JBCS

12:56, Sat Nov 29

Open Access/APCs

First slide
Second slide
Third slide
Third slide
Fifth slide
Sixth slide

vol. 26, No. 1, 2015, p. 1-208

 

New Times Ahead - Let us Strengthen our Values

The first editorial of last year was entitled "Good Times Ahead - Enjoy the New Year!"1 Looking back, we may say that 2014 was another year of hard work and remarkable achievements. We celebrated our 25th Anniversary in 2014 and, as stated in a recent editorial, from its beginning, "the secret of JBCS has always been originality,..." and we certainly agree that "the JBCS is a watershed in Brazilian Chemistry".2
Another landmark in July 2014 was the celebration of the first year of use of the online submission platform ScholarOneTM by the JBCS. Thanks to all authors and reviewers, who contributed to the success of this new phase of the JBCS, we had a record number of submissions in 2014 with about 900 submissions till December 10th.

(Read more at Editorial)


Cover Article
J. Braz. Chem. Soc. 2015, 26(1), 117-123

A3-Coupling Reaction as a Strategy Towards the Synthesis of Alkaloids

Rafaela C. Carmona; Edison P. Wendler; George H. Sakae; Joao V. Comasseto; Alcindo A. Dos Santos

How to cite this article

Copper-catalyzed A3-coupling reaction of commercial available Amines, Aldehydes and Alkynols led to structurally advanced hydroxy-propargylamines that were used in the three-step synthesis of three natural alkaloids. Details are presented in the Article A3-Coupling Reaction as a Strategy Towards the Synthesis of Alkaloids by Rafaela C. Carmona, Edison P. Wendler, George H. Sakae, Joao V. Comasseto and Alcindo A. Dos Santos on page 117.

https://dx.doi.org/10.5935/0103-5053.20140223

Published online: September  26, 2014
Share PDF

Total access: 3855


Editorial J. Braz. Chem. Soc. 2015, 26(1), 1-2

New Times Ahead - Let us Strengthen our Values

Joaquim A. Nóbrega; Watson Loh

How to cite this article

 

https://dx.doi.org/10.5935/0103-5053.20140295

Total access: 3061


Articles J. Braz. Chem. Soc. 2015, 26(1), 3-8

Alkaloids from Acorus gramineus Rhizomes and their Biological Activity

Ki H. Kim; Eunjung Moon; Ki S. Kang; Sun Y. Kim; Sang U. Choi; Kang R. Lee

How to cite this article

 

Alkaloids, including a new aporphine alkaloid and a pyrrole alkaloid, were isolated from Acorus gramineus rhizomes. The presence of alkaloids is first reported from A. gramineus. The alkaloids showed significant anti-neuroinflammatory and antiproliferative activities.

https://dx.doi.org/10.5935/0103-5053.20140205

Published online: September 5, 2014

 

Share PDF   Supplementary Information 

Total access: 3423


J. Braz. Chem. Soc. 2015, 26(1), 9-13

Chemical Constituents from Cultures of the Fungus Marasmiellus ramealis (Bull.) Singer

Ningning Yang; Qingyun Ma; Shengzhuo Huang; Haofu Dai; Zhikai Guo; Xuehua Lu; Yuguang Wang; Zhifang Yu; Youxing Zhao

How to cite this article

 

Two new eudesmane-type sesquiterpenoids and one new mellein derivative were isolated from the cultures of the fungus Marasmiellus ramealis. The new sesquiterpenoids showed inhibitory activity against acetylcholinesterase.

https://dx.doi.org/10.5935/0103-5053.20140206

Published online: September 5, 2014

 

Share PDF   Supplementary Information 

Total access: 3201


J. Braz. Chem. Soc. 2015, 26(1), 14-21

Chemometric Study of Perilla Fatty Acids from Subcritical n-Propane Extracted Oil

Claudia M. Silva; Ana B. Zanqui; Aloisio H. P. Souza; Aline K. Gohara; Márcia A. Chaves; Sandra T. M. Gomes; Lucio Cardozo Filho; Nilson E. Souza; Makoto Matsushita

How to cite this article

 

Subcritical fluid extraction is an innovative technique to substitute the classical methods for lipid extraction. In this study, chemometric tools were applied to evaluate the influence of independent factors (temperature and pressure) in the determination of fatty acids in perilla oil and compare the results with the official Soxhlet methodology.

https://dx.doi.org/10.5935/0103-5053.20140207

Published online: September 5, 2014

 

Share PDF

Total access: 2044


J. Braz. Chem. Soc. 2015, 26(1), 22-31

Cu and Ni Catalysts Supported on γ-Al2O3 and SiO2 Assessed in Glycerol Steam Reforming Reaction

Vivian V. Thyssen; Thaisa A. Maia; Elisabete M. Assaf

How to cite this article

 

Catalytic activity of NiAl at 600 ºC. This catalyst gave the best results for GSR under the test conditions, proving stable and active throughout the 4 h reaction time.

https://dx.doi.org/10.5935/0103-5053.20140209

Published online: September 12, 2014

 

Share PDF

Total access: 2167


J. Braz. Chem. Soc. 2015, 26(1), 32-39

Abietane Diterpenes from Hyptis crassifolia Mart. ex Benth. (Lamiaceae)

Karísia S. B. Lima; Maria L. S. Guedes; Edilberto R. Silveira

How to cite this article

 

The phytochemical study of Hyptis crassifolia led to the isolation and structure elucidation of nine diterpenes. 6α,11,12,15-Tetrahydroxy-8,11,13-abietatrien-7-one, 11,12,16-trihydroxy-17(15→16)-abeo-abieta-8,11,13-trien-7-one and 11,12,15-trihydroxy-8,11,13-abietatrien-7-one are new, and a structural revision is proposed for (16S)-12,16-epoxy-11,14-dihydroxy-17(15→16)-abeo-abieta-8,11,13-trien-7-one.

https://dx.doi.org/10.5935/0103-5053.20140210

Published online: September 12, 2014

 

Share PDF   Supplementary Information 

Total access: 3460


J. Braz. Chem. Soc. 2015, 26(1), 40-50

Evaluation of Two Statistical Tools (Least Squares Regression and Artificial Neural Network) in the Multivariate Optimization of Solid-Phase Extraction for Cadmium Determination in Leachate Samples

Hélio R. Sousa Filho; Daniel M. Oliveira; Valfredo A. Lemos; Marcos A. Bezerra

How to cite this article

 

Least square regression and artificial neural network were evaluated as modeling tools in the optimization of a solid-phase extraction method for cadmium determination using flame atomic absorption spectrometry.

https://dx.doi.org/10.5935/0103-5053.20140211

Published online: September 12, 2014

 

Share PDF

Total access: 1894


J. Braz. Chem. Soc. 2015, 26(1), 51-56

Ligand-Less in situ Surfactant-Based Solid Phase Extraction for Preconcentration of Cobalt, Nickel and Zinc from Water Samples Prior to their FAAS Determination

Sayed Z. Mohammadi; Daryoush Afzali; Zahra Fallahi; Asieh Mehrabi; Shima Moslemi

How to cite this article

 

In the present study, a cationic surfactant with a proper alkyl group side chain is dissolved in the aqueous sample and then a proper ion-pairing agent is added. Due to the interaction between the surfactant and ion-pairing agent, very fine solid particles are formed and precipitates of analyte are adsorbed on the surface of solid particles and dissolved in HNO3 in ethanol, and then aspirated directly into the flame of the atomic absorption spectrometer (AAS).

https://dx.doi.org/10.5935/0103-5053.20140212

Published online: September 12, 2014

 

Share PDF

Total access: 2049


J. Braz. Chem. Soc. 2015, 26(1), 57-63

Evaluation of Glycerol Profiles in Sugarcane Spirits (Cachaças)

André C. Garcia; Felipe A. T. Serafim; Denis De Keukeleire; Douglas W. Franco

How to cite this article

 

A new high performance liquid chromatography with diode array detection methodology was developed for glycerol analysis in sugar cane spirit and applied to selected set of cachaças. Glycerol contents in aged cachaças were about 10-fold higher than in non-aged cachaças.

https://dx.doi.org/10.5935/0103-5053.20140213

Published online: September 16, 2014

 

Share PDF   Supplementary Information 

Total access: 3178


J. Braz. Chem. Soc. 2015, 26(1), 64-73

Multivariate Control Charts for Simultaneous Quality Monitoring of Isoniazid and Rifampicin in a Pharmaceutical Formulation Using a Portable Near Infrared Spectrometer

Fernanda S. L. Costa; Ricardo H. P. Pedroza; Dayanne L. Porto; Marcelo V. P. Amorim; Kássio M. G. Lima

How to cite this article

 

In this work, we used near infrared reflectance spectroscopy and multivariate control charts based on significant principal component (PC) scores and net analytical signal (NAS) for simultaneous quality monitoring of isoniazid and rifampicin in a pharmaceutical formulation.

https://dx.doi.org/10.5935/0103-5053.20140214

Published online: September 16, 2014

 

Share PDF

Total access: 1912


J. Braz. Chem. Soc. 2015, 26(1), 74-83

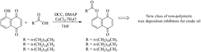
A New, Simple and Efficient Method of Steglich Esterification of Juglone with Long‑Chain Fatty Acids: Synthesis of a New Class of Non-Polymeric Wax Deposition Inhibitors for Crude Oil

Vitor Gilles; Mariana A. Vieira; Valdemar Lacerda Jr.; Eustáquio V. R. Castro; Reginaldo B. Santos; Ednilson Orestes; José W. M. Carneiro; Sandro J. Greco

How to cite this article

 

In this work fatty esters derived from Juglone were synthesized by modified Steglich esterification. Compounds prepared showed promising results as wax inhibitors on crude oil.

https://dx.doi.org/10.5935/0103-5053.20140216

Published online: September 19, 2014

 

Share PDF   Supplementary Information 

Total access: 4088


J. Braz. Chem. Soc. 2015, 26(1), 84-91

Synthesis and Characterization of a New Semiconductor Oligomer Having Quinoline and Fluorene Units

Fábio C. Correia; Thays C. F. Santos; Jarem R. Garcia; Laura O. Peres; Shu H. Wang

How to cite this article

 

Novel highly soluble photoluminescent macromolecule having n-type conjugated segment and presenting low-lying LUMO level, ionization potential (IP) and electron affinity (EA) of 6.25 and 3.65 eV, respectively.

https://dx.doi.org/10.5935/0103-5053.20140217

Published online: September 19, 2014

 

Share PDF

Total access: 1809


J. Braz. Chem. Soc. 2015, 26(1), 92-101

Dye Sensitized Solar Cells Using Natural Pigments from Five Plants and Quasi-Solid State Electrolyte

Desalegn J. Godibo; Sisay T. Anshebo; Teketel Y. Anshebo

How to cite this article

 

The structure and operating principle of the dye-sensitized solar cell (DSSC).

https://dx.doi.org/10.5935/0103-5053.20140218

Published online: September 19, 2014

 

Share PDF

Total access: 2017


J. Braz. Chem. Soc. 2015, 26(1), 102-109

Classification of Individual Castor Seeds Using Digital Imaging and Multivariate Analysis

Welma T. S. Vilar; Rayanne M. Aranha; Everaldo P. Medeiros; Márcio J. C. Pontes

How to cite this article

 

Method based on digital imaging and multivariate analysis for the classification of castor seeds with respect to the cultivar type.

https://dx.doi.org/10.5935/0103-5053.20140221

Published online: September 26, 2014

 

Share PDF

Total access: 1856


J. Braz. Chem. Soc. 2015, 26(1), 110-116

Determination of Boron in Silicon Carbide by ICP-OES and ICP-MS after Sample Preparation using Pyrohydrolysis

Cristiano C. Muller; Thieli S. Nunes; Aline L. H. Muller; Valderi L. Dressler; Erico M. M. Flores; Edson I. Muller

How to cite this article

 

Pyrohydrolysis is an alternative method for sample preparation and allows the vaporization of the analyte by hydrolysis under high temperature (around 1000 °C). Instrumentation required for a pyrohydrolysis analysis is very simple and minimal sample preparation is required. In this sense, pyrohydrolysis is suitable for B determination in SiC samples, due to the low limit of detection achieved and minimum interference of the matrix in the determination using plasma techniques.

https://dx.doi.org/10.5935/0103-5053.20140222

Published online: September 26, 2014

 

Share PDF

Total access: 1893


J. Braz. Chem. Soc. 2015, 26(1), 117-123

A3-Coupling Reaction as a Strategy Towards the Synthesis of Alkaloids

Rafaela C. Carmona; Edison P. Wendler; George H. Sakae; Joao V. Comasseto; Alcindo A. Dos Santos

How to cite this article

 

The graphical abstract pictorially represents the three-step synthesis of three cyclic alkaloids (coniine, an oriental food flavor and a natural product extracted from Pinus ponderosa) prepared from commercially available starting materials. The key step was the A3-coupling reaction.

https://dx.doi.org/10.5935/0103-5053.20140223

Published online: September 26, 2014

 

Share PDF   Supplementary Information 

Total access: 3855


J. Braz. Chem. Soc. 2015, 26(1), 124-130

Synthesis and Properties of Two Energetic Salts Based on 1-Amino-2-nitroguanidine

Xinghui Jin; Bingcheng Hu; Zuliang Liu

How to cite this article

 

Two nitrogen-rich energetic salts were synthesized and their chemical and physical properties were also fully characterized.

https://dx.doi.org/10.5935/0103-5053.20140226

Published online: September 30, 2014

 

Share PDF   Supplementary Information 

Total access: 3168


J. Braz. Chem. Soc. 2015, 26(1), 131-139

Evaluation of Graphene for Dispersive Solid-Phase Extraction of Triazine and Neonicotine Pesticides from Environmental Water

Xiao Li Wu; Lixuan Meng; Yanhua Wu; Yan-Yeung Luk; Yongqiang Ma; Yanli Du

How to cite this article

 

Graphene for dispersive solid-phase extraction of triazine and neonicotine pesticides from environmental water.

https://dx.doi.org/10.5935/0103-5053.20140227

Published online: September 30, 2014

 

Share PDF

Total access: 1971


J. Braz. Chem. Soc. 2015, 26(1), 140-146

Determination of Lead in Eye Shadow and Blush by High-Resolution Continuum Source Graphite Furnace Atomic Absorption Spectrometry Employing Direct Solid Sampling

Ariane I. Barros; Tiago V. Silva; Edilene C. Ferreira; José A. Gomes Neto

How to cite this article

 

Direct solid sampling is a fast, simple and sustainable procedure to analyze hard-to-dissolve samples. This green analytical procedure is proposed here for the determination of Pb in cosmetics by atomic absorption spectrometry.

https://dx.doi.org/10.5935/0103-5053.20140228

Published online: September 30, 2014

 

Share PDF   Supplementary Information 

Total access: 3780


J. Braz. Chem. Soc. 2015, 26(1), 147-155

Simultaneous Determination of Na, K and Ca in Biodiesel by Flame Atomic Emission Spectrometry

Juliana D. Raposo; Letícia M. Costa; Paulo Jorge S. Barbeira

How to cite this article

 

The simultaneous determination of Na, Ca and K in biodiesel was performed by flame atomic emission spectrometry using a continuous electromagnetic radiation detector and two different sample preparation procedures: direct dilution with kerosene and emulsification using HNO3, n-butanol and Triton X-100.

https://dx.doi.org/10.5935/0103-5053.20140231

Published online: October 3, 2014

 

Share PDF

Total access: 1995


J. Braz. Chem. Soc. 2015, 26(1), 156-164

Use of Solid Phase Extraction with Hydrophilic-Lipophilic Balance (HLB) Cartridge as the Appropriate Option for Metribuzin Extraction from Contaminated Soils

Mohammad R. Rigi; Mohsen Farahbakhsh; Karamatollah Rezaei

How to cite this article

 

A schematic representation of the solid phase extraction of metribuzin by using hydrophilic-lipophilic balance (HLB) cartridge and recovery amounts (%) of metribuzin by different methods. The solid phase extraction method with HLB cartridge had the highest metribuzin recovery.

https://dx.doi.org/10.5935/0103-5053.20140232

Published online: October 3, 2014

 

Share PDF

Total access: 1787


J. Braz. Chem. Soc. 2015, 26(1), 165-170

Stereoselective Addition of Diethylzinc to Aldehydes Using Chiral β-Hydroxy-2-oxazolines as Catalysts

Francisco A. Marques; Celso L. Wosch; Gustavo Frensch; Ricardo Labes; Beatriz H. L. N. S. Maia; Kahlil S. Salomé; Andersson Barison; Palimécio G. Guerrero Jr.

How to cite this article

 

Chiral β-hydroxy-2-oxazolines were synthesized and evaluated as catalysts for the addition of diethylzinc to aldehydes and were effective in obtaining the addition products, with enantiomeric excess up to 78%.

https://dx.doi.org/10.5935/0103-5053.20140233

Published online: October 3, 2014

 

Share PDF   Supplementary Information 

Total access: 3262


J. Braz. Chem. Soc. 2015, 26(1), 171-177

Integrative Approach Using GC-MS and Easy Ambient Sonic-Spray Ionization Mass Spectrometry (EASI-MS) for Comprehensive Lipid Characterization of Buriti (Mauritia flexuosa) Oil

Giovana A. Bataglion; Felipe M. A. da Silva; Jandyson M. Santos; Milene T. Barcia; Helena T. Godoy; Marcos N. Eberlin; Hector H. F. Koolen

How to cite this article

 

An integrative approach based on GC-MS and easy ambient sonic-spray ionization mass spectrometry (EASI-MS) was employed for comprehensive characterization of lipids in buriti oil. In addition, the biologic activities were also evaluated.

https://dx.doi.org/10.5935/0103-5053.20140234

Published online: October 3, 2014

 

Share PDF

Total access: 1997


J. Braz. Chem. Soc. 2015, 26(1), 178-184

Caffeine Oxidation in Water by Fenton and Fenton-Like Processes: Effects of Inorganic Anions and Ecotoxicological Evaluation on Aquatic Organisms

Thaís D. de Oliveira; William S. Martini; Mellina D. R. Santos; Maria Auxiliadora C. Matos; Lilian L. da Rocha

How to cite this article

 

Caffeine degradation was evaluated at an initial concentration of 5.2 µmol L-1 (1000 µg L-1) employing low iron and hydrogen peroxide concentrations. The Fenton and the Fenton-like processes were investigated. The effects of inorganic ions on caffeine degradation were evaluated, as well as chronic toxicity of the reaction condition in which there was higher caffeine degradation by Fenton's reagent.

https://dx.doi.org/10.5935/0103-5053.20140237

Published online: October 7, 2014

 

Share PDF

Total access: 2121


J. Braz. Chem. Soc. 2015, 26(1), 185-195

Molecular Dynamics Insight into the Urea Effect on Tretinoin Encapsulation into Carbon Nanotube

Maryam Ghadamgahi; Davood Ajloo

How to cite this article

 

This work explains how the size of a carbon nanotube, urea, and temperature would influence the insertion of Tretinoin, a skin anti-cancer drug, into carbon nanotubes.

https://dx.doi.org/10.5935/0103-5053.20140242

Published online: October 17, 2014

 

Share PDF

Total access: 1952


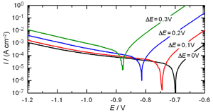
J. Braz. Chem. Soc. 2015, 26(1), 196-208

AC-Induced Corrosion of Underground Steel Pipelines. Faradaic Rectification under Cathodic Protection: I. Theoretical Approach with Negligible Electrolyte Resistance

Ibrahim Ibrahim; Bernard Tribollet; Hisasi Takenouti; Michel Meyer

How to cite this article

 

Buried steel pipelines, in the presence of stray AC voltage may suffer external corrosion. Corrosion enhancement and corrosion potential shift due to the intrinsic nonlinear electrochemical properties are evaluated by digital simulations for different peak-voltages ΔE.

https://dx.doi.org/10.5935/0103-5053.20140246

Published online: October 24, 2014

 

Share PDF   Supplementary Information 

Total access: 3375

Online version ISSN 1678-4790 Printed version ISSN 0103-5053
Journal of the Brazilian Chemical Society
JBCS Editorial and Publishing Office
University of Campinas - UNICAMP
13083-970 Campinas-SP, Brazil

Free access

GN1