JBCS

13:27, Sat Nov 29

Open Access/APCs

First slide
Second slide
Third slide
Third slide
Fifth slide
Sixth slide

vol. 27, No. 4, 2016, p. 641-806

 

Through molecular recognition and self-assembly processes, we developed new hybrid nanomaterial composed of tannic acid and magnetite. Combining experimental and theoretical analyses, we studied the physico-chemical properties of this material as well as the fundamentals of interaction between the organic and inorganic phases. The interaction of these two materials resulted in a final product able to be easily dispersed in water. Using the magnetic property of magnetite and biocompatibility of tannic acid, this material is attracting for applications whose aiming is reaching specific and localized targets in biological media. Details are presented in the Article Hybrid Self-Assembled Materials Constituted by Ferromagnetic Nanoparticles and Tannic Acid: a Theoretical and Experimental Investigation by Anderson F. M. Santos, Lucyano J. A. Macedo, Mariana H. Chaves, Marisol Espinoza-Castañeda, Arben Merkoçi, Francisco das Chagas A. Lima and Welter Cantanhêde on page 727.


Cover Article
J. Braz. Chem. Soc. 2016, 27(4), 727-734

Hybrid Self-Assembled Materials Constituted by Ferromagnetic Nanoparticles and Tannic Acid: a Theoretical and Experimental Investigation

Anderson F. M. Santos; Lucyano J. A. Macedo; Mariana H. Chaves; Marisol Espinoza-Castañeda; Arben Merkoçi; Francisco das Chagas A. Lima; Welter Cantanhêde

How to cite this article

Through molecular recognition and self-assembly processes, we developed new hybrid nanomaterial composed of tannic acid and magnetite. Combining experimental and theoretical analyses, we studied the physico-chemical properties of this material as well as the fundamentals of interaction between the organic and inorganic phases. The interaction of these two materials resulted in a final product able to be easily dispersed in water. Using the magnetic property of magnetite and biocompatibility of tannic acid, this material is attracting for applications whose aiming is reaching specific and localized targets in biological media. Details are presented in the Article Hybrid Self-Assembled Materials Constituted by Ferromagnetic Nanoparticles and Tannic Acid: a Theoretical and Experimental Investigation by Anderson F. M. Santos, Lucyano J. A. Macedo, Mariana H. Chaves, Marisol Espinoza-Castañeda, Arben Merkoçi, Francisco das Chagas A. Lima and Welter Cantanhêde on page 727.

https://dx.doi.org/10.5935/0103-5053.20150322

Published online: November  24, 2015
Share PDF

Total access: 3494


Review J. Braz. Chem. Soc. 2016, 27(4), 641-649

Current Approaches Against Alzheimer's Disease in Clinical Trials

Kamil Kuca; Ondrej Soukup; Petra Maresova; Jan Korabecny; Eugenie Nepovimova; Blanka Klimova; Jan Honegr; Teodorico C. Ramalho; Tanos C. C. França

How to cite this article

 

Different approaches for treatment of Alzheimer's disease (AD) are presented.

https://dx.doi.org/10.5935/0103-5053.20160048

Published online: February 12, 2016

 

Share PDF

Total access: 10486


Articles J. Braz. Chem. Soc. 2016, 27(4), 650-662

Comparison of Gold CD-R Types as Electrochemical Device and as Platform for Biosensors

Marcos V. Foguel; Glauco P. dos Santos; Antonio A. P. Ferreira; Marina Magnani; Marcello Mascini; Petr Skladal; Assis V. Benedetti; Hideko Yamanaka

How to cite this article

 

Construction and characterization of electrode using 3 kinds of gold recordable compact discs for biosensor development.

https://dx.doi.org/10.5935/0103-5053.20150308

Published online: November 13, 2015

 

Share PDF

Total access: 1796


J. Braz. Chem. Soc. 2016, 27(4), 663-669

Cascade Synthesis of Thieno[2,3-b]pyridines by Using Intramolecular Cyclization Reactions of 3-Cyano-2-(organylmethylthio)pyridines

Fatemeh Alinaghizadeh; Mahboobeh Zahedifar; Mohammad Seifi; Hassan Sheibani

How to cite this article

 

Synthesis of thieno[2,3-b]pyridine derivatives via intramolecular cyclization reactions of 3-cyano-2-(organylmethylthio)pyridines in excellent yields and in a short reaction time.

https://dx.doi.org/10.5935/0103-5053.20150309

Published online: November 13, 2015

 

Share PDF   Supplementary Information 

Total access: 3103


J. Braz. Chem. Soc. 2016, 27(4), 670-676

Agarose Based Magnetic Solid-Phase Extraction-Magnetic Field Agitation for Determination of Trace Amounts of Molybdenum in Beans

Narges Poursheikhi; Payman Hashemi; Mehdi Safdarian; Fariba Nazari Serenjeh; Faezeh Hesami

How to cite this article

 

Preparation of agarose coated magnetic nano particles and their activation and functionalization by phenylephrine.

https://dx.doi.org/10.5935/0103-5053.20150310

Published online: November 13, 2015

 

Share PDF

Total access: 1936


J. Braz. Chem. Soc. 2016, 27(4), 677-684

Voltammetric Determination of Ethionamide in Pharmaceutical Formulations and Human Urine using a Boron-Doped Diamond Electrode

Bruno R. L. Ferraz; Fernando R. F. Leite; Bruna L. Batista; Andréa R. Malagutti

How to cite this article

 

The ethionamide has been used in the treatment of drug-resistance tuberculosis (MDR-TB) and its quantification in pharmaceuticals and urine by square wave voltammetry boron-doped diamond electrode (SWV-BDDE) has been shown.

https://dx.doi.org/10.5935/0103-5053.20150313

Published online: November 16, 2015

 

Share PDF

Total access: 1923


J. Braz. Chem. Soc. 2016, 27(4), 685-693

Acid Decomposition of Yerba Mate (Ilex paraguariensis) Using a Reflux System for the Evaluation of Al, Ca, Cd, Cr, Cu, Fe, K, Mg, Mn, Na, Pb and Zn Contents by Atomic Spectrometric Techniques

Camila C. Pereira; Alexander O. Souza; Eliézer Q. Oreste; Mirla J. A. Cidade; Solange Cadore; Anderson S. Ribeiro; Mariana A. Vieira

How to cite this article

 

Evaluation of Al, Ca, Cd, Cr, Cu, Fe, K, Mg, Mn, Na, Pb and Zn contents in yerba mate (Ilex paraguariensis) by atomic spectrometric techniques.

https://dx.doi.org/10.5935/0103-5053.20150317

Published online: November 18, 2015

 

Share PDF   Supplementary Information 

Total access: 2977


J. Braz. Chem. Soc. 2016, 27(4), 694-705

Functionalized Multi Walled Carbon Nanotubes as a Carrier for Doxorubicin: Drug Adsorption Study and Statistical Optimization of Drug Loading by Factorial Design Methodology

Bahman Vasheghani Farahani; Gholamreza Rezaei Behbahani; Nasrin Javadi

How to cite this article

 

Adsorption potential of functionalized multi walled carbon nanotubes (MWNTs) studied in Doxorubicin in water model system. Significant factors were evaluated using 24 full factorial design. Thermodynamic and kinetic parameters were also studied.

https://dx.doi.org/10.5935/0103-5053.20150318

Published online: November 18, 2015

 

Share PDF

Total access: 1728


J. Braz. Chem. Soc. 2016, 27(4), 706-711

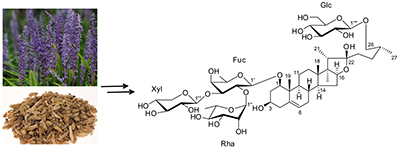
A New Steroidal Saponin from the Tubers of Ophiopogon japonicus and Its Protective Effect Against Cisplatin-Induced Renal Cell Toxicity

Seoung Rak Lee; Ju-Yeon Han; Hee Rae Kang; Hye Lim Lee; Hyung-Jun Noh; Jae‑Soon Cha; Ki Sung Kang; Chan-Jung Lee; Ki Hyun Kim

How to cite this article

 

A new furostanol saponin, ophiopogonin T, was isolated from the tubers of Ophiopogon japonicus. This compound showed a significant protective effect against cisplatin-induced cytotoxicity in porcine kidney (LLC-PK1) cells.

https://dx.doi.org/10.5935/0103-5053.20150319

Published online: November 19, 2015

 

Share PDF   Supplementary Information 

Total access: 3158


J. Braz. Chem. Soc. 2016, 27(4), 712-718

Feasibility of Using AAS for the Characterization of a Tuna Fish Candidate Reference Material for Total Hg and Methyl-Hg Measurement

Rodrigo Chelegao; Vivian M. O. Carioni; Juliana Naozuka; Cassiana S. Nomura

How to cite this article

 

A simple and fast procedure for total Hg and methyl Hg measurement by graphite furnace atomic absorption in tuna fish candidate reference material produced in Brazil is proposed.

https://dx.doi.org/10.5935/0103-5053.20150320

Published online: November 19, 2015

 

Share PDF

Total access: 1734


J. Braz. Chem. Soc. 2016, 27(4), 719-726

Chemical Profiling of Street Cocaine from Different Brazilian Regions

Adriano O. Maldaner; Élvio D. Botelho; Jorge J. Zacca; Raimundo C. A. Melo; José L. Costa; Ivomar Zancanaro; Celinalva S. L. Oliveira; Leonardo B. Kasakoff; Thiago R. L. C. Paixao

How to cite this article

 

Street cocaine samples seized in five different Brazilian States (AC, BA, FD, GO and SP) were analyzed by the Federal Police chemical profiling program.

https://dx.doi.org/10.5935/0103-5053.20150321

Published online: November 23, 2015

 

Share PDF   Supplementary Information 

Total access: 3476


J. Braz. Chem. Soc. 2016, 27(4), 727-734

Hybrid Self-Assembled Materials Constituted by Ferromagnetic Nanoparticles and Tannic Acid: a Theoretical and Experimental Investigation

Anderson F. M. Santos; Lucyano J. A. Macedo; Mariana H. Chaves; Marisol Espinoza-Castañeda; Arben Merkoçi; Francisco das Chagas A. Lima; Welter Cantanhêde

How to cite this article

 

Hybrid magnetic nanomaterials with interest for biomedical applications were developed and studied through several techniques, including density functional theory.

https://dx.doi.org/10.5935/0103-5053.20150322

Published online: November 24, 2015

 

Share PDF   Supplementary Information 

Total access: 3494


J. Braz. Chem. Soc. 2016, 27(4), 735-744

Preliminary Study about the Origin of Trace Elements in the Atmospheric Deposition in Two Brazilian Subtropical Estuaries

Eunice C. Machado; Priscilla R. Arévalo; Maria R. O. Casartelli; Maurício G. Camargo; Emmanoel V. Silva-Filho

How to cite this article

 

Estimated crustal enrichment factors (CEF) indicate that atmospheric Zn is derived from anthropogenic sources and that atmospheric deposition may be a main input of this element in subtropical estuarine systems of Southern Brazil.

https://dx.doi.org/10.5935/0103-5053.20150323

Published online: November 24, 2015

 

Share PDF

Total access: 2138


J. Braz. Chem. Soc. 2016, 27(4), 745-752

Multivariate Optimization of a Simultaneous Cloud Point Extraction Procedure of Cd, Cu and Ni from Sediments Samples and Determination by ICP OES

Leandro dos Santos; Queila O. dos Santos; Islania Moreno; Cléber G. Novaes; Márcio J. S. dos Santos; Marcos A. Bezerra

How to cite this article

 

Cloud point extraction was applied to preconcentration of cadmium, copper and nickel from sediments after the procedure optimization using Doehlert and constrained mixture designs.

https://dx.doi.org/10.5935/0103-5053.20150325

Published online: November 24, 2015

 

Share PDF

Total access: 2021


J. Braz. Chem. Soc. 2016, 27(4), 753-758

Ixorine, a New Cyclopeptide Alkaloid from the Branches of Ixora brevifolia

Rebeca P. Medina; Ivânia T. A. Schuquel; Armando M. Pomini; Cleuza C. Silva; Cecília M. A. Oliveira; Lucília Kato; Celso V. Nakamura; Silvana M. O. Santin

How to cite this article

 

The new cyclic peptide alkaloid ixorine, along with known alkaloid frangulanine, were isolated from the branches of Ixora brevifolia. The isolation of frangulanine is first reported from Rubiaceae. The alkaloids showed activity against Leishmania amazonensis.

https://dx.doi.org/10.5935/0103-5053.20150326

Published online: November 24, 2015

 

Share PDF   Supplementary Information 

Total access: 2989


J. Braz. Chem. Soc. 2016, 27(4), 759-768

A Multicomponent Synthesis of 2-Amino-3-cyanopyridine Derivatives Catalyzed by Heterogeneous and Recyclable Copper Nanoparticles on Charcoal

Reza Khalifeh; Mahdiyeh Ghamari

How to cite this article

 

In the present work, novel procedure for synthesis of 2-amino-3-cyanopyridine derivatives has been reported by using copper nanoparticles on charcoal (Cu/C) as heterogeneous catalyst.

https://dx.doi.org/10.5935/0103-5053.20150327

Published online: November 24, 2015

 

Share PDF   Supplementary Information 

Total access: 2902


J. Braz. Chem. Soc. 2016, 27(4), 769-777

Cytotoxicity and Leishmanicidal Activity of Isoniazid-Derived Hydrazones and 2-Pyrazineformamide Thiosemicarbazones

Raquel S. Amim; Gisele S. S. Firmino; Ana C. P. D. Rego; Adriane L. Nery; Silvia A. G. Da-Silva; Marcus V. N. de Souza; Claudia Pessoa; Jackson A. L. C. Resende; José D. Figueroa-Villar; Josane A. Lessa

How to cite this article

 

Isoniazid-derived hydrazones are the most cytotoxic compounds, whereas the thiosemicarbazones are more selective against L. braziliensis strains.

https://dx.doi.org/10.5935/0103-5053.20150330

Published online: November 25, 2015

 

Share PDF   Supplementary Information 

Total access: 3114


J. Braz. Chem. Soc. 2016, 27(4), 778-786

Determination of CO2, CH4 and N2O: a Case Study for the City of Rio de Janeiro Using a New Sampling Method

Cleyton M. Silva; Sergio M. Corrêa; Graciela Arbilla

How to cite this article

 

A new sampling method, using polypropylene syringes and gas chromatography analysis was proposed and applied to determine greenhouse gases in the city of Rio de Janeiro.

https://dx.doi.org/10.5935/0103-5053.20150331

Published online: November 25, 2015

 

Share PDF   Supplementary Information 

Total access: 2677


J. Braz. Chem. Soc. 2016, 27(4), 787-793

PdCl2 Immobilized in Polyacrylamide: a Low Cost and Eco-Friendly Catalyst for Suzuki-Miyaura Reactions

Glademir Alvarenga; Caroline P. Ruas; Juliano R. M. Vicenti; Fábio A. Duarte; Marcos A. Gelesky; Gilber R. Rosa

How to cite this article

 

Pd/polyacrylamide (PAM) proved to be an efficient catalyst for Suzuki-Miyaura cross-coupling of ArI and ArBr in eco-friendly conditions.

https://dx.doi.org/10.5935/0103-5053.20150333

Published online: November 27, 2015

 

Share PDF   Supplementary Information 

Total access: 3055


Short Report J. Braz. Chem. Soc. 2016, 27(4), 794-798

Exploring the Versatility of an Atomic Absorption Spectrometer: Application to Direct Molecular Determination of Caffeine and Propranolol

Bruno L. Ferreira; Luciano Vitali; Eduardo S. Chaves

How to cite this article

 

A simple strategy for the application of an atomic absorption spectrometer to the direct determination of molecular compounds.

https://dx.doi.org/10.5935/0103-5053.20150312

Published online: November 16, 2015

 

Share PDF

Total access: 1764


J. Braz. Chem. Soc. 2016, 27(4), 799-806

Simultaneous Determination of Thorium and Uranium in Mineral Fertilizers by Inductively Coupled Plasma Optical Emission Spectrometry

Sidnei O. Souza; Dayara V. L. Avila; Adnívia S. C. Monteiro; Carlos Alexandre B. Garcia; José P. H. Alves; Tatiane A. Maranhao; Rennan G. O. Araujo

How to cite this article

 

The optimized analytical method was efficient, specific and selective for simultaneous determination of Th and U by inductively coupled plasma optical emission spectrometry (ICP OES) in mineral fertilizers.

https://dx.doi.org/10.5935/0103-5053.20150324

Published online: November 24, 2015

 

Share PDF   Supplementary Information 

Total access: 2647

Online version ISSN 1678-4790 Printed version ISSN 0103-5053
Journal of the Brazilian Chemical Society
JBCS Editorial and Publishing Office
University of Campinas - UNICAMP
13083-970 Campinas-SP, Brazil

Free access

GN1