JBCS

4:23, Mon Oct 13

Open Access/APCs

First slide
Second slide
Third slide
Third slide
Fifth slide
Sixth slide

vol. 27, No. 3, 2016, p. 435-639

 

Dihydrobetulinic acid (DHBA) is active against amastigotes and promastigotes from Leishmania donovani both in vitro and in vivo models. This compound inhibits the formation of the binary complex between topoisomerase IB (topIB) and DNA, and induces apoptosis. Based on docking and molecular dynamics studies we have identified the most probable binding site of DHBA on topIB. This computational model also revealed that a molecular fragment of this triterpenoid can be strategically relevant to develop new antileishmanial leads. Details are presented in the Article The Octahydroindene Carboxyl Substructure from Dihydrobetulinic Acid is Essential to Inhibit Topoisomerase IB from Leishmania donovani by Camila A. Rocha, Paulo R. S. Sanches, Reinaldo Marchetto and Aderson Zottis on page 591.


Cover Article
J. Braz. Chem. Soc. 2016, 27(3), 591-598

The Octahydroindene Carboxyl Substructure from Dihydrobetulinic Acid is Essential to Inhibit Topoisomerase IB from Leishmania donovani

Camila A. Rocha; Paulo R. S. Sanches; Reinaldo Marchetto; Aderson Zottis

How to cite this article

Dihydrobetulinic acid (DHBA) is active against amastigotes and promastigotes from Leishmania donovani both in vitro and in vivo models. This compound inhibits the formation of the binary complex between topoisomerase IB (topIB) and DNA, and induces apoptosis. Based on docking and molecular dynamics studies we have identified the most probable binding site of DHBA on topIB. This computational model also revealed that a molecular fragment of this triterpenoid can be strategically relevant to develop new antileishmanial leads. Details are presented in the Article The Octahydroindene Carboxyl Substructure from Dihydrobetulinic Acid is Essential to Inhibit Topoisomerase IB from Leishmania donovani by Camila A. Rocha, Paulo R. S. Sanches, Reinaldo Marchetto and Aderson Zottis on page 591.

https://dx.doi.org/10.5935/0103-5053.20150295

Published online: November  5, 2015
Share PDF

Total access: 3252


Review J. Braz. Chem. Soc. 2016, 27(3), 435-474

Antinociceptive Effect of Essential Oils and Their Constituents: an Update Review

Eder J. Lenardao; Lucielli Savegnago; Raquel G. Jacob; Francine N. Victoria; Débora M. Martinez

How to cite this article

 

Plant essential oils (EOs) have been used for centuries in folk medicine to treat diverse disorders, including as analgesic to pain relief. This review covers the literature on the antinociceptive activity of EOs and their constituents from 2000 to 2015. The concepts involved in the nociception, the major clinical treatments used to treat pain and the main tests used to access the analgesic effect of natural compounds are discussed.

https://dx.doi.org/10.5935/0103-5053.20150332

Published online: November 25, 2015

 

Share PDF

Total access: 2474


Articles J. Braz. Chem. Soc. 2016, 27(3), 475-483

Application of a Quantitative HPLC-ESI-MS/MS Method for Flavonoids in Different Vegetables Matrices

Bruno Perlatti; Joao B. Fernandes; Maria F. G. F. Silva; Jorge A. Ardila; Renato L. Carneiro; Bruno H. S. Souza; Eduardo N. Costa; Wellington I. Eduardo; Arlindo L. Boiça Junior; Moacir R. Forim

How to cite this article

 

Different vegetable matrices were evaluated and discriminated by quantitative analysis of specific flavonoids using high-performance liquid chromatography coupled to electrospray ionization tandem mass spectrometry (HPLC-ESI-MS/MS) and principal component analysis (PCA).

https://dx.doi.org/10.5935/0103-5053.20150273

Published online: October 21, 2015

 

Share PDF   Supplementary Information 

Total access: 3612


J. Braz. Chem. Soc. 2016, 27(3), 484-492

Synthesis of Organotin Substituted Tricyclic Macrodiolides

Flavia C. Zacconi; Romina A. Ocampo; Julio C. Podestá; Liliana C. Koll

How to cite this article

 

Synthesis of organotin substituted 11 membered macrocycles.

https://dx.doi.org/10.5935/0103-5053.20150275

Published online: October 22, 2015

 

Share PDF   Supplementary Information 

Total access: 3262


J. Braz. Chem. Soc. 2016, 27(3), 493-499

Effect of Organic Solvent Composition on Dissociation Constants of Some Reversible Acetylcholinesterase Inhibitors

Y. Doğan Daldal; Ebru Çubuk Demiralay; Sibel A. Ozkan

How to cite this article

 

Variation of the mobile phase pH is a key parameter to enhance the chromatographic selectivity and retention time for ionization compounds. Solvent effect was investigated for the developed method. Dissociation constant values were calculated by different percentages of acetonitrile/methanol in the mobile phase at different pH environment. This work can be used for drug discovery of acetylcholinesterase inhibitors.

https://dx.doi.org/10.5935/0103-5053.20150276

Published online: October 22, 2015

 

Share PDF

Total access: 1956


J. Braz. Chem. Soc. 2016, 27(3), 500-509

Application of a New Strategy of Validation Based on "β,γ-Content Tolerance Interval" for Checking the Chiral Chromatography Method for Quantification of the Chiral Impurity of Levofloxacin

Houda Bouchafra; Miloud El karbane; Mohamed Azougagh; Fayssal Jhilal; Saad Alawi Sosse; EL Mestafa El hadrami; Taoufiq Saffaj; Bouchaîb Ihssane

How to cite this article

 

In order to get a chromatographic method able to yield a good separation, identification and quantification of the enantiomers (Levofloxacin and its (R)-enantiomer), chemometric tools should be appropriately applied, especially by applying the experimental designs methodology. In addition, in order to verify the optimized method we propose an innovative approach, recently developed in our laboratory called the uncertainty profile.

https://dx.doi.org/10.5935/0103-5053.20150277

Published online: October 22, 2015

 

Share PDF   Supplementary Information 

Total access: 2812


J. Braz. Chem. Soc. 2016, 27(3), 510-514

Meroterpenoid Hydroquinones from Cordia globosa

Ana Karine O. Silva; André Luis L. de Oliveira; Francisco das Chagas L. Pinto; Karisia S. B. de Lima; Raimundo Braz-Filho; Edilberto R. Silveira; Otilia Deusdênia L. Pessoa

How to cite this article

 

Two new meroterpenoid hydroquinones along with the known peptide (S)-N-benzoylphenylalanine-(S)-2-benzamide-3-phenylpropyl ester were isolated from the roots of Cordia globosa. Their structures were determined by 1D and 2D nuclear magnetic resonance (NMR) spectrometry, Fourier transform infrared (FTIR) spectroscopy and high resolution atmospheric pressure chemical ionization mass spectrometry (HRAPCIMS).

https://dx.doi.org/10.5935/0103-5053.20150278

Published online: October 22, 2015

 

Share PDF   Supplementary Information 

Total access: 2862


J. Braz. Chem. Soc. 2016, 27(3), 515-525

Cr/Al Oxide as Solid Acid Catalyst to Afford Babassu Biodisel

Carla V. R. Moura; Haroldo L. S. Neres; Mariane G. Lima; Edmilson M. Moura; Jose M. Moita Neto; José E. de Oliveira; José R. O. Lima; Ilza M. Sttolin; Eugênio C. E. Araújo

How to cite this article

 

Solid acid catalyst was obtained by the mixture of Al/Cr oxides to afford babassu biodiesel with a great acidity 5.0%. The yield of biodiesel was about 97.5% in 15 h and 70 ºC.

https://dx.doi.org/10.5935/0103-5053.20150279

Published online: October 27, 2015

 

Share PDF   Supplementary Information 

Total access: 3220


J. Braz. Chem. Soc. 2016, 27(3), 526-533

Alternative Igniters Based on Oxidant Salts for Microwave-Induced Combustion Method

Leticia S. F. Pereira; Gabrielle D. Iop; Mariele S. Nascimento; Liange O. Diehl; Cezar A. Bizzi; Juliano S. Barin; Erico M. M. Flores

How to cite this article

 

Use of solutions of oxidant salts as igniters, understanding the ignition assisted by microwaves, and the use of alternative igniters for microwave-induced combustion for further metals determination.

https://dx.doi.org/10.5935/0103-5053.20150280

Published online: October 27, 2015

 

Share PDF

Total access: 1983


J. Braz. Chem. Soc. 2016, 27(3), 535-545

Aminonaphthoquinone Mannich Bases Derived from Lawsone and Their Copper(II) Complex Derivatives: Synthesis and Potential Cholinesterase Inhibitors as Identified by On-flow Assay

Adriana F. L. Vilela; Bárbara M. Frugeri; André L. F. Sarria; Rodrigo O. S. Kitamura; Joao B. Fernandes; Maria F. G. F. Silva; Quezia B. Cass; Carmen L. Cardoso

How to cite this article

 

A new series of Mannich bases and their Cu2+ complexes were synthesized and evaluated for their potential as selective cholinesterase [acetylcholinesterase (AChE) and butyrylcholinesterase (BChE)] inhibitors by on-flow assay. All copper complexes were more active than the Mannich bases.

https://dx.doi.org/10.5935/0103-5053.20150281

Published online: October 27, 2015

 

Share PDF   Supplementary Information 

Total access: 3105


J. Braz. Chem. Soc. 2016, 27(3), 546-550

A Greener, Efficient and Catalyst-Free Ultrasonic-Assisted Protocol for the N-Fmoc Protection of Amines

Rachida Mansouri; Zineb Aouf; Salah Lakrout; Malika Berredjem; Nour-Eddine Aouf

How to cite this article

 

An eco-sustainable ultrasound-assisted method for the N-Fmoc protection is reported. Mildness, efficiency, excellent yielding and short reaction times are the main advantages of this new protocol.

https://dx.doi.org/10.5935/0103-5053.20150286

Published online: October 30, 2015

 

Share PDF   Supplementary Information 

Total access: 4015


J. Braz. Chem. Soc. 2016, 27(3), 551-565

Synthesis, in vitro Antimalarial Activity and in silico Studies of Hybrid Kauranoid 1,2,3-Triazoles Derived from Naturally Occurring Diterpenes

Juliana de O. Santos; Guilherme R. Pereira; Geraldo C. Brandao; Tatiane F. Borgati; Lucas M. Arantes; Renata C. de Paula; Luciana F. Soares; Maria F. A. do Nascimento; Márlia R. C. Ferreira; Alex G. Taranto; Fernando P. Varotti; Alaíde B. de Oliveira

How to cite this article

 

The kauranoid moieties core in the novel 1,2,3-triazole-1,4-disubstituted hybrid molecules were synthesized by copper-catalyzed azide-alkyne cycloaddition (CuAAC) reactions. All compounds were evaluated for antiplasmodial and cytotoxic activity.

https://dx.doi.org/10.5935/0103-5053.20150287

Published online: October 30, 2015

 

Share PDF   Supplementary Information 

Total access: 3331


J. Braz. Chem. Soc. 2016, 27(3), 566-574

Determination of Aspirin Using Chemiluminescence System of Tris(1,10 phenanthroline)Ruthenium(II)-Cerium(IV)

Ali Mokhtari; Mohsen Keyvanfard; Iraj Emami; Nastaran J. Delouei; Hatameh F. Pishkhani; Aida Ebrahimi; Hossein Karimian

How to cite this article

 

A chemiluminescence method based on the enhancement effect of aspirin in the system of tris(1,10 phenanthroline)ruthenium(II), with acidic CeIV has been proposed.

https://dx.doi.org/10.5935/0103-5053.20150288

Published online: October 30, 2015

 

Share PDF

Total access: 1951


J. Braz. Chem. Soc. 2016, 27(3), 575-583

Use of Natural Rubber Membranes as Support for Powder TiO2 and Ag/TiO2 Photocatalysts

Jusinei M. Stropa; Aline S. Herrero; Silvio C. Oliveira; Alberto A. Cavalheiro; Renato F. Dantas; Samuel L. Oliveira; Amilcar Machulek Jr; Lincoln C. S. Oliveira

How to cite this article

 

Methylene blue discoloration on a natural rubber membrane surface containing TiO2 or Ag/TiO2. On ultraviolet-visible (UV-Vis) spectrophotometric analysis, decreased absorbance intensity indicates methylene blue degradation.

https://dx.doi.org/10.5935/0103-5053.20150293

Published online: November 5, 2015

 

Share PDF

Total access: 2351


J. Braz. Chem. Soc. 2016, 27(3), 584-590

Pressurized Flow Solubilization System Using Electromagnetic Induction Heating Technique for Simultaneous Determination of Inorganic Elements (Ba, Ca, Cd, Cu, Fe, Mg, Mn, Na, Pb, Sr, Zn) in Sonicate Slurries of Biological Materials by Microwave Induced Plasma Optical Emission Spectrometry (MIP-OES)

Henryk Matusiewicz; Mariusz Ślachciński

How to cite this article

 

Pressure electromagnetic induction heating flow solubilization system.

https://dx.doi.org/10.5935/0103-5053.20150294

Published online: November 5, 2015

 

Share PDF

Total access: 1884


J. Braz. Chem. Soc. 2016, 27(3), 591-598

The Octahydroindene Carboxyl Substructure from Dihydrobetulinic Acid is Essential to Inhibit Topoisomerase IB from Leishmania donovani

Camila A. Rocha; Paulo R. S. Sanches; Reinaldo Marchetto; Aderson Zottis

How to cite this article

 

Dihydrobetulinic acid is a competitive inhibitor of topoisomerase IB from Leishmania donovani. By docking and simulations of molecular dynamics it was identified a potential fragment to develop new antileishmanial compounds.

https://dx.doi.org/10.5935/0103-5053.20150295

Published online: November 5, 2015

 

Share PDF

Total access: 3252


J. Braz. Chem. Soc. 2016, 27(3), 599-604

Chemotaxonomy of the Amazonian Unonopsis Species Based on Leaf Alkaloid Fingerprint Direct Infusion ESI-MS and Chemometric Analysis

Felipe M. A. Silva; Francinaldo A. Silva Filho; Bruna R. Lima; Richardson A. Almeida; Elzalina R. Soares; Hector H. F. Koolen; Afonso D. L. Souza; Maria L. B. Pinheiro

How to cite this article

 

Alkaloid fingerprint along with multivariate analysis provided a simple and effective approach to differentiate Amazonian Unonopsis species.

https://dx.doi.org/10.5935/0103-5053.20150296

Published online: November 5, 2015

 

Share PDF   Supplementary Information 

Total access: 3344


J. Braz. Chem. Soc. 2016, 27(3), 605-615

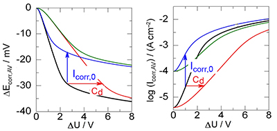
AC Induced Corrosion of Underground Steel Pipelines. Faradaic Rectification under Cathodic Protection: II. Theoretical Approach with Electrolyte Resistance and Double Layer Capacitance for Bi-Tafelian Corrosion Mechanism

Ibrahim Ibrahim; Michel Meyer; Hisasi Takenouti; Bernard Tribollet

How to cite this article

 

Effect of the AC stray voltage on the faradaic rectification by the double layer capacitance and the corrosion current density.

https://dx.doi.org/10.5935/0103-5053.20150302

Published online: November 9, 2015

 

Share PDF

Total access: 1987


J. Braz. Chem. Soc. 2016, 27(3), 616-623

Characterization of Pequi (Caryocar brasiliense) Shells and Evaluation of Their Potential for the Adsorption of PbII Ions in Aqueous Systems

Dayane J. Amorim; Hélen C. Rezende; Érica L. Oliveira; Ione L. S. Almeida; Nívia M. M. Coelho; Túlio N. Matos; Cleide S. T. Araújo

How to cite this article

 

Pequi (Caryocar brasiliense) shells were characterized by point of zero charge (PZC), Fourier transform infrared spectroscopy (FTIR), and scanning electron microscopy-energy dispersive spectroscopy (SEM-EDS) and the adsorbent material was studied for PbII ions adsorption.

https://dx.doi.org/10.5935/0103-5053.20150304

Published online: November 10, 2015

 

Share PDF

Total access: 2081


J. Braz. Chem. Soc. 2016, 27(3), 624-630

Determination of Amphetamine, Amfepramone and Fenproporex in Urine Samples by HPLC-DAD: Application to a Population of Brazilian Truck Drivers

Juliana Takitane; Rafael M. Almeida; Tiago F. Oliveira; Natanael V. Prado; Daniel R. Muñoz; Vilma Leyton; Mauricio Yonamine

How to cite this article

 

Liquid-liquid extraction was applied in urine samples collected from truck drivers for the determination of amphetamines by high performance liquid chromatography with diode array detection (HPLC-DAD).

https://dx.doi.org/10.5935/0103-5053.20150305

Published online: November 10, 2015

 

Share PDF

Total access: 2057


Short Report J. Braz. Chem. Soc. 2016, 27(3), 631-638

Effect of Polyethyleneglycols (PEG) on Solubility of CoIII 5,10,15,20-Tetra(4-carboxyphenyl)porphyrin and Methylimidazolyl Axial Complex at 298.2 K: Experiment and Modeling

Tatyana V. Volkova; Vasiliy A. Golubev; Mikhail Y. Nikiforov; Galina M. Mamardashvili; Nugzar Z. Mamardashvili; German L. Perlovich

How to cite this article

 

In this study simple and efficient method of enhancing the solubility of CoIII porphyrins based on polyethyleneglycol additions to water solution was proposed.

https://dx.doi.org/10.5935/0103-5053.20150307

Published online: November 12, 2015

 

Share PDF   Supplementary Information 

Total access: 3227


Additions and Corrections J. Braz. Chem. Soc. 2016, 27(3), 639

Equilibrium and Out-Of-Equilibrium Investigation of Proton Exchange and CuII and ZnII Complexation on Fungal Mycelium (Trametes hirsuta)

Vicente R. Almeida; Bruno Szpoganicz; Lei Chou; Kitty Baert; Annick Hubin; Steeve Bonneville

How to cite this article

 

https://dx.doi.org/10.5935/0103-5053.20160025

Share PDF

Total access: 1464

Online version ISSN 1678-4790 Printed version ISSN 0103-5053
Journal of the Brazilian Chemical Society
JBCS Editorial and Publishing Office
University of Campinas - UNICAMP
13083-970 Campinas-SP, Brazil

Free access

GN1