JBCS

14:38, Sat Nov 29

Open Access/APCs

First slide
Second slide
Third slide
Third slide
Fifth slide
Sixth slide

vol. 25, No. 8, 2014, p. 1317-1535

 

When irradiated in clear solutions PIC has a very low fluorescence yield due to the internal conversion deactivation by the movement of the phenyl rings. In the presence of Alginate, the macromolecule clips the rings in a rigid position, avoiding rotation and promoting a much stronger emission. Details are presented in the Article Behaviour of Pseudoisocyanine in Macromolecular and Hydrotropic Solutions by Lukese R. Menegussi, Silvano R. Valandro, Alessandra L. Poli, Carla C. Schmitt, Miguel G. Neumann on page 1455.


Cover Article
J. Braz. Chem. Soc. 2014, 25(8), 1455-1461

Behaviour of Pseudoisocyanine in Macromolecular and Hydrotropic Solutions

Lukese R. Menegussi; Silvano R. Valandro; Alessandra L. Poli; Carla C. Schmitt; Miguel G. Neumann

How to cite this article

When irradiated in clear solutions PIC has a very low fluorescence yield due to the internal conversion deactivation by the movement of the phenyl rings. In the presence of Alginate, the macromolecule clips the rings in a rigid position, avoiding rotation and promoting a much stronger emission. Details are presented in the Article Behaviour of Pseudoisocyanine in Macromolecular and Hydrotropic Solutions by Lukese R. Menegussi, Silvano R. Valandro, Alessandra L. Poli, Carla C. Schmitt, Miguel G. Neumann on page 1455.

https://dx.doi.org/10.5935/0103-5053.20140128

Published online: June  3, 2014
Share PDF

Total access: 3172


Articles J. Braz. Chem. Soc. 2014, 25(8), 1317-1325

Carbon-Supported PtSnCu, PtCu and PtSn Electrocatalysts for Ethanol Oxidation in Acid Media

Monah M. Magalhaes; Flavio Colmati

How to cite this article

 

Carbon supported ternary PtSnCu (1:1:1) catalysts were synthesized by reduction of the metal precursors in ethanol reflux and characterized by EDX, XRD and TEM analyses. Their activity for ethanol oxidation was compared with that of binary PtSn/C and PtCu/C prepared with the same method. A drastic decrease of the onset potential for ethanol electrochemical reaction on PtSnCu was observed.

https://dx.doi.org/10.5935/0103-5053.20140111

Published online: May 23, 2014

 

Share PDF

Total access: 2469


J. Braz. Chem. Soc. 2014, 25(8), 1326-1330

Chemical Composition and Multivariate Analysis of the Volatile Oil of Dalbergia frutescens (Vell.) Britton (Fabaceae)

Caroline E. Mendes; Adriana Flach; Luiz A. M. A. da Costa; Rosiane B. N. Denardin; Neusa F. de Moura

How to cite this article

 

Previous studies of Dalbergia frutescens have shown that the chemical composition of the essential oil is strongly influenced by cloudiness, rainfall, ambient temperature, and insolation. The present work demonstrated that the main compounds detected in this essential oil were strongly influenced by seasonality, mainly due to the levels detected of β-ionone and β-damascenone.

https://dx.doi.org/10.5935/0103-5053.20140112

Published online: May 23, 2014

 

Share PDF   Supplementary Information 

Total access: 3004


J. Braz. Chem. Soc. 2014, 25(8), 1331-1337

Microwave-Assisted Synthesis and Antileishmanial Activity of 3-methoxycarbonyl-γ-butyrolactone Derivatives

Marcos F. Pinatto-Botelho; Antonio E. M. Crotti; Julia M. de Souza; Lizandra G. Magalhaes; Paulo M. Donate

How to cite this article

 

This paper describes the microwave-assisted synthesis of ten 3-methoxycarbonyl-γ-butyrolactone derivatives and the evaluation of their in vitro antileishmanial activity against promastigote forms of Leishmania amazonensis.

https://dx.doi.org/10.5935/0103-5053.20140113

Published online: May 23, 2014

 

Share PDF   Supplementary Information 

Total access: 3197


J. Braz. Chem. Soc. 2014, 25(8), 1338-1345

Pentacyclic Triterpenes from Branches of Maytenus robusta and in vitro Cytotoxic Property Against 4T1 Cancer Cells

Grasiely Faria de Sousa; Daniel Crístian Ferreira Soares; Wagner da Nova Mussel; Nana Flora Elias Pompeu; Grácia Divina de Fátima Silva; Sidney Augusto Vieira Filho; Lucienir Pains Duarte

How to cite this article

 

Two new triterpenes, 3,16-dioxo-29-hydroxyfriedelane and 3-oxo-16β,29-dihydroxyfriedelane were isolated from branches of Maytenus robusta and their powder crystal structures were established. The in vitro cytotoxicity of these compounds and other four triterpenes was evaluated against 4T1 cancer cells.

https://dx.doi.org/10.5935/0103-5053.20140114

Published online: May 23, 2014

 

Share PDF   Supplementary Information 

Total access: 3177


J. Braz. Chem. Soc. 2014, 25(8), 1346-1354

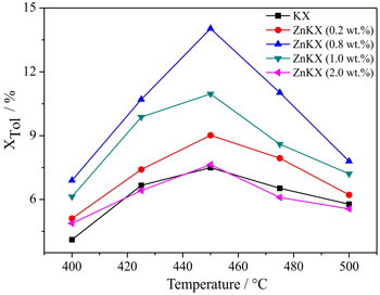
Side-Chain Alkylation of Toluene with Methanol over Zn-Modified KX Zeolite

Lanlan Song; Yue Yu; Zhenrong Li; Shaoqing Guo; Liangfu Zhao; Wen Li

How to cite this article

 

The effect of Zn on side-chain alkylation of toluene with methanol over KX zeolite was carried out in a fixed-bed flow reactor under atmospheric pressure. The results showed that Zn addition had an excellent promoting effect on the side-chain alkylation of toluene, and the conversion of toluene over Zn-modified KX with a content of 0.8 wt.% was almost double that of KX at 450 ºC.

https://dx.doi.org/10.5935/0103-5053.20140116

Published online: May 27, 2014

 

Share PDF

Total access: 1753


J. Braz. Chem. Soc. 2014, 25(8), 1355-1364

Multiresidue Determination of Pesticide Residues in Honey by Modified QuEChERS Method and Gas Chromatography with Electron Capture Detection

Débora Orso; Manoel L. Martins; Filipe F. Donato; Tiele M. Rizzetti; Magali Kemmerich; Martha B. Adaime; Renato Zanella

How to cite this article

 

The production and consumption of honey have increased continuously, however, there is great concern about the contamination of honey by pesticides from crop fields or treatment of hives. Thus, to evaluate this potential risk a method for the determination of pesticide residues in honey by modified QuEChERS and gas chromatography with electron capture detection (GC-ECD) has been developed and validated.

https://dx.doi.org/10.5935/0103-5053.20140117

Published online: May 27, 2014

 

Share PDF

Total access: 1809


J. Braz. Chem. Soc. 2014, 25(8), 1365-1371

Catalytic Dehydration of Ethanol to Ethylene over Alkali-Treated HZSM-5 Zeolites

Qingtao Sheng; Shaoqing Guo; Kaicheng Ling; Liangfu Zhao

How to cite this article

 

The HZSM-5 catalyst with 0.4 mol L−1 NaOH shows good catalytic performance for ethanol dehydration to ethylene. Both the changes in the acidic properties and in the porous structure contribute to the improvement in the catalytic performance.

https://dx.doi.org/10.5935/0103-5053.20140118

Published online: May 27, 2014

 

Share PDF   Supplementary Information 

Total access: 3072


J. Braz. Chem. Soc. 2014, 25(8), 1372-1379

Photochemical Degradation of Diesel Oil in Water: a Comparative Study of Different Photochemical Oxidation Processes and their Degradation By-Products

Morgana Frena; Cristiane R. Oliveira; Cesar A. da Silva; Luiz A. S. Madureira; Débora A. Azevedo

How to cite this article

 

A comparative study of different photochemical oxidation processes and a detailed characterization of the by-products of diesel oil degradation were performed using comprehensive two-dimensional gas chromatography coupled to time-of-flight mass spectrometry (GCxGC-TOFMS).

https://dx.doi.org/10.5935/0103-5053.20140119

Published online: May 27, 2014

 

Share PDF   Supplementary Information 

Total access: 3323


J. Braz. Chem. Soc. 2014, 25(8), 1380-1390

Historical Evolution of Organic Matter Accumulation in a Coastal Bay in the SW Atlantic, Brazil: Use of Sterols and n-Alcohols as Molecular Markers

Eduardo C. Richard; Cláudia Hamacher; Cássia O. Farias; Marina P. Dore; Natália C. M. Ribeiro; Michelle A. Passos; Plinio F. Martinho; José M. Godoy; Renato S. Carreira

How to cite this article

 

Sterols (e.g., cholesterol) and n-alcohols in four dated sediment cores were used to assess the sources of organic matter to a well preserved spot in the SW Brazilian coast.

https://dx.doi.org/10.5935/0103-5053.20140120

Published online: May 27, 2014

 

Share PDF   Supplementary Information 

Total access: 2772


J. Braz. Chem. Soc. 2014, 25(8), 1391-1398

CO and Ethanol Electro-Oxidation on Pt-Rh/C

Alfredo Calderón-Cárdenas; John E. Ortiz-Restrepo; Nelson D. Mancilla-Valencia; Gerardo A. Torres-Rodriguez; Fabio H. B. Lima; Alberto Bolaños-Rivera; Ernesto R. Gonzalez; William H. Lizcano-Valbuena

How to cite this article

 

Glaucomas are a family of "silent diseases". In this work, precise, rapid and extraction-free square-wave adsorptive cathodic stripping voltammetry method has been developed for trace quantitation of anti-glaucoma drug levobunolol HCl in commercial formulation (ophthalmologic drops) and human serum. The method can be recommended for quantification of levobunolol HCl in quality control and clinical laboratories.

https://dx.doi.org/10.5935/0103-5053.20140121

Published online: May 27, 2014

 

Share PDF

Total access: 2165


J. Braz. Chem. Soc. 2014, 25(8), 1399-1406

Flow Injection Analysis with Amperometric Detection for Morpholine Determination in Corrosion Inhibitors

Sanair M. de Oliveira; Angelo Siguemura; Hugo O. Lima; Flávia C. de Souza; Alvaro A. O. Magalhaes; Roberta M. Toledo; Eliane D'Elia

How to cite this article

 

In this work, an electrochemical method is proposed using flow injection analysis and amperometric detection with screen-printed carbon electrodes for morpholine determination which is present in commercial corrosion inhibitors.

https://dx.doi.org/10.5935/0103-5053.20140122

Published online: May 30, 2014

 

Share PDF

Total access: 1696


J. Braz. Chem. Soc. 2014, 25(8), 1407-1418

Electrochemical Reduction and Stripping Voltammetric Determination of the Anti-Glaucoma Drug Levobunolol HCl in Formulation and Human Serum at the Mercury Electrode

Mohamed M. Ghoneim; Magdi K. Abdel-Azzem; Hanaa S. El-Desoky; Ahmed M. Ghoneim; Ahmed E. Khattab

How to cite this article

 

Glaucomas are a family of "silent diseases". In this work, precise, rapid and extraction-free square-wave adsorptive cathodic stripping voltammetry method has been developed for trace quantitation of anti-glaucoma drug levobunolol HCl in commercial formulation (ophthalmologic drops) and human serum. The method can be recommended for quantification of levobunolol HCl in quality control and clinical laboratories.

https://dx.doi.org/10.5935/0103-5053.20140123

Published online: May 30, 2014

 

Share PDF

Total access: 1686


J. Braz. Chem. Soc. 2014, 25(8), 1419-1430

Simultaneous Determination of Different Classes of Pesticides in Breast Milk by Solid-Phase Dispersion and GC/ECD

Danielly C. A. Palma; Carolina Lourencetti; Marli E. Uecker; Paulo R. B. Mello; Wanderlei A. Pignati; Eliana F. G. C. Dores

How to cite this article

 

A variety of solvent extractors were assessed to determine different classes of pesticides in human milk by solid-phase dispersion and GC/ECD. The multiresidue analytical method proposed combines extraction and clean up in a single step and quantification is performed by standard addition to avoid the matrix effect.

https://dx.doi.org/10.5935/0103-5053.20140124

Published online: May 30, 2014

 

Share PDF

Total access: 1653


J. Braz. Chem. Soc. 2014, 25(8), 1431-1438

Influence of Ripening Stages of Tomatoes in the Analysis of Pesticides by Gas Chromatography

Flaviane A. de Sousa; Antônio A. Neves; Maria Eliana L. R. de Queiroz; Fernanda F. Heleno; Reinaldo F. Teófilo; Gevany P. de Pinho

How to cite this article

 

Some parameters of tomato fruit were evaluated during the ripening of fruits. These data were correlated with the observed matrix effect on the analysis of five pesticides in organic extracts obtained in the SLE-PLT by GC-ECD.

https://dx.doi.org/10.5935/0103-5053.20140125

Published online: May 30, 2014

 

Share PDF

Total access: 1832


J. Braz. Chem. Soc. 2014, 25(8), 1439-1445

Efficient Synthesis of New Biheterocyclic 5-[(5-Trifluoromethyl-5-hydroxy-4,5-dihydro-1H-pyrazol-1-yl)-1-propan-1-one-3-yl]-2-methyl-7-trifluoromethylpyrazolo[1,5-α]pyrimidines

Alex F. C. Flores; Pauline F. Rosales; Juliana L. Malavolta; Darlene C. Flores

How to cite this article

 

New propionyl-spaced biheterocycles 5-[(5-trifluoromethyl-5-hydroxy-4,5-dihydro-1H-pyrazol-1-yl)-1-propan-1-one-3-yl]-2-methyl-7-trifluoromethylpyrazolo[1,5-α]pyrimidines were synthesized by two successive regiospecific cyclocondensations from methyl 7,7,7-trifluoro-4-methoxy-6-oxo-4-heptenoate.

https://dx.doi.org/10.5935/0103-5053.20140126

Published online: May 30, 2014

 

Share PDF   Supplementary Information 

Total access: 2561


J. Braz. Chem. Soc. 2014, 25(8), 1446-1454

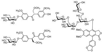
New Phenolic Glycosides from Phyllanthus cochinchinensis

Jian-Qiang Zhao; Yan-Ming Wang; Jun-Jiang Lv; Hong-Tao Zhu; Dong Wang; Chong-Ren Yang; Min Xu; Ying-Jun Zhang

How to cite this article

 

Three new phenolic glycosides, phyllanthuosides A-C, together with twelve known compounds were isolated from the whole plants of Phyllanthus cochinchinensis.

https://dx.doi.org/10.5935/0103-5053.20140127

Published online: June 3, 2014

 

Share PDF   Supplementary Information 

Total access: 2897


J. Braz. Chem. Soc. 2014, 25(8), 1455-1461

Behaviour of Pseudoisocyanine in Macromolecular and Hydrotropic Solutions

Lukese R. Menegussi; Silvano R. Valandro; Alessandra L. Poli; Carla C. Schmitt; Miguel G. Neumann

How to cite this article

 

The behaviour of PIC in hydrotropes and alginate was studied by emission spectroscopy. The emission due to J-aggregates (570 nm) increases with the amount of alginate in PIC solutions up to 0.2 g L-1. At higher alginate concentrations, this emission decreases. Effects are due to the redistribution of the dye over the alginate anionic sites.

https://dx.doi.org/10.5935/0103-5053.20140128

Published online: June 3, 2014

 

Share PDF

Total access: 3172


J. Braz. Chem. Soc. 2014, 25(8), 1462-1471

Composite PHB/Chitosan Microparticles Obtained by Spray Drying: Effect of Chitosan Concentration and Crosslinking Agents on Drug Relesase

Luanda C. Lins; Giovana C. Bazzo; Pedro L. M. Barreto; Alfredo T. N. Pires

How to cite this article

 

The polymer poly(3-hydroxybutyrate) (PHB) and the drug were dissolved in the organic solvent and then emulsified in aqueous solution. To obtain the composite microparticles, we used the microparticles of PHB/ketoprofen (KET), adding them in a solution of 1, 1.5 and 2.0% chitosan (m/v). These were then subjected to spray drying when placed in the spray dryer apparatus. The surface film was modified using glutaraldehyde or genipin as the crosslinking agent.

https://dx.doi.org/10.5935/0103-5053.20140129

Published online: June 3, 2014

 

Share PDF

Total access: 1802


J. Braz. Chem. Soc. 2014, 25(8), 1472-1483

Quantification of Harman Alkaloids in Sour Passion Fruit Pulp and Seeds by a Novel Dual SBSE-LC/Flu (Stir Bar Sorptive Extraction-Liquid Chromatography with Fluorescence Detector) Method

Cíntia A. M. Pereira; Thyago R. Rodrigues; Janete H. Yariwake

How to cite this article

 

A method for the quantification of the alkaloids harmane and harmine in sour passion fruit pulp and seeds by dual stir-bar sorptive extraction and high performance liquid chromatography with fluorescence detection (SBSE-LC/Flu) is described.

https://dx.doi.org/10.5935/0103-5053.20140130

Published online: June 6, 2014

 

Share PDF

Total access: 2109


J. Braz. Chem. Soc. 2014, 25(8), 1484-1492

Performance and Kinetic-Mechanistic Aspects in the Electrochemical Degradation of Sulfadiazine on Boron-Doped Diamond Electrode

Kamila P. de Amorim; Lincoln L. Romualdo; Leonardo S. Andrade

How to cite this article

 

Under optimized conditions, SDZ was virtually all mineralized and the intermediate compounds were properly identified by GC-MS. An oxidation pathway of the SDZ electrochemical degradation was proposed.

https://dx.doi.org/10.5935/0103-5053.20140131

Published online: June 6, 2014

 

Share PDF   Supplementary Information 

Total access: 29268


J. Braz. Chem. Soc. 2014, 25(8), 1493-1503

Synthesis of New Family of Thiazoline and Thiazole Esters and Investigation of their Thermal Properties

Juliana M. F. M. Schneider; Eric S. Sales; Paolo R. Livotto; Paulo H. Schneider; Aloir A. Merlo

How to cite this article

 

Thiazole esters display smectic A mesophase (SmA) for compounds where the variable connection is derived from (perfluoralkyl)alkyl esters.

https://dx.doi.org/10.5935/0103-5053.20140132

Published online: June 6, 2014

 

Share PDF   Supplementary Information 

Total access: 3176


J. Braz. Chem. Soc. 2014, 25(8), 1504-1511

Chemotaxonomy of Marsypianthes Mart. ex Benth. Based on Essential Oil Variability

Márcia Y. Hashimoto; Deomar P. Costa; Maria T. Faria; Heleno D. Ferreira; Suzana C. Santos; José R. Paula; José C. Seraphin; Pedro H. Ferri

How to cite this article

 

Based on essential oil variability, seventeen populations of Marsypianthes (Lamiaceae) may be represented by two chemical sections, one containing M. chamaedrys/M. montana (A) and the other containing M. burchellii (B). M. foliolosa showed greater complexity and occurred in both sections.

https://dx.doi.org/10.5935/0103-5053.20140133

Published online: June 6, 2014

 

Share PDF   Supplementary Information 

Total access: 2944


J. Braz. Chem. Soc. 2014, 25(8), 1512-1519

Vortex-Assisted Hollow-Fiber Liquid-Phase Microextraction Coupled with High Performance Liquid Chromatography for the Determination of Three Synthetic Endocrine Disrupting Compounds in Milk

Yingtang Li; Guorong Yang; Jiao Zhao; Yaling Yang

How to cite this article

 

Hollow-fiber liquid-phase microextraction of three kinds of synthetic endocrine disrupting compounds in milk, then detected by high-performance liquid chromatography (HPLC).

https://dx.doi.org/10.5935/0103-5053.20140134

Published online: June 10, 2014

 

Share PDF

Total access: 1749


J. Braz. Chem. Soc. 2014, 25(8), 1520-1527

A Simple and Efficient Method Employing Solid-Liquid Extraction with Low‑Temperature Partitioning for the Determination/Monitoring of Pesticide Residues in Strawberries by GC/ECD

Tiago de J. Guedes; Fernanda F. Heleno; Marina de O. Amaral; Nísia A. V. D. Pinto; Maria Eliana L. R. de Queiroz; Daniele F. da Silva; Antônio A. da Silva

How to cite this article

 

The presence of pesticides was determined in samples of strawberries using solid-liquid extraction with low-temperature partitioning (SLE/LTP) and gas chromatography-electron capture detection (GC/ECD). Residues of azoxystrobin, difenoconazole, iprodione and chlorothalonil were found.

https://dx.doi.org/10.5935/0103-5053.20140135

Published online: June 10, 2014

 

Share PDF

Total access: 1655


J. Braz. Chem. Soc. 2014, 25(8), 1528-1535

Spectroscopic, Electrochemical, Magnetic and Structural Investigations of Dimanganese-(II/II) and Mixed-Valence-(II/III)-Tetraiminodiphenolate Complexes

Julio C. da Rocha; Giordano Poneti; Janaina G. Ferreira; Ronny R. Ribeiro; Fábio S. Nunes

How to cite this article

 

Spectroelectrochemistry of [MnII2(tidf)(OAc)(ClO4)(MeOH)] (tidf = a Robson type macrocycle detected the stabilization of mixed-valence Mn2(II/III) species in solution. Crystallization of [MnII2(tidf)(OAc)(ClO4)(MeOH)] produced an uncommon trimanganese (III/II/III)-complex not observed in solution.

https://dx.doi.org/10.5935/0103-5053.20140136

Published online: June 10, 2014

 

Share PDF   Supplementary Information 

Total access: 4473

Online version ISSN 1678-4790 Printed version ISSN 0103-5053
Journal of the Brazilian Chemical Society
JBCS Editorial and Publishing Office
University of Campinas - UNICAMP
13083-970 Campinas-SP, Brazil

Free access

GN1