JBCS

12:53, Sat Nov 29

Open Access/APCs

First slide
Second slide
Third slide
Third slide
Fifth slide
Sixth slide

vol. 27, No. 10, 2016, p. 1705-1923

 

It Is Necessary to Resist

History tells that a few weeks after United States drops the atomic bombs in Hiroshima and Nagazaki, finishing the II World War, the Nobel Prize winner Linus Pauling starts to give speeches to different kinds of audiences, with the purpose of making the scientific issues related to the bomb understandable to the public. As an eminent scientist in the nuclear field, Pauling had been previously invited to join the Manhattan Project at their beginning, but he had refused. Pauling was convinced that the nascent atomic age imputed strong political responsibilities to the scientists, and he worked hard to stop the nuclear proliferation, which resulted in his indication to the Peace Nobel Prize several years after, in 1962. At that time Pauling declared: "I feel that, in addition to our professional activities, we should make our voices known with respect to the political significance of science."
(Read more at Editorial)


Cover Article
J. Braz. Chem. Soc. 2016, 27(10), 1866-1871

Tunable Photochemical/Redox Properties of (Phenylthio)ncorannulenes: Application to a Photovoltaic Device

Angela Steinauer; Anna M. Butterfield; Anthony Linden; Agustin Molina-Ontario; David C. Buck; Robert W. Cotta; Luis Echegoyen; Kim K. Baldridge; Jay S. Siegel

How to cite this article

The number of petals on a flower can be key to its taxonomy and properties, so too the number of thiophenyl groups on a corannulene imbue it with color, radiance and (electron) attractiveness. Each phenylthio derivative (n = 0-10) presents like a flower in a bouquet, assembling a veritable anthology of aromatics. Stemming from this chemical florilegium are principle additivity parameters useful for predicting the character of future corannulene-based inflorescence. Details are presented in the Article Tunable Photochemical/Redox Properties of (Phenylthio)ncorannulenes: Application to a Photovoltaic Device by Angela Steinauer, Anna M. Butterfield, Anthony Linden, Agustin Molina-Ontario, David C. Buck, Robert W. Cotta, Luis Echegoyen, Kim K. Baldridge, and Jay S. Siegel on page 1866.

https://dx.doi.org/10.5935/0103-5053.20160072

Published online: March  9, 2016
Share PDF

Total access: 5305


Editorial J. Braz. Chem. Soc. 2016, 27(10), 1705

It Is Necessary to Resist

Aldo José Gorgatti Zarbin

How to cite this article

 

https://dx.doi.org/10.21577/0103-5053.20160254

Total access: 3778


Articles J. Braz. Chem. Soc. 2016, 27(10), 1706-1714

Preparation of Two Maleic Acid Sulfonamide Salts and Their Copper(II) Complexes and Antiglaucoma Activity Studies

Cengiz Yenikaya; Halil İlkimen; Mehmet Melih Demirel; Burçin Ceyhan; Metin Bülbül; Ekrem Tunca

How to cite this article

 

Two proton transfer salts and three copper(II) complexes have been synthesized and their antiglaucoma activities were studied in vitro.

https://dx.doi.org/10.5935/0103-5053.20160051

Published online: February 16, 2016

 

Share PDF   Supplementary Information 

Total access: 3456


J. Braz. Chem. Soc. 2016, 27(10), 1715-1726

Solid Phase Extraction to On-Line Preconcentrate Trace Cadmium Using Chemically Modified Nano-Carbon Black with 3-Mercaptopropyltrimethoxysilane

Caroline D. Zappielo; Daniel M. Nanicuacua; Walter N. L. dos Santos; Daniel L. F. da Silva; Luiz H. Dall'Antônia; Fernanda M. de Oliveira; Débora N. Clausen; César R. T. Tarley

How to cite this article

 

Modified carbon black was used as an alternative nano-carbonaceous material for the preconcentration of trace levels of Cd2+ in different samples with posterior determination by flame atomic absorption spectrometry (FAAS).

https://dx.doi.org/10.5935/0103-5053.20160052

Published online: February 16, 2016

 

Share PDF

Total access: 2823


J. Braz. Chem. Soc. 2016, 27(10), 1727-1735

Effects of Different Numbers of Fungicide Application on the Proximate Composition of Soybean

Roger N. Michels; Elton G. Bonafe; Luana C. Figueiredo; Rúbia M. Suzuki; Lilian D. Tonin; Paula F. Montanher; Alessandro Francisco Martins; Jesui V. Visentainer; Marcelo G. Canteri; Marcelo Augusto A. Silva

How to cite this article

 

Concentration evaluated of many compounds such as phytosterols, tocopherols, fatty acids and antioxidant, after different applications of fungicides.

https://dx.doi.org/10.5935/0103-5053.20160053

Published online: February 16, 2016

 

Share PDF

Total access: 2377


J. Braz. Chem. Soc. 2016, 27(10), 1736-1743

The HPLC Fingerprint Analysis of Selected Cirsium Species with Aid of Chemometrics

Anna M. Hawrył; Agata Ziobro; Ryszard S. Swieboda; Mirosław A. Hawrył; Mykhaylo Chernetskyy; Monika Waksmundzka-Hajnos

How to cite this article

 

Twelve Cirsium sp. methanolic extracts were analyzed using high-performance liquid chromatography to construct the appropriate fingerprint chromatograms. Obtained chromatograms were compared using various similarity and distance indices and the obtained results were compiled using principal component analysis (PCA).

https://dx.doi.org/10.5935/0103-5053.20160054

Published online: February 17, 2016

 

Share PDF

Total access: 2167


J. Braz. Chem. Soc. 2016, 27(10), 1744-1749

Ibuprofen, Carbamazepine and β-Estradiol Determination Using Thin-Film Microextraction and Gas Chromatography-Mass Spectrometry

Ady Giordano; José Vásquez; Mauricio Retamal; Loreto Ascar

How to cite this article

 

Thin-film extraction procedure used for the determination of selected compounds from water samples.

https://dx.doi.org/10.5935/0103-5053.20160055

Published online: February 18, 2016

 

Share PDF

Total access: 2014


J. Braz. Chem. Soc. 2016, 27(10), 1750-1765

Estuary Adjacent to a Megalopolis as Potential Disrupter of Carbon and Nutrient Budgets in the Coastal Ocean

Letícia Lazzari; Angela L. R. Wagener; Cássia O. Farias; Aída P. Baêta; Cristiane R. Mauad; Alexandre M. Fernandes; Rodolfo Paranhos; Renato S. Carreira

How to cite this article

 

Organic carbon (OC), N and P daily flow rates from Guanabara Bay to coastal ocean were obtained. Estimated OC, N and P flow rates are regionally and globally significant. Carbon (δ13C) and nitrogen (δ15N) isotopic composition and sterols reveal export of labile carbon, thus, of high nutritive value. The photo was taken during sampling.

https://dx.doi.org/10.5935/0103-5053.20160056

Published online: February 18, 2016

 

Share PDF   Supplementary Information 

Total access: 3155


J. Braz. Chem. Soc. 2016, 27(10), 1766-1773

Phosphate Modification of Nano Titania and Its Effect on the Photodegradation of EDTA

Effat Iravani; Sareh Ammari Allahyari; Meisam Torab-Mostaedi

How to cite this article

 

Efficiency and kinetic of ethylenediaminetetraacetic acid disodium salt (EDTA) degradation showed considerable performance in the presence of phosphate modified nano titania compared to untreated nano titania probably due to better EDTA adsorption.

https://dx.doi.org/10.5935/0103-5053.20160057

Published online: February 18, 2016

 

Share PDF   Supplementary Information 

Total access: 2887


J. Braz. Chem. Soc. 2016, 27(10), 1774-1781

Synthesis, Surface Properties and Biological Activity of Long Chain Ammonium Herbicidal Ionic Liquids

Rafał Giszter; Marta Fryder; Katarzyna Marcinkowska; Agata Sznajdrowska

How to cite this article

 

Herbicidal ionic liquids tend to prevent drops from running off the leaf and improve the wettability. Increasing time of contact with the surface of the leaves has a positive influence on the herbicide formulation efficacy.

https://dx.doi.org/10.5935/0103-5053.20160058

Published online: February 18, 2016

 

Share PDF   Supplementary Information 

Total access: 3130


J. Braz. Chem. Soc. 2016, 27(10), 1782-1791

Application of an Accurate and Validated Method for Identification and Quantification of Acrylamide in Bread, Biscuits and Other Bakery Products Using GC-MS/MS System

Mioara Negoiță; Alina Culețu

How to cite this article

 

Separation, detection, identification and quantification of acrylamide.

https://dx.doi.org/10.5935/0103-5053.20160059

Published online: February 18, 2016

 

Share PDF

Total access: 2556


J. Braz. Chem. Soc. 2016, 27(10), 1792-1799

Application of Solvent Demulsification-Dispersive Liquid-Liquid Microextraction Based on Solidification of Floating Organic Drop Coupled with High Perfomence Liquid Chromatography in Determination of Sulfonylurea Herbicides in Water and Soil

Li Yan; Zhu Jing; Ren Lin; Li Yongxin; Zou Xiaoli

How to cite this article

 

SD-SFO-DLLME (solvent-based demulsification and solidification of a floating organic drop combined with dispersive liquid-liquid microextraction): extractant and dispersing reagent were injected into the sample solution to extract the target compounds for HPLC-UV (high performance liquid chromatography with ultraviolet detection) analysis.

https://dx.doi.org/10.5935/0103-5053.20160060

Published online: February 24, 2016

 

Share PDF

Total access: 2075


J. Braz. Chem. Soc. 2016, 27(10), 1800-1806

Evaluating the "Tape Tea" Myth as Low Cost Abuse Drug through Mass Spectrometry

Eraldo L. Lehmann; Deleon N. Correa; Eduardo M. Schmidt; Marcos N. Eberlin; Marco A. Z. Arruda

How to cite this article

 

This graphical abstract summarizes the dangers of drinking "tape tea" due to the presence of neurotoxic and carcinogenic elements.

https://dx.doi.org/10.5935/0103-5053.20160061

Published online: February 24, 2016

 

Share PDF

Total access: 2506


J. Braz. Chem. Soc. 2016, 27(10), 1807-1813

Synthesis and Antifungal Activity Against Candida Strains of Mesoionic System Derived From 1,3-Thyazolium-5-thiolate

Isabelle N. Peixoto; Helivaldo D. S. Souza; Bruno F. Lira; Daniele F. Silva; Edeltrudes O. Lima; José M. Barbosa-Filho; Petrônio F. de Athayde-Filho

How to cite this article

 

Ten new mesoionic derivatives from the 1,3-thiazolium-5-thiolate system with substituted acetamides were synthesized, had their potential as new drug evaluated in an in silico study and in their activity as antifungal against strains of Candida albicans.

https://dx.doi.org/10.5935/0103-5053.20160063

Published online: February 26, 2016

 

Share PDF   Supplementary Information 

Total access: 20214


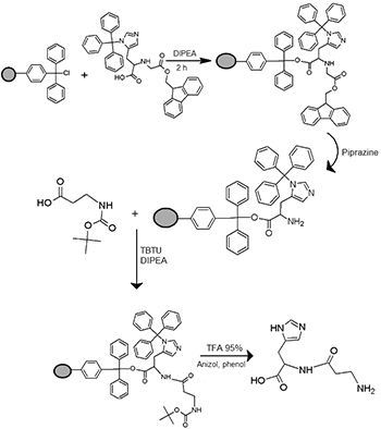
J. Braz. Chem. Soc. 2016, 27(10), 1814-1819

Solid-Phase Peptide Synthesis of Dipeptide (Histidine-β-Alanine) as a Chelating Agent by Using Trityl Chloride Resin, for Removal of Al3+, Cu2+, Hg2+ and Pb2+: Experimental and Theoretical Study

Rahmatollah Rahimi; Maryam Khosravi; Mohammd H. H. Tehrani; Mahboubeh Rabbani; Ebrahim Safavi

How to cite this article

 

Solid-phase peptide synthesis of dipeptide (histidine-β-alanine) as a chelating agent examined. Trityl chloride resin was used as a carrier.

https://dx.doi.org/10.5935/0103-5053.20160064

Published online: March 1, 2016

 

Share PDF   Supplementary Information 

Total access: 4226


J. Braz. Chem. Soc. 2016, 27(10), 1820-1831

Iodine(III)-Mediated Ring Contraction Reactions: Synthesis of Oxygen- and Nitrogen-Substituted Indanes

Anees Ahmad; Luiz F. Silva Júnior

How to cite this article

 

The oxygen- and nitrogen-substituted indanes were prepared in good yield through iodine(III)-mediated ring contraction of 1,2-dihydronaphthalenes.

https://dx.doi.org/10.5935/0103-5053.20160065

Published online: March 1, 2016

 

Share PDF   Supplementary Information 

Total access: 3208


J. Braz. Chem. Soc. 2016, 27(10), 1832-1837

Atmospheric Pressure Continuous Production of Solketal from the Acid-Catalyzed Reaction of Glycerol with Acetone

Paula A. Oliveira; Rodrigo O. M. A. Souza; Claudio J. A. Mota

How to cite this article

 

Continuous-flow production of solketal under atmospheric pressure by acid catalyzed ketalization of glycerol.

https://dx.doi.org/10.5935/0103-5053.20160066

Published online: March 3, 2016

 

Share PDF

Total access: 2263


J. Braz. Chem. Soc. 2016, 27(10), 1838-1846

Characterization of the Fruit Pulp of Camu-Camu (Myrciaria dubia) of Seven Different Genotypes and Their Rankings Using Statistical Methods PCA and HCA

Camila A. B. Freitas; Antonio S. Silva; Cláudio N. Alves; Walnice M. O. Nascimento; Alessandra S. Lopes; Marcelo O. Lima; Regina C. S. Müller

How to cite this article

 

The metal contents and physicochemical properties were evaluated in samples of camu-camu from Pará (Amazonia region). The dendrogram shows the separation of 7 genotypes.

https://dx.doi.org/10.5935/0103-5053.20160067

Published online: March 3, 2016

 

Share PDF

Total access: 2178


J. Braz. Chem. Soc. 2016, 27(10), 1847-1857

Electrochromic Properties of Polyaniline-Based Hybrid Organic/Inorganic Materials

Rosanny C. Silva; Marina V. Sarmento; Roselena Faez; Roger J. Mortimer; Adriana S. Ribeiro

How to cite this article

 

This scheme summarises the spectroelectrochemical results obtained for the samples of the hybrid materials based on polyaniline, chitosan and/or an organically modified clay.

https://dx.doi.org/10.5935/0103-5053.20160068

Published online: March 3, 2016

 

Share PDF

Total access: 2412


J. Braz. Chem. Soc. 2016, 27(10), 1858-1865

A Study of the Interaction Between trans-Dehydrocrotonin, a Bioactive Natural 19-nor-Clerodane, and Serum Albumin

Otávio Augusto Chaves; Breno A. Soares; Maria Aparecida M. Maciel; Carlos Maurício R. Sant'Anna; José Carlos Netto-Ferreira; Dari Cesarin-Sobrinho; Aurélio B. B. Ferreira

How to cite this article

 

The binding between serum albumin and the bioactive 19-nor-clerodane trans-dehydrocrotonin (t-DCTN) is weak and essentially due to hydrophobic interactions.

https://dx.doi.org/10.5935/0103-5053.20160069

Published online: March 4, 2016

 

Share PDF

Total access: 2366


J. Braz. Chem. Soc. 2016, 27(10), 1866-1871

Tunable Photochemical/Redox Properties of (Phenylthio)ncorannulenes: Application to a Photovoltaic Device

Angela Steinauer; Anna M. Butterfield; Anthony Linden; Agustin Molina-Ontario; David C. Buck; Robert W. Cotta; Luis Echegoyen; Kim K. Baldridge; Jay S. Siegel

How to cite this article

 

The additive substituent effect of phenylmercaptoderivatives of corannulene are investigated by spectroscopic and electrochemical techniques. The per-substituted phenylmercaptocorannulene is incorporated as a replacement for [6,6]-phenyl-C61-butyric acid methyl ester (PCBM) in a photovoltaic device.

https://dx.doi.org/10.5935/0103-5053.20160072

Published online: March 9, 2016

 

Share PDF   Supplementary Information 

Total access: 5305


J. Braz. Chem. Soc. 2016, 27(10), 1872-1880

Chemical Profile and Cytotoxic Activity of Leaf Extracts from Senna spp. from Northeast of Brazil

Juliana G. A. Silva; Alexander A. Silva; Isabel D. Coutinho; Claudia O. Pessoa; Alberto J. Cavalheiro; Maria G. V. Silva

How to cite this article

 

Using dereplication, gas chromatography coupled to mass spectrometry (GC-MS) and multivariate analyses by hierarchical cluster analysis (HCA) and partial least squares-discriminant analysis (PLS-DA), of 12 extracts from four Senna spp., hit compounds were identified and the steps of extract fractionation and purification of known compounds were avoided; therefore, in the prospect for new drug prototypes from biological sources, the research approach was improved.

https://dx.doi.org/10.5935/0103-5053.20160073

Published online: March 14, 2016

 

Share PDF   Supplementary Information 

Total access: 3914


J. Braz. Chem. Soc. 2016, 27(10), 1881-1888

On-line Green Solid Phase Extraction of Trace Rare Earth Elements and Uranium in Environmental Samples and ICP OES Detection

Naeemeh Zari; Jalal Hassan; Kourosh Tabar-Heydar; Seyyed H. Ahmadi

How to cite this article

 

Green online pre-concentration of rare earth elements REEs and uranium followed by inductively coupled plasma optical emission spectrometry (ICP OES) determination in environmental samples.

https://dx.doi.org/10.5935/0103-5053.20160074

Published online: March 14, 2016

 

Share PDF   Supplementary Information 

Total access: 3013


J. Braz. Chem. Soc. 2016, 27(10), 1889-1898

Ethanol Production from Sugarcane Bagasse Using Phosphoric Acid-Catalyzed Steam Explosion

Ana Paula Pitarelo; César S. da Fonseca; Luana M. Chiarello; Francisco M. Gírio; Luiz P. Ramos

How to cite this article

 

Steam explosion with or without dilute phosphoric acid resulted in a good pretreatment performance of cane bagasse. High hydrolysis and fermentation yields were obtained from water-washed steam-treated substrates but the pretreatment water solubles were highly inhibitory. Freeze-drying water-soluble furan compounds and acetic acid to non-inhibitory levels.

https://dx.doi.org/10.5935/0103-5053.20160075

Published online: March 14, 2016

 

Share PDF   Supplementary Information 

Total access: 3781


J. Braz. Chem. Soc. 2016, 27(10), 1899-1911

Chromophoreasy, an Excel-Based Program for Detection and Integration of Peaks from Chromatographic and Electromigration Techniques

Fernando A. S. Vaz; Leandra N. O. Neves; Rafael Marques; Renata T. Sato; Marcone A. L. Oliveira

How to cite this article

 

Overview of Chromophoreasy: a simple, practical and reliable program that detects and integrates chromatographic and electrophoretic peaks.

https://dx.doi.org/10.5935/0103-5053.20160076


Short Report J. Braz. Chem. Soc. 2016, 27(10), 1912-1917

Vitamin C Determination by Ultraviolet Spectroscopy and Multiproduct Calibration

Dayane A. Santos; Karen P. Lima; Paulo H. Março; Patrícia Valderrama

How to cite this article

 

A multiproduct calibration based on ultraviolet spectroscopy and Tillman's titration as reference method was developed to predict vitamin C in industrialized juices.

https://dx.doi.org/10.5935/0103-5053.20160071

Published online: March 8, 2016

 

Share PDF   Supplementary Information 

Total access: 4250


J. Braz. Chem. Soc. 2016, 27(10), 1918-1923

Simplification of Lipase Design in the Enzymatic Kinetic Resolution of Amines by Saturation Transfer Difference NMR

Marcio S. Silva; Daniel Pietrobom

How to cite this article

 

The saturation transfer difference nuclear magnetic resonance (STD NMR) method was report for lipase-amide interaction as a first-pass design method in the enzymatic kinetic resolution of amines.

https://dx.doi.org/10.5935/0103-5053.20160077

Published online: March 15, 2016

 

Share PDF

Total access: 1958

Online version ISSN 1678-4790 Printed version ISSN 0103-5053
Journal of the Brazilian Chemical Society
JBCS Editorial and Publishing Office
University of Campinas - UNICAMP
13083-970 Campinas-SP, Brazil

Free access

GN1