JBCS

12:53, Sat Nov 29

Open Access/APCs

First slide
Second slide
Third slide
Third slide
Fifth slide
Sixth slide

vol. 27, No. 5, 2016, p. 807-977

 

Sustainability & Diversity Through Chemistry

On behalf of the Brazilian Chemical Society, it is our privilege and great pleasure to invite you to join us in Brazil and actively participate in the 46th World Chemistry Congress of the International Union of Pure and Applied Chemistry (IUPAC-2017), to be held in Sao Paulo, July 9-14, 2017. For the first time in South America, this represents a unique opportunity for Brazilians to host chemists from countries worldwide.
We are planning a meeting of outstanding scientific interest and quality in the world-famous city of Sao Paulo. The World Chemistry Congress will be held in the WTC Events Center, one of the best venues for events in Latin America, which is located not far from Guarulhos International Airport (36 km/22 miles) and Congonhas Airport (6 km/3.7 miles). Hotels, restaurants, banks, shopping areas, services and other attractions are available either within the WTC Complex or in the surrounds, mostly within walking distances. Sao Paulo's diverse cultural and gastronomic attractions can be reached by the city's large public transportation network, including a nearby Metro station.

(Read more at Editorial)


Cover Article
J. Braz. Chem. Soc. 2016, 27(5), 958-966

Iridium Catalysts for C-C and C-O Hydrogenolysis: Catalytic Consequences of Iridium Sites

Aracelis J. Pamphile-Adrián; Pedro P. Florez-Rodriguez; Fabio B. Passos

How to cite this article

Biodiesel production has lead to glycerol formation as byproduct. In this sense, glycerol hydrogenolysis reaction arises as an important route for obtaining higher value added productsthrough C-O and/or C-C cleavages. Structural and electronic surface requirements of supported iridium catalysts for this reaction were studied by means of cyclohexane hydrogenolysis as a model reaction for C-C cleavage, elucidating particle size and support effects on glycerol conversion. Details are presented in the Article Iridium Catalysts for C-C and C-O Hydrogenolysis: Catalytic Consequences of Iridium Sites by Aracelis J. Pamphile-Adrián, Pedro P. Florez-Rodriguez and Fabio B. Passos on page 958.

https://dx.doi.org/10.5935/0103-5053.20150354

Published online: December  15, 2015
Share PDF

Total access: 4417


Editorial J. Braz. Chem. Soc. 2016, 27(5), 807-808

Sustainability & Diversity Through Chemistry

Adriano D. Andricopulo; Luiz H. Catalani

How to cite this article

 

https://dx.doi.org/10.5935/0103-5053.20160127

Total access: 2966


Review J. Braz. Chem. Soc. 2016, 27(5), 809-825

Neurotoxic Effects Associated with Current Uses of Organophosphorus Compounds

Iris Mangas; Eugenio Vilanova; Jorge Estévez; Tanos C. C. França

How to cite this article

 

The action of organophosphorus (OPs) compounds on enzymes of the nervous system triggers several toxic effects.

https://dx.doi.org/10.5935/0103-5053.20160084

Published online: March 21, 2016

 

Share PDF

Total access: 2616


Articles J. Braz. Chem. Soc. 2016, 27(5), 826-833

Assessing Drug-Excipient Interactions in the Formulation of Isoniazid Tablets

Wagner Wollinger; Raphael A. da Silva; Andréa B. da Nóbrega; Rosangela S. C. Lopes; Claudio C. Lopes; Glaucia B. C. A. Slana

How to cite this article

 

A suitable and efficient method was developed for the determination of the tuberculostatic isoniazid and related impurities to study tablet excipients-drug compatibility.

https://dx.doi.org/10.5935/0103-5053.20150334

Published online: November 30, 2015

 

Share PDF

Total access: 2106


J. Braz. Chem. Soc. 2016, 27(5), 834-840

Application of Enzymes in Sunflower Oil Extraction: Antioxidant Capacity and Lipophilic Bioactive Composition

Suellen A. O. Ribeiro; Antonio E. Nicacio; Ana B. Zanqui; Polyana B. F. Biondo; Benício A. de Abreu-Filho; Jesui V. Visentainer; Sandra T. M. Gomes; Makoto Matsushita

How to cite this article

 

The application of enzymes in sunflower oil extraction represents a promising alternative to extraction methods that use toxic solvents, besides presenting larger quantities of some bioactive lipophilic compounds compared with conventional techniques.

https://dx.doi.org/10.5935/0103-5053.20150335

Published online: November 30, 2015

 

Share PDF

Total access: 2305


J. Braz. Chem. Soc. 2016, 27(5), 841-848

Thermodynamic Study on the Acid-Base Properties of Antioxidant Compound Ascorbic Acid in Different NaClO4 Aqueous Ethanol Solutions

Morteza Jabbari; Sedigheh Khosravinia

How to cite this article

 

The dependence on ionic strength of the protonation process of ascorbic acid in non-aqueous solutions of NaClO4 has been analyzed by means of the specific ion interaction theory (SIT). The protonation constants were calculated using the STAR (stability constants by absorbance reading) program.

https://dx.doi.org/10.5935/0103-5053.20150336

Published online: November 30, 2015

 

Share PDF

Total access: 2129


J. Braz. Chem. Soc. 2016, 27(5), 849-856

Electroanalytical Characterization of Montelukast Sodium and Its Voltammetric Determination in Pharmaceutical Dosage Form and Biological Fluids

Bernu Çölkesen; Funda Öztürk; Pınar E. Erden

How to cite this article

 

The presented square wave cathodic adsorptive stripping voltammetry method was found to be highly accurate and precise for the determination of montelukast sodium in commercial pharmaceutical preparations and spiked human serum.

https://dx.doi.org/10.5935/0103-5053.20150337

Published online: December 1, 2015

 

Share PDF

Total access: 1940


J. Braz. Chem. Soc. 2016, 27(5), 857-865

Degradation of the Dye Reactive Blue 4 by Coupled Photoassisted Electrochemistry at DSAr-Type Electrode

Rodrigo G. da Silva; Adalgisa R. de Andrade

How to cite this article

 

DSA®-type electrode with nominal composition Ti/Ru0.3Ti0.7O2 under ultraviolet radiation was employed aiming to enhance the degradation yields of the dye Reactive Blue 4. Photoassisted electrochemical process increases substantially the degradation of the organic compounds decreasing the energy cost.

https://dx.doi.org/10.5935/0103-5053.20150338

Published online: December 1, 2015

 

Share PDF

Total access: 2310


J. Braz. Chem. Soc. 2016, 27(5), 866-876

Investigation of Copper Extraction from Aqueous Sulfate Solution in a Rotating Disc Contactor

Maryam Kasaie; Hossein Bahmanyar; Mohammad A. Moosavian

How to cite this article

 

For evaluating the copper extraction applying rotating disc contactor apparatus, the aqueous phase pH and extractant concentration were primarily selected from batch experiments results. Then the effect of operating parameters on the copper extraction was investigated in rotating disc contactor column.

https://dx.doi.org/10.5935/0103-5053.20150339

Published online: December 1, 2015

 

Share PDF

Total access: 2232


J. Braz. Chem. Soc. 2016, 27(5), 877-883

Modelling of Lead Migration from Electronic Waste to Mixtures of Kaolinite, Iron Oxides and Organic Matter

Odilaine I. C. Damasceno; César Reis; Efraim L. Reis; Carlos R. Bellato; André F. de Oliveira

How to cite this article

 

The bioavailability of heavy metals in the environment may be affected by improper disposal of e-waste, which can ease migration of these chemical species, especially the lead. To investigate the migration of lead printed circuit boards for a simulated soil in small scale tests have been made wherein incubated printed circuit boards in mixtures containing organic matter, kaolin and iron oxide, based on a Simplex-Centroid experimental design.

https://dx.doi.org/10.5935/0103-5053.20150340

Published online: December 1, 2015

 

Share PDF

Total access: 1828


J. Braz. Chem. Soc. 2016, 27(5), 884-898

Conformational Variability in Sulfonamide Chalcone Hybrids: Crystal Structure and Cytotoxicity

Mirian R. C. de Castro; Angelo Q. Aragao; Cameron C. da Silva; Caridad N. Perez; Darlene P. K. Queiroz; Luiz Henrique K. Queiroz Júnior; Stefânio Barreto; Manoel O. de Moraes; Felipe Terra Martins

How to cite this article

 

Conformerism in four sulfonamide-chalcone hybrids and high cytotoxicity (low IC50) for two of them against three cancer cell lines.

https://dx.doi.org/10.5935/0103-5053.20150341

Published online: December 2, 2015

 

Share PDF   Supplementary Information 

Total access: 10999


J. Braz. Chem. Soc. 2016, 27(5), 899-904

An Efficient and Chemoselective Deprotection of Aryl tert-Butyldimethylsilyl (TBDMS) Ethers by NaCN

Xue-jun Qiao; Xiao Hou; Wu-hong Fang; Xue-fei Bao; Guo-liang Chen

How to cite this article

 

This is a mild, efficient, inexpensive and selective method for the deprotection of aryl tert-butyldimethylsilyl (TBDMS) ethers in the presence of alkyl silyl ethers using sodium cyanide (NaCN) in ethanol.

https://dx.doi.org/10.5935/0103-5053.20150342

Published online: December 3, 2015

 

Share PDF   Supplementary Information 

Total access: 3513


J. Braz. Chem. Soc. 2016, 27(5), 905-911

Nanocomposite of Poly(Lactic Acid)/Cellulose Nanocrystals: Effect of CNC Content on the Polymer Crystallization Kinetics

Mauro Vestena; Idejan P. Gross; Carmen M. O. Müller; Alfredo T. N. Pires

How to cite this article

 

Influence of the presence and content of cellulose nanocrystals on the poly(lactic acid) (PLA) crystallization kinetics, fitting to Avrami model.

https://dx.doi.org/10.5935/0103-5053.20150343

Published online: December 3, 2015

 

Share PDF

Total access: 2893


J. Braz. Chem. Soc. 2016, 27(5), 912-918

Development and Validation of a New Spectrophotometric Method for the Determination of Cephalexin Monohydrate in Pure Form and Pharmaceutical Formulations

Muhammad N. Khan; Jalal Ahmad; Muhammad N. Jan; Hussain Gulab; Muhammad Idrees

How to cite this article

 

A simple, fast, sensitive and accurate spectrophotometric method has been developed for the quantitative determination of cephalexin monohydrate in dosage form and in commercial formulations. The method involves the addition of CeIV to cephalexin in acidic medium, followed by the determination of residual CeIV by reacting with a fixed amount of methyl orange.

https://dx.doi.org/10.5935/0103-5053.20150345

Published online: December 7, 2015

 

Share PDF

Total access: 2307


J. Braz. Chem. Soc. 2016, 27(5), 919-924

Evaluation of the Use of a Reflux System for Sample Preparation of Xanthan Gum and Subsequent Determination of Ca, Cu, K, Mg, Na and Zn by Atomic Spectrometry Techniques

Michele B. da Rosa; Eliézer Q. Oreste; Daísa H. Bönemann; Amanda A. Rodrigues; Claire T. Vendruscolo; Angelita S. Moreira; Anderson S. Ribeiro; Adriane M. Nunes

How to cite this article

 

Sample preparation of xanthan gum by acid digestion using reflux system and determination of Ca, Cu, K, Mg, Na and Zn by using spectrometric techniques.

https://dx.doi.org/10.5935/0103-5053.20150346

Published online: December 7, 2015

 

Share PDF

Total access: 1979


J. Braz. Chem. Soc. 2016, 27(5), 925-932

Electrochemical and Quantum Chemical Investigations of the Insecticide Fipronil

Fabiano Okumura; Raquel B. Amaral; Ednilsom Orestes; Albérico B. F. Silva; Luiz Henrique Mazo

How to cite this article

 

Electrochemical oxidation of fipronil molecule over graphite-polyurethane electrode was investigated by voltammetric and quantum chemical methods.

https://dx.doi.org/10.5935/0103-5053.20150347

Published online: December 7, 2015

 

Share PDF

Total access: 2400


J. Braz. Chem. Soc. 2016, 27(5), 933-940

Hybrid Materials Based on Bentonite Functionalized with Amine Groups via the Hydrolytic Sol-Gel Method

Thales J. Gilberto; Liziane Marçal; Jhonatan M. Silva; Lucas A. Rocha; Katia J. Ciuffi; Emerson H. Faria; Eduardo J. Nassar

How to cite this article

 

The modified commercial bentonite can be used to remove pollutants. The sol-gel process affords homogeneous hybrid materials under mild conditions, at low temperature, allowing for incorporation of a variety of compounds into the matrix. Bentonite can be modified by the sol-gel process.

https://dx.doi.org/10.5935/0103-5053.20150348

Published online: December 10, 2015

 

Share PDF

Total access: 2351


J. Braz. Chem. Soc. 2016, 27(5), 941-949

Spectroelectrochemistry of Intrinsically Conducting Selenophene-3-Chlorothiophene Copolymers

Fadi Alakhras

How to cite this article

 

The electrochemical synthesis of selenophene-3-chlorothiophene copolymers was achieved potentiostatically. The spectroelectrochemical properties of the obtained films were investigated and compared with the individual homopolymers.

https://dx.doi.org/10.5935/0103-5053.20150349

Published online: December 11, 2015

 

Share PDF

Total access: 2023


J. Braz. Chem. Soc. 2016, 27(5), 950-957

A New Fluorescence Method for Determination of Ammonium Nitrogen in Aquatic Environment Using Derivatization with Benzyl Chloride

Guiping Cao; Yang Su; Yafeng Zhuang; Jilai Lu

How to cite this article

 

A new and sensitive procedure was developed for the fluorometric determination of ammonium nitrogen in water samples using derivatization with benzyl chloride.

https://dx.doi.org/10.5935/0103-5053.20150351

Published online: December 14, 2015

 

Share PDF

Total access: 1935


J. Braz. Chem. Soc. 2016, 27(5), 958-966

Iridium Catalysts for C-C and C-O Hydrogenolysis: Catalytic Consequences of Iridium Sites

Aracelis J. Pamphile-Adrián; Pedro P. Florez-Rodriguez; Fabio B. Passos

How to cite this article

 

C-C and C-O hydrogenolysis were compared on supported Ir catalysts from a fundamental point of view in order to determine the structure requirements and the state of the catalytic sites.

https://dx.doi.org/10.5935/0103-5053.20150354

Published online: December 15, 2015

 

Share PDF   Supplementary Information 

Total access: 4417


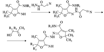
Short Report J. Braz. Chem. Soc. 2016, 27(5), 967-970

Synthesis of New Bis-Iminodihydrofurans

Gayane G. Tokmajyan; Lusine V. Karapetyan

How to cite this article

 

This sequence of reactions opens the new approach to the synthesis of novel polyheteroconjugated systems, consisting from iminodihydrofuran rings.

https://dx.doi.org/10.5935/0103-5053.20150350

Published online: December 11, 2015

 

Share PDF   Supplementary Information 

Total access: 2845


J. Braz. Chem. Soc. 2016, 27(5), 971-977

Orientation of Pterin-6-Carboxylic Acid on Gold Capped Silicon Nanopillars Platforms: Surface Enhanced Raman Spectroscopy and Density Functional Theory Studies

John J. Castillo; Ciro E. Rozo; Linda Bertel; Tomas Rindzevicius; Stelia C. Mendez‑Sanchez; Fernando Martínez Ortega; Anja Boisen

How to cite this article

 

The figure shows a gold nanopillar scanning electron microscopy (SEM) image of pterin-6-carboxylic acid adsorbed on the head of the nanopillar. Leaning of nanopillars leads to an effective accumulation of pterin-6-carboxylic acid molecules within the electromagnetic hot spots in the proximity of the gold nanopillars where the Raman scattering signal is enhanced the most.

https://dx.doi.org/10.5935/0103-5053.20150352

Published online: December 15, 2015

 

Share PDF   Supplementary Information 

Total access: 3119

Online version ISSN 1678-4790 Printed version ISSN 0103-5053
Journal of the Brazilian Chemical Society
JBCS Editorial and Publishing Office
University of Campinas - UNICAMP
13083-970 Campinas-SP, Brazil

Free access

GN1