de Gonzalo; Iván Lavandera; Vicente Gotor-Fernández; Vicente Gotor

How to cite this article

 

The lipase-catalyzed synthesis of thiamphenicol derivatives has been studied through complementary acylation and hydrolytic approaches, finding Candida antarctica lipase B as the most efficient biocatalyst for the selective modification of both thiamphenicol and thiamphenicol diacetate, respectively.

https://dx.doi.org/10.5935/0103-5053.20140069

Published online: April 8, 2014

 

Share PDF   Supplementary Information 

Total access: 3003


J. Braz. Chem. Soc. 2014, 25(6), 995-1001

Prenylated Flavonoids from Roots of Dahlstedtia glaziovii (Fabaceae)

Edione F. Canzi; Francisco A. Marques; Sirlei D. Teixeira; Ana Maria G. A. Tozzi; Marcos J. Silva; Renata Maria T. Duarte; Marta Cristina T. Duarte; Ana Lúcia T. G. Ruiz; Paula A. Monteiro; Joao E. de Carvalho; Beatriz Helena L. N. Sales Maia

How to cite this article

 

A phytochemical study of roots of Dahlstedtia glaziovii (Fabaceae) furnished a new dibenzoylmethane glaziovione, along with eighteen known compounds. The antiproliferative activity of the isolated dibenzoylmethanes and flavones were investigated, being the dibenzoylmethanes more active than flavones.

https://dx.doi.org/10.5935/0103-5053.20140071

Published online: April 8, 2014

 

Share PDF   Supplementary Information 

Total access: 2743


J. Braz. Chem. Soc. 2014, 25(6), 1002-1011

An Efficient Synthesis of Novel Bis-Chalcones and Bis-Pyrazolines in the Presence of Cellulose Sulfuric Acid as Biodegradable Catalyst under Solvent-Free Conditions

Zeba N. Siddiqui; Tabassum Khan

How to cite this article

 

Novel synthesis of bis-chalcones and bis-pyrazolines using cellulose sulfuric acid as highly efficient and biodegradable heterogeneous catalyst under solvent-free conditions.

https://dx.doi.org/10.5935/0103-5053.20140072

Published online: April 11, 2014

 

Share PDF   Supplementary Information 

Total access: 2965


J. Braz. Chem. Soc. 2014, 25(6), 1012-1020

Synthesis, Antibacterial, Anthelmintic and Anti-Inflammatory Studies of Novel Methylpyrimidine Sulfonyl Piperazine Derivatives

Nadigar R. Mohan; Swamy Sreenivasa; Karikere E. Manojkumar; Tadimety M. C. Rao; Boreddy S. Thippeswamy; Parameshwar A. Suchetan

How to cite this article

 

Methylpyrimidine sulfonyl piperazine 3d optimized structures. Substituted sulfonyl piperazines with pyrimidine, piperazine and sulfonamide functionality, a combination of three pharmacologically important moieties, was synthesized and their antibacterial, anthelmintic and anti-inflammatory activities were evaluated.

https://dx.doi.org/10.5935/0103-5053.20140073

Published online: April 11, 2014

 

Share PDF   Supplementary Information 

Total access: 3076


J. Braz. Chem. Soc. 2014, 25(6), 1021-1028

Theoretical Studies of the Insertion of Carbenes in the Zeolite Framework: Modification of the Acidity and Creation of Chiral Sites

Maria Beatriz S. Mota; Nilton Rosenbach Jr.; Claudio J. A. Mota

How to cite this article

 

Calculations show that insertion of carbenes into the framework structure of zeolite Y is thermodynamically favored, affecting the acid strength and creating chiral sites in the structure.

https://dx.doi.org/10.5935/0103-5053.20140074

Published online: April 11, 2014

 

Share PDF

Total access: 1611


J. Braz. Chem. Soc. 2014, 25(6), 1029-1035

Pyranoflavylium Derivatives Extracted from Wine Grape as Photosensitizers in Solar Cells

Christiane M. Santos; Bárbara Gomes; Luís M. Gonçalves; Joana Oliveira; Sandra Rocha; Manuel Coelho; José A. Rodrigues; Victor Freitas; Helena Aguilar

How to cite this article

 

Dyes obtained from grapes were used as sensitizers in dye-sensitized solar cells with efficiencies up to 0.08%. Moreover, the direct use of Port wine drops curiously resulted in an efficiency of 0.025%.

https://dx.doi.org/10.5935/0103-5053.20140075

Published online: April 11, 2014

 

Share PDF

Total access: 2047


J. Braz. Chem. Soc. 2014, 25(6), 1036-1040

Phytate Decreases Oxidative Damage Caused by Labile Forms of Iron in Solution, Blood Plasma and in HeLa Cells

Frederico A. Schleh; Orlando Chiarelli-Neto; Mayara N. Fontes; Renato Najjar; Breno P. Espósito

How to cite this article

 

Phytate is a natural product that was found to be antioxidant in models of iron-overload disorders.

https://dx.doi.org/10.5935/0103-5053.20140076

Published online: April 11, 2014

 

Share PDF

Total access: 1805


J. Braz. Chem. Soc. 2014, 25(6), 1041-1049

Amphiphilic Planar Membranes in Ionic Equilibrium: a Study of pH Position-Dependent Values

Guilherme V. Bossa; Davi R. Ratero; Augusto A. Neto; Alfred Fahr; Tereza P. Souza

How to cite this article

 

A membrane with ionizable groups is modeled as a plan with a negative charge density. Results for dissociation degree and pH variation with the ionic strength are presented for the Poisson-Boltzmann equation (PB) and its linear form (LPB).

https://dx.doi.org/10.5935/0103-5053.20140077

Published online: April 16, 2014

 

Share PDF

Total access: 1631


J. Braz. Chem. Soc. 2014, 25(6), 1050-1061

Iron Complexes Containing Electrochemically Active Diazocycle-bis(di-tert-butyl-phenol) Ligands

Luísa L. Mendes; Christiane Fernandes; Roberto W. A. Franco; Leonardo M. Lube; Sheng-Hsuan Wei; Joseph H. Reibenspies; Donald J. Darensbourg; Adolfo Horn Jr.

How to cite this article

 

Four mononuclear and one dinuclear iron(III) compounds were synthesized employing four different ligands, which are distinct with respect to the diazocycle backbone. Electrochemical data showed that the compounds show ligand-centered redox processes. The formation of phenoxyl radical was confirmed by EPR and UV-Vis spectroscopies for complexes [FeL2Cl], [Fe2(L4)(HL4)Cl] and [FeL4].

https://dx.doi.org/10.5935/0103-5053.20140078

Published online: April 16, 2014

 

Share PDF   Supplementary Information 

Total access: 4298


J. Braz. Chem. Soc. 2014, 25(6), 1062-1070

Determination of Rare Earth Elements in Spent Catalyst Samples from Oil Refinery by Dynamic Reaction Cell Inductively Coupled Plasma Mass Spectrometry

Jessee S. A. Silva; Tatiane de A. Maranhao; Fernando J. S. de Oliveira; Adilson J. Curtius; Vera L. A. Frescura

How to cite this article

 

Fluid catalytic cracking (FCC) spent catalyst as a source of rare earth elements (REE) - an interesting application in agreement with the recycling-recovery concept.

https://dx.doi.org/10.5935/0103-5053.20140079

Published online: April 16, 2014

 

Share PDF

Total access: 1728


J. Braz. Chem. Soc. 2014, 25(6), 1071-1077

Using of a Graphite-Polyurethane Composite Electrode Modified with a Schiff Base as a Bio-Inspired Sensor in the Dopamine Determination

Sidney X. dos Santos; Éder T. G. Cavalheiro

How to cite this article

 

Response in different dopamine concentrations and analytical curve.

https://dx.doi.org/10.5935/0103-5053.20140080

Published online: April 16, 2014

 

Share PDF   Supplementary Information 

Total access: 2883


J. Braz. Chem. Soc. 2014, 25(6), 1078-1085

Preconcentration and Determination of Cadmium in Water and Food Samples by in situ Surfactant-Based Solid-Phase Extraction and Flame Atomic Absorption Spectrometry

Mohammad Reza Jamali; Afsaneh Boromandi

How to cite this article

 

In situ surfactant-based solid-phase extraction (ISS-SPE) is proposed as a preconcentration procedure for the determination of cadmium in water and food samples by flame atomic absorption spectrometry. From left to right: sample solution; injection of NaPF6 solution; end of injection and enlarged view of sedimented phase after centrifugation.

https://dx.doi.org/10.5935/0103-5053.20140082

Published online: April 23, 2014

 

Share PDF

Total access: 1688


J. Braz. Chem. Soc. 2014, 25(6), 1086-1090

Thin Film-XRF Determination of Uranium Following Thin-Film Solid Phase Extraction

Jalal Hassan; Seyed M. Hosseini; Shahla Mozaffari; Babak Jahanparast; Mohammad H. Karbasi

How to cite this article

 

A sensitive method based on the preconcentration of uranium on modified filter paper (thin-film solid phase extraction) has been developed to determinate this element in water and soil samples by X-ray fluorescence.

https://dx.doi.org/10.5935/0103-5053.20140083

Published online: April 25, 2014

 

Share PDF

Total access: 1543


J. Braz. Chem. Soc. 2014, 25(6), 1091-1100

ZnO Prepared by Solution Combustion Synthesis: Characterization and Application as Photoanode

Adriana C. Lucilha; Renata Afonso; Paulo R. C. Silva; Luiz F. Lepre; Rômulo A. Ando; Luiz H. Dall'Antonia

How to cite this article

 

ZnO photoelectrodes produced by combustion synthesis process promote the discoloration of methylene blue dye when irradiated with UV light.

https://dx.doi.org/10.5935/0103-5053.20140085

Published online: April 25, 2014

 

Share PDF

Total access: 1800


J. Braz. Chem. Soc. 2014, 25(6), 1101-1107

International Comparisons for Coulometric Determinations of Dichromate Used to Develop Certified Reference Material for Oxidation-Reduction Titration

Paulo P. Borges; Wiler B. da Silva Junior

How to cite this article

 

Characterization process for certifying K2Cr2O7 as certified reference material (CRM) by precise constant-current coulometry: from a candidate CRM until a certified value.

https://dx.doi.org/10.5935/0103-5053.20140086

Published online: April 25, 2014

 

Share PDF

Total access: 1704


J. Braz. Chem. Soc. 2014, 25(6), 1108-1115

Analysis of Carotenoids, α-Tocopherol, Sterols and Phenolic Compounds from White Bread Enriched with Chia (Salvia hispanica L.) Seeds and Carrot (Daucus carota L.) Leaves

Swami A. Maruyama; Thiago Claus; Lucas U. R. Chiavelli; Janksyn Bertozzi; Eduardo J. Pilau; Nilson E. de Souza; Jesuí V. Visentainer; Sandra T. M. Gomes; Makoto Matsushita

How to cite this article

 

A Box-Behnken design and correlation studies were applied in order to obtain more information about how specific antioxidants affect the total antioxidant activity and the degree of forced oxidation in white breads with chia seeds and carrot leaves.

https://dx.doi.org/10.5935/0103-5053.20140087

Published online: April 25, 2014

 

Share PDF

Total access: 1869


J. Braz. Chem. Soc. 2014, 25(6), 1116-1123

Vanadium-Binding Protein in Marine Plankton from Tropical South Atlantic Ocean

Vinicius T. Kütter; Maria Montes-Bayón; Silvia M. Sella; Alfredo Sanz-Medel; Emmanoel V. Silva-Filho

How to cite this article

 

Coupling of anionic exchange chromatography (AEC) with matrix-assisted laser desorption-ionization-time of flight (MALDI-TOF) in order to determine the molecular mass of V-binding protein(s) in phytoplankton (> 64 µm) from Cabo Frio.

https://dx.doi.org/10.5935/0103-5053.20140088

Published online: April 25, 2014

 

Share PDF   Supplementary Information 

Total access: 2848


J. Braz. Chem. Soc. 2014, 25(6), 1124-1134

Release of Vitamin B12 and Diclofenac Potassium from N,N-dimethylacrylamide-modified Arabic Gum Hydrogels - the Partition-Diffusion Model

Ricardo Bossoni; André Riul; Artur J. M. Valente; Adley F. Rubira; Edvani C. Muniz

How to cite this article

 

3D hydrogel matrices based on GAm (chemically modified Arabic Gum) and DAAm (dimethyl acrylamide) were prepared on GAm:DMAAm rate 60:40 w:w. Essays of solutes (VitB12 and DFK) release from 3D matrices were performed. The partition-diffusion model allows predicting whole profile of release in any case. It was verified that α/kR ratio is not volume dependent, at a certain temperature, but the temperature strongly influences such ratio for both solutes.

https://dx.doi.org/10.5935/0103-5053.20140090

Published online: April 29, 2014

 

Share PDF

Total access: 1697


Short Report J. Braz. Chem. Soc. 2014, 25(6), 1135-1142

1H HR-MAS NMR and S180 Cells: Metabolite Assignment and Evaluation of Pulse Sequence

Aline L. de Oliveira; Bruno César B. Martinelli; Luciano M. Liao; Flávia C. Pereira; Elisangela P. Silveira-Lacerda; Glaucia B. Alcantara

How to cite this article

 

S180 cells, a model of tumor murine for testing drug candidates with potential anticancer activity, were studied by HR-MAS NMR for establishing optimal pulse sequence and metabolite assignment.

https://dx.doi.org/10.5935/0103-5053.20140070

Published online: April 8, 2014

 

Share PDF

Total access: 1611


J. Braz. Chem. Soc. 2014, 25(6), 1143-1149

Ischemic Stroke Progress Evaluation by 31P NMR-Based Metabonomic of Human Serum

Caroline W. P. S. Grandizoli; Marcos C. Lange; Felipe T. M. Novak; Francinete R. Campos; Andersson Barison

How to cite this article

 

In this work, 31P NMR-based metabonomic of human blood serum allowed to discriminate ischemic stroke patients from health individuals and gives insights over the mechanism triggered by ischemic stroke.

https://dx.doi.org/10.5935/0103-5053.20140084

Published online: April 25, 2014

 

Share PDF

Total access: 1746

Online version ISSN 1678-4790 Printed version ISSN 0103-5053
Journal of the Brazilian Chemical Society
JBCS Editorial and Publishing Office
University of Campinas - UNICAMP
13083-970 Campinas-SP, Brazil

Free access

GN1