JBCS

13:25, Sat Nov 29

Open Access/APCs

First slide
Second slide
Third slide
Third slide
Fifth slide
Sixth slide

vol. 27, No. 6, 2016, p. 979-1136

 

Our menu illustrates a recurring struggle that theoretical chemists face in their daily activities regarding their adopted charge model. Should we settle with a free sample that may not be satisfying? Sometimes the affordable choice tastes a little fishy. If you are willing to spend more you might not suffer indigestion! Details are presented in the Review Review of Experimental GAPT and Infrared Atomic Charges in Molecules by Wagner E. Richter, Leonardo J. Duarte, Arnaldo F. Silva and Roy E. Bruns on page 979.


Cover Article
J. Braz. Chem. Soc. 2016, 27(6), 979-991

Review of Experimental GAPT and Infrared Atomic Charges in Molecules

Wagner E. Richter; Leonardo J. Duarte; Arnaldo F. Silva; Roy E. Bruns

How to cite this article

Our menu illustrates a recurring struggle that theoretical chemists face in their daily activities regarding their adopted charge model. Should we settle with a free sample that may not be satisfying? Sometimes the affordable choice tastes a little fishy. If you are willing to spend more you might not suffer indigestion! Details are presented in the Review Review of Experimental GAPT and Infrared Atomic Charges in Molecules by Wagner E. Richter, Leonardo J. Duarte, Arnaldo F. Silva and Roy E. Bruns on page 979.

https://dx.doi.org/10.5935/0103-5053.20160105

Published online: April  6, 2016
Share PDF

Total access: 5017


Review J. Braz. Chem. Soc. 2016, 27(6), 979-991

Review of Experimental GAPT and Infrared Atomic Charges in Molecules

Wagner E. Richter; Leonardo J. Duarte; Arnaldo F. Silva; Roy E. Bruns

How to cite this article

 

The atomic charges of carbon monoxide from some of the most used charge models. With the exception of generalized atomic polar tensor (GAPT), they all agree well with the almost null dipole moment. We would rather buy quantum theory of atoms in molecules (QTAIM). It's more expensive but works well.

https://dx.doi.org/10.5935/0103-5053.20160105

Published online: April 6, 2016

 

Share PDF   Supplementary Information 

Total access: 5017


Articles J. Braz. Chem. Soc. 2016, 27(6), 992-997

Analysis of Blotter Papers Employed in the Commercialization of New Hallucinogenic Substances of the 2,5-Dimethoxy-N-(2-methoxybenzyl) Phenethylamine Series Seized in the City of Bogotá by Applying Gas Chromatography Coupled to a Selective Mass Ion Trap Detector

Diego A. Sánchez Robayo; William F. Garzón Mendez; Gonzalo Taborda Ocampo; Milton Rosero Moreano

How to cite this article

 

Sample of blotter paper seized in the streets of Bogotá, analyzed by gas chromatography coupled to a selective mass ion trap detector (GC-MS IT) containing three different synthetic drugs.

https://dx.doi.org/10.5935/0103-5053.20150353

Published online: December 15, 2015

 

Share PDF

Total access: 2249


J. Braz. Chem. Soc. 2016, 27(6), 998-1006

Oxidative Desulfurization of Gasoline by Ionic Liquids Coupled with Extraction by Organic Solvents

Rashid Abro; Shurong Gao; Xiaochun Chen; Guangren Yu; Ahmed A. Abdeltawab; Salem S. Al-Deyab

How to cite this article

 

Oxidative desulfurization (ODS) of gasoline by ionic liquids (ILs) coupled with extraction by organic solvents is a potential method to produce clean gasoline.

https://dx.doi.org/10.5935/0103-5053.20150355

Published online: December 16, 2015

 

Share PDF

Total access: 2647


J. Braz. Chem. Soc. 2016, 27(6), 1007-1013

Synthesis, Characterization and Catalytic Performance of a Novel Picolinic Acid-12-Molybdophosphoric Acid Hybrid Catalyst

Lijun Liu; Honghong Wang; Shuwen Gong; Jing Lu; Qian Zhang

How to cite this article

 

A novel picolinic acid-12-molybdophosphoric acid hybrid complex was prepared and characterized. The complex was demonstrated to be a highly efficient and reusable solid-liquid heterogeneous catalyst for esterification.

https://dx.doi.org/10.5935/0103-5053.20150356

Published online: December 16, 2015

 

Share PDF   Supplementary Information 

Total access: 4095


J. Braz. Chem. Soc. 2016, 27(6), 1014-1025

Kinetic Analysis of the Decomposition of the KFe3(SO4)2−x(CrO4)x(OH)6 Jarosite Solid Solution in Ca(OH)2 Medium

Ister Mireles; Iván A. Reyes; Víctor H. Flores; Francisco Patiño; Mizraim U. Flores; Martín Reyes; Manuel Acosta; Roel Cruz; Emmanuel J. Gutiérrez

How to cite this article

 

Jarosite-type compounds can undergo several kinds of substitutions thanks to the different coordination environments in their structure; many of those substitutions can be made by elements of environmental importance, such as chromium(VI). Furthermore, they possess high stability in a wide range of pH and temperature, so they could be excellent deposits of toxic elements.

https://dx.doi.org/10.5935/0103-5053.20150357

Published online: December 16, 2015

 

Share PDF

Total access: 2224


J. Braz. Chem. Soc. 2016, 27(6), 1026-1031

Differentiation Among Brazilian Wine Regions Based on Lead Isotopic Data

Cibele M. S. Almeida; Ana C. Almeida; Maria Luíza D. P. Godoy; Tatiana D. Saint'Pierre; José M. Godoy

How to cite this article

 

Lead isotopic composition was applied as a tool to differentiate among Brazilian red wine origin. The results have demonstrate that is possible to discriminate between wines produced on the Southern region from those produced on Vale do Sao Francisco.

https://dx.doi.org/10.5935/0103-5053.20150358

Published online: December 17, 2015

 

Share PDF   Supplementary Information 

Total access: 3643


J. Braz. Chem. Soc. 2016, 27(6), 1032-1039

Antiprotozoal Activity of the Cyclopalladated Complexes Against Leishmania amazonensis and Trypanosoma cruzi

Angela M. A. Velásquez; Rodrigo A. de Souza; Thaís G. Passalacqua; Aline R. Ribeiro; Mateus Scontri; Chung M. Chin; Leticia de Almeida; Mayara L. Del Cistia; Joao A. da Rosa; Antonio E. Mauro; Marcia A. S. Graminha

How to cite this article

 

The cyclopalladated complexes showed leishmanicidal and trypanocidal activities. [Pd(dmba)(μ-NCO)]2 showed to be the most active compound against Leishmania amazonensis and Trypanosoma cruzi intracellular amastigote forms.

https://dx.doi.org/10.5935/0103-5053.20150360

Published online: December 21, 2015

 

Share PDF   Supplementary Information 

Total access: 3246


J. Braz. Chem. Soc. 2016, 27(6), 1040-1047

Biosensor Based on Cysteine Monolayer and Monoclonal Antibody for Specific Detection of Aflatoxin B1 in Rice

Estéfani P. Simao; Gilcelia J. L. S. Barbieri; Cesar A. S. Andrade; Maria D. L. Oliveira

How to cite this article

 

A self-assembled monolayer of cysteine bound monoclonal antibodies was used to build an immunosensor for aflatoxin B1 detection in rice.

https://dx.doi.org/10.5935/0103-5053.20150361

Published online: December 21, 2015

 

Share PDF

Total access: 2423


J. Braz. Chem. Soc. 2016, 27(6), 1048-1054

Compounds of Anthostomella brabeji, an Endophytic Fungus Isolated from Paepalanthus planifolius (Eriocaulaceae)

Marcelo R. de Amorim; Andressa Somensi; Angela R. Araujo; Bruna V. Bonifácio; Tais M. Bauab; Lourdes C. dos Santos

How to cite this article

 

New compound (+)-(6R*,7S*,8R*)-6,7,8-trihydroxy-2,2-dimethyl-5,6,7,8-tetrahydro-chroman-4-one isolated from Anthostomella brabeji.

https://dx.doi.org/10.5935/0103-5053.20150362

Published online: December 21, 2015

 

Share PDF   Supplementary Information 

Total access: 3334


J. Braz. Chem. Soc. 2016, 27(6), 1055-1059

Determination of Phenolic Acids and Quercetin in Brazilian Red Wines from Vale do Sao Francisco Region Using Liquid-Liquid Ultrasound-Assisted Extraction and HPLC-DAD-MS

Fabio de S. Dias; Jorge M. David; Juceni P. David

How to cite this article

 

Phenolic compounds are responsible for the colors and flavors of wines, and their presence has been associated with some beneficial effects on human health. In this work chromatographic methods were used for the determination of phenolic acids in wines produced from the Sao Francisco region, Brazil, which is in the boundary between Bahia and Pernambuco States.

https://dx.doi.org/10.5935/0103-5053.20150363

Published online: December 22, 2015

 

Share PDF   Supplementary Information 

Total access: 3416


J. Braz. Chem. Soc. 2016, 27(6), 1060-1066

Effect of Metal Dispersion on the Hydrogenation of 2-Amyl Anthraquinone over Pd/Al2O3 Catalyst

Xiaotong Li; Hongjiu Su; Gaoyuan Ren; Shudong Wang

How to cite this article

 

The turnover frequency (TOF) of amyl anthraquinone showed antipathetic size dependence. The space time yield (STY) of hydrogen peroxide peaked at 4 nm.

https://dx.doi.org/10.5935/0103-5053.20160001

Published online: January 13, 2016

 

Share PDF

Total access: 2197


J. Braz. Chem. Soc. 2016, 27(6), 1067-1077

Quantification of Synthetic Amino-Nitroquinoxaline Dyes: An Approach Using Image Analysis

Lilian C. da Silva; Djalan F. de Lima; Janine A. Silva; Camilo L. M. de Morais; Brunno L. Albuquerque; Adailton J. Bortoluzzi; Josiel B. Domingos; Renata M. Araújo; Fabrício G. Menezes; Kássio M. G. Lima

How to cite this article

 

This paper describes the use of digital imaging acquired from a conventional desktop scanner for characterization of newly synthesized amino-nitroquinoxaline dyes through their color change signatures.

https://dx.doi.org/10.5935/0103-5053.20160002

Published online: January 14, 2016

 

Share PDF   Supplementary Information 

Total access: 3501


J. Braz. Chem. Soc. 2016, 27(6), 1078-1082

Derivatives of Cardanol through the Ene Reaction with Diethyl Azodicarboxylate

Atanu Biswas; Carlucio R. Alves; Maria T. S. Trevisan; Janet Berfield; Roselayne F. Furtado; Zengshe Liu; Huai N. Cheng

How to cite this article

 

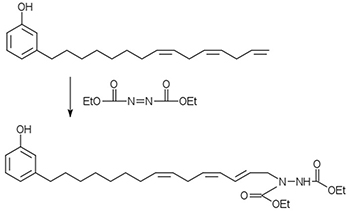
Schematic reaction of cardanol with diethyl azodicarboxylate to form one of the ene reaction products.

https://dx.doi.org/10.5935/0103-5053.20160003

Published online: January 14, 2016

 

Share PDF   Supplementary Information 

Total access: 3288


J. Braz. Chem. Soc. 2016, 27(6), 1083-1093

Improvement of the Extraction Process for High Commercial Value Pigments from Desmodesmus sp. Microalgae

Aline T. Soares; Jair G. Marques Júnior; Rafael G. Lopes; Roberto B. Derner; Nelson R. Antoniosi Filho

How to cite this article

 

Desmodesmus sp. microalgae cultivation leads to high biomass production. Different pigment extraction methods from the microalgae cells were tested. Chromatographic identification and quantification from pigments extract revealed the major carotenoids in different extraction methods.

https://dx.doi.org/10.5935/0103-5053.20160004

Published online: January 15, 2016

 

Share PDF

Total access: 3924


J. Braz. Chem. Soc. 2016, 27(6), 1094-1102

Efficient Mineralization of Paracetamol Using the Nanocomposite TiO2/Zn(II) Phthalocyanine as Photocatalyst

Marcela D. França; Lidiaine M. Santos; Tatiana A. Silva; Karen A. Borges; Valdislaine M. Silva; Antonio O. T. Patrocinio; Alam G. Trovó; Antonio E. H. Machado

How to cite this article

 

A TiO2/Zn(II) phthalocyanine nanocomposite () showed to be up to 15% better than TiO2-P25 () in promoting the mineralization of paracetamol. For both photocatalysts the mineralization is affected by pH of the reaction medium with maximum efficiency nearby their isoelectric points.

https://dx.doi.org/10.5935/0103-5053.20160007

Published online: January 15, 2016

 

Share PDF

Total access: 2508


J. Braz. Chem. Soc. 2016, 27(6), 1103-1108

Synthesis of CL-20 from TADB in a One-Pot Method by Zeolite/HNO3 as a New Nitrolysis System

Yadollah Bayat; Fatemeh Hajighasemali; Ali Mohajeri

How to cite this article

 

Hexanitrohexaazaisowurtzitane (CL-20), the most energetic explosive known to date, has been synthesized through a one-pot nitrolysis reaction using zeolite/HNO3.The optimization of reaction parameters has been studied.

https://dx.doi.org/10.5935/0103-5053.20160008

Published online: January 18, 2016

 

Share PDF   Supplementary Information 

Total access: 3130


J. Braz. Chem. Soc. 2016, 27(6), 1109-1115

Synthesis of Novel 2-Aryl-3-(2-morpholinoethyl)-1,3-thiazinan-4-ones Via Ultrasound Irradiation

Daniela P. Gouvêa; Gabriele A. Berwaldt; Patrícia D. Neuenfeldt; Ricardo J. Nunes; Wanda P. Almeida; Wilson Cunico

How to cite this article

 

Thiazinanones from 2-morpholinoethylamine were obtained by thermal heating and sonochemistry methodologies.

https://dx.doi.org/10.5935/0103-5053.20160009

Published online: January 19, 2016

 

Share PDF   Supplementary Information 

Total access: 3607


Short Report J. Braz. Chem. Soc. 2016, 27(6), 1116-1120

Enantiomeric Separation of Sibutramine by Capillary Zone Electrophoresis

Gabriel Hancu; Alexandra Hilochie; Alexandru-Robert Vlad; Anca Cârje; Amelia Tero-Vescan

How to cite this article

 

Chiral separation of sibutramine enantiomers by capillary zone electrohoresis using cyclodextrins as chiral selectors.

https://dx.doi.org/10.5935/0103-5053.20150359

Published online: December 18, 2015

 

Share PDF

Total access: 2048


J. Braz. Chem. Soc. 2016, 27(6), 1121-1128

Acetaminophen Prodrug: Microwave-Assisted Synthesis and in vitro Metabolism Evaluation by Mass Spectrometry

Valter E. Murie; Lucas M. M. Marques; Glória E. P. Souza; Anderson R. M. Oliveira; Norberto P. Lopes; Giuliano C. Clososki

How to cite this article

 

A microwave-assisted reaction allows the isolation of propacetamol hydrochloride in high purity and yield. Mass spectrometry was used to evaluate an active pharmaceutical ingredient (API) microsomal reaction.

https://dx.doi.org/10.5935/0103-5053.20160005

Published online: January 15, 2016

 

Share PDF   Supplementary Information 

Total access: 4216


J. Braz. Chem. Soc. 2016, 27(6), 1129-1136

Appel Reaction of Carboxylic Acids with Tribromoisocyanuric Acid/Triphenylphosphine: a Mild and Acid-Free Preparation of Esters and Amides

Haryadylla da Cunha Sindra; Marcio C. S. de Mattos

How to cite this article

 

A new and easy methodology for esterification and amidation of carboxylic acids promoted by triphenylphosphine and tribromoisocyanuric acid.

https://dx.doi.org/10.5935/0103-5053.20160006

Published online: January 15, 2016

 

Share PDF   Supplementary Information 

Total access: 3938

Online version ISSN 1678-4790 Printed version ISSN 0103-5053
Journal of the Brazilian Chemical Society
JBCS Editorial and Publishing Office
University of Campinas - UNICAMP
13083-970 Campinas-SP, Brazil

Free access

GN1