JBCS

12:53, Sat Nov 29

Open Access/APCs

First slide
Second slide
Third slide
Third slide
Fifth slide
Sixth slide

vol. 28, No. 1, 2017, p. 1-201

 

Becoming Full Open Access

The beginning of a New Year is the time when we all stop to evaluate what happened during the closing year, and think about what lies ahead for the new one.This assessment is traditionally the topic of the Journal of the Brazilian Chemical Society (JBCS) first Editorial every year.
For us, the year of 2016 marked the transition to full Open Access system, with the requirement that all authors of the JBCS should contribute with page charges in order to meet the financial demand to maintain the Publishing Office and Journals of the Brazilian Chemical Society (this was accompanied by the other three major Journals published by PubliSBQ). This transition also happens at a time in which all the major scientific publishers, whether linked to Scientific Societies like us, or to private publishers, are going in the same direction.
(Read more at Editorial)


Cover Article
J. Braz. Chem. Soc. 2017, 28(1), 2-10

Supramolecular Approach to Decorate Multi-Walled Carbon Nanotubes with Negatively Charged Iron(II) Complexes

Sergio A. V. Jannuzzi; Bianca Martins; Luis E. S. C. Huamaní; André L. B. Formiga

How to cite this article

A method to reversibly decorate multi-walled carbon nanotubes with metallopolymers is presented. The strategy is applied to polymers with pending iron complexes in different iron(II):monomer ratios resulting in very stable suspensions of the CNT, in ethanol. They can be used to prepare conducting surfaces with a supramolecular arrangement preserving the intrinsic properties of both metallopolymer and CNT. Details are presented in the Article Supramolecular Approach to Decorate Multi-Walled Carbon Nanotubes with Negatively Charged Iron(II) Complexes by Sergio A. V. Jannuzzi, Bianca Martins, Luis E. S. C. Huamaní and André L. B. Formiga on page 2.

https://dx.doi.org/10.5935/0103-5053.20160137

Published online: May  5, 2016
Share PDF

Total access: 3426


Editorial J. Braz. Chem. Soc. 2017, 28(1), 1

Becoming Full Open Access

Watson Loh; Paulo Cezar Vieira

How to cite this article

 

https://dx.doi.org/10.21577/0103-5053.20160305

Total access: 3554


Articles J. Braz. Chem. Soc. 2017, 28(1), 2-10

Supramolecular Approach to Decorate Multi-Walled Carbon Nanotubes with Negatively Charged Iron(II) Complexes

Sergio A. V. Jannuzzi; Bianca Martins; Luis E. S. C. Huamaní; André L. B. Formiga

How to cite this article

 

Noncovalent decoration of carbon nanotubes (CNT) with pentacyanoferrate(II)-containing polymer is reported in order to obtain a solution-processable multifunctional material.

https://dx.doi.org/10.5935/0103-5053.20160137

Published online: May 5, 2016

 

Share PDF   Supplementary Information 

Total access: 3426


J. Braz. Chem. Soc. 2017, 28(1), 11-20

An Efficient Protocol for Facile Synthesis of New 5-Substituted-1H-Tetrazole Derivatives Using Copper-Doped Silica Cuprous Sulfate (CDSCS) as Heterogeneous Nano-Catalyst

Mohammad Navid Soltani Rad

How to cite this article

 

Copper-doped silica cuprous sulfate is a powerful and highly efficient nano-catalyst for synthesis of structurally diverse 5-substituted 1H-tetrazoles.

https://dx.doi.org/10.5935/0103-5053.20160138

Published online: May 5, 2016

 

Share PDF   Supplementary Information 

Total access: 3257


J. Braz. Chem. Soc. 2017, 28(1), 21-29

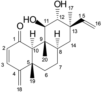
Sesquiterpenoids from Nectandra megapotamica (Lauraceae)

Carolina Q. Oliveira; Liziane B. Morandini; Marcelo Pedroso; Alexandre T. Neto; Ubiratan F. Silva; Marco A. Mostardeiro; Ionara I. Dalcol; Ademir F. Morel

How to cite this article

 

Five new sesquiterpenoids were isolated from the essential oil of the leaves of Nectandra megapotamica (Lauraceae). Their structures were elucidated by spectroscopic analysis, and the relative configurations were proposed by their nuclear Overhauser effect (NOESY) spectrum. Three compounds displayed significant antimicrobial activity.

https://dx.doi.org/10.5935/0103-5053.20160141

Published online: May 6, 2016

 

Share PDF   Supplementary Information 

Total access: 3698


J. Braz. Chem. Soc. 2017, 28(1), 30-41

Determination of Volatile Organic Compounds in Andean Tomato Landraces by Headspace Solid Phase Microextraction-Gas Chromatography-Mass Spectrometry

Pablo R. Cortina; Ramón Asis; Iris E. Peralta; Pablo D. Asprellid; Ana N. Santiago

How to cite this article

 

Andean tomato landraces from Northwestern and Cuyo regions of Argentina were analyzed by their volatile composition for the first time by headspace solid phase microextraction coupled to gas chromatography-mass spectrometry (HS-SPME-GC-MS).

https://dx.doi.org/10.5935/0103-5053.20160142

Published online: May 6, 2016

 

Share PDF   Supplementary Information 

Total access: 3703


J. Braz. Chem. Soc. 2017, 28(1), 42-48

Gallium-Containing Mesoporous Silica: Supported Catalysts with High Catalytic Activity for Oxidation of Benzene, Toluene and o-Xylene

Anderson Joel Schwanke; Sibele B. C. Pergher; Luiz F. D. Probst; Rosana Balzer

How to cite this article

 

Particle morphology with wormhole pore channels and oxidation of benzene, toluene and o-xylene to CO2 and H2O promoted by MS-Ga7% catalyst.

https://dx.doi.org/10.5935/0103-5053.20160143

Published online: May 6, 2016

 

Share PDF

Total access: 2540


J. Braz. Chem. Soc. 2017, 28(1), 49-57

Electrodeposition of Gold Films from a Glycerol Solution on Carbon Paste Electrode and the Effect of Chemical and Electrochemical Parameters of Electrodeposition on the Electrode Performance in Potassium Ferrocyanide Solution

Elter G. Gama; Gildiberto M. Oliveira

How to cite this article

 

Gold electrodeposit as modifier enhance the carbon paste electrode (CPE) performance on the ferro/ferricyanide reversibility.

https://dx.doi.org/10.5935/0103-5053.20160144

Published online: May 9, 2016

 

Share PDF

Total access: 1955


J. Braz. Chem. Soc. 2017, 28(1), 58-67

Facile Synthesis of Tellurium Nanowires and Study of Their Third-Order Nonlinear Optical Properties

Robson R. Silva; Hans A. G. Mejia; Sidney J. L. Ribeiro; Lok K. Shrestha; Katsuhiko Ariga; Osvaldo N. Oliveira Jr.; Vanessa R. Camargo; Lauro J. Q. Maia; Cid B. Araújo

How to cite this article

 

Uniform Te nanowires with diameter below 30 nm and length up to 5 µm were prepared via facile surfactant-assisted synthesis under mild conditions. Notably, short and long Te nanowires show a switching behavior from saturated absorption to reverse saturated absorption as a function of laser intensity.

https://dx.doi.org/10.5935/0103-5053.20160145

Published online: May 9, 2016

 

Share PDF   Supplementary Information 

Total access: 3638


J. Braz. Chem. Soc. 2017, 28(1), 68-75

Selective Transport of Silver(I) Cation Across a Bulk Liquid Membrane Containing Bis-β-enamino Ester as Ion Carrier

Somayeh Tarahomi; Gholam Hossein Rounaghi; Hossein Eshghi; leili Daneshvar; Mahmoud Chamsaz

How to cite this article

 

Simplified representation of the transport mechanism of Ag+ ions across bulk liquid membrane.

https://dx.doi.org/10.5935/0103-5053.20160146

Published online: May 10, 2016

 

Share PDF

Total access: 1731


J. Braz. Chem. Soc. 2017, 28(1), 76-86

Validation of a LC-MS/MS Multiresidue Methodology Based on a QuEChERS Approach for the Determination of Fluoroquinolones, Sulfonamides and Trimethoprim in Poultry and Porcine Kidney According to the Normative Instruction 24/2009-MAPA

Diego G. Rocha; Flavio A. Santos; Aline A. Gomes; Adriana F. Faria

How to cite this article

 

The misuse of antibiotics in animal husbandry can result in unsafe foodstuff, hence the need of new methods for determining such residues.

https://dx.doi.org/10.5935/0103-5053.20160147

Published online: May 10, 2016

 

Share PDF

Total access: 2056


J. Braz. Chem. Soc. 2017, 28(1), 87-97

Copper(II) Nitroaromatic Schiff Base Complexes: Synthesis, Biological Activity and Their Interaction with DNA and Albumins

Darliane A. Martins; Lucius F. Bomfim Filho; Cleiton M. da Silva; Angelo de Fátima; Sonia R. W. Louro; Denise G. J. Batista; Maria de Nazaré C. Soeiro; Joao Ernesto de Carvalho; Letícia R. Teixeira

How to cite this article

 

The [CuCl(L1)(phen)].0.5H2O and [CuCl(L2)(phen)].2H2O complexes presented cytostatic effect and complex [CuCl(L1)(phen)].0.5H2O also showed in vitro trypanocidal activity. Both complexes were able to binding to deoxyribonucleic acid (DNA) and albumins.

https://dx.doi.org/10.5935/0103-5053.20160150

Published online: May 11, 2016

 

Share PDF   Supplementary Information 

Total access: 3220


J. Braz. Chem. Soc. 2017, 28(1), 98-105

Determination of Elemental Impurities in Acyclovir Ointment and Raw Materials Using Microwave Acid Digestion (MW-AD) and ICP-MS

Mario H. Gonzalez; Caroline S. da Silva; Clarice D. B. Amaral; Silmara R. Bianchi; Luciano H. B. de Oliveira; Jéssica S. Coelho; Andrea Oliveira; Ana Rita A. Nogueira

How to cite this article

 

The concentrations of As, Cr, Cu, Ni, Pb and V in acyclovir ointment and their manufacturer products were determined using an inductively coupled plasma-universal cell technology-mass spectrometer (ICP-UCT-MS) operated in standard and kinetic energy discrimination (KED) modes, employing a single microwave acidic digestion (MW-AD) for all samples.

https://dx.doi.org/10.5935/0103-5053.20160151

Published online: May 12, 2016

 

Share PDF

Total access: 2288


J. Braz. Chem. Soc. 2017, 28(1), 106-115

Ag Nanoparticles-Based Zinc Hydroxide-Layered Hybrids as Novel and Efficient Catalysts for Reduction of 4-Nitrophenol to 4-Aminophenol

Fernando Junior Quites; Camila K. S. Azevedo; Everton P. P. Alves; José Carlos Germino; Rita C. G. Vinhas; Richard Landers; Ailton José Terezo; Teresa D. Z. Atvars

How to cite this article

 

AgNPs-based ZHL hybrids were synthesized via a facile and rapid one-pot green process. The reduction from Ag+ ions to Ag0 was assisted by visible-light. AgNPs were supported on the external surfaces of ZHL. AgNPs/ZHL is an active, stable and reusable catalyst for 4-nitrophenol reduction.

https://dx.doi.org/10.5935/0103-5053.20160152

Published online: May 17, 2016

 

Share PDF   Supplementary Information 

Total access: 3325


J. Braz. Chem. Soc. 2017, 28(1), 116-125

Improvement of Solubility and Antifungal Activity of a New Aminothiophene Derivative by Complexation with 2-Hydroxypropyl-β-cyclodextrin

Giovanna R. A. Eleamen; Silvana C. da Costa; Reginaldo G. Lima-Neto; Rejane P. Neves; Larissa A. Rolim; Pedro J. Rolim-Neto; Ricardo O. Moura; Thiago M. de Aquino; Edson S. Bento; Marcus T. Scotti; Francisco J. B. Mendonça-Junior; Elisangela A. M. Mendonça; Elquio E. Oliveira

How to cite this article

 

The various positions adopted by 6CN10 in 2-hydroxypropyl-β-cyclodextrin complex obtained through the docking study. Among the six lowest energy positions, in five different poses the 6CN10 is over the cyclodextrin cavity but not inside.

https://dx.doi.org/10.5935/0103-5053.20160153

Published online: May 17, 2016

 

Share PDF   Supplementary Information 

Total access: 3519


J. Braz. Chem. Soc. 2017, 28(1), 126-135

Use of Lignins from Sugarcane Bagasse for Assembling Microparticles Loaded with Azadirachta indica Extracts for Use as Neem-Based Organic Insecticides

Eveline S. Costa; Bruno Perlatti; Everton M. da Silva; Andreia P. Matos; Maria Fátima G. F. da Silva; Joao B. Fernandes; Vânia G. Zuin; Caio M. P. da Silva; Moacir R. Forim

How to cite this article

 

Formulated microparticles with lignins may contribute to the development of green formulations of natural insecticides increasing their thermal and photo stability. Lignin microcapsules loaded with natural products were evaluated against Spodoptera frugiperda and Diatraea saccharalis.

https://dx.doi.org/10.5935/0103-5053.20160155

Published online: May 19, 2016

 

Share PDF

Total access: 2709


J. Braz. Chem. Soc. 2017, 28(1), 136-142

Fragmentation Reactions of Rhodamine B and 6G as Revealed by High Accuracy Orbitrap Tandem Mass Spectrometry

Bruno R. V. Ferreira; Deleon N. Correa; Marcos N. Eberlin; Pedro H. Vendramini

How to cite this article

 

Main fragmentation routes for rhodamines B and 6G were investigated by high accuracy Orbitrap MS/MS.

https://dx.doi.org/10.5935/0103-5053.20160156

Published online: May 19, 2016

 

Share PDF

Total access: 2512


J. Braz. Chem. Soc. 2017, 28(1), 143-151

Tilapia (Oreochromis niloticus) as a Biondicator of Copper and Cadmium Toxicity. A Bioavailability Approach

Maria A. Silva; Tatiana C. S. Motta; Diogo B. Tintor; Thiago A. Dourado; Amanda L. Alcântara; Amauri A. Menegário; José R. Ferreira

How to cite this article

 

Aquatic colloids (1 nm-1 µm) conditioning metals availability to the biota in the water column as a function of their chemical structure and composition.

https://dx.doi.org/10.5935/0103-5053.20160157

Published online: May 19, 2016

 

Share PDF   Supplementary Information 

Total access: 3119


J. Braz. Chem. Soc. 2017, 28(1), 152-157

Angelocunhol: New Erythroxylane Diterpene and Other Compounds from Simira sampaioana (Rubiaceae)

Vinicius F. Moreira; Ivo J. C. Vieira; Raimundo Braz-Filho

How to cite this article

 

A new erythroxylane diterpene, named angelocunhol, was characterized together with 14 known compounds from the Simira sampaioana (Rubiaceae) wood.

This paper is part of the PubliSBQ Special Issue in honor of the late Prof Angelo da Cunha Pinto.

https://dx.doi.org/10.5935/0103-5053.20160158

Published online: May 19, 2016

 

Share PDF   Supplementary Information 

Total access: 3668


J. Braz. Chem. Soc. 2017, 28(1), 158-167

Sorption of Sulfachloropyridazine in Brazilian Soils

Alessandra Paula Vieira; Susanne Rath; Anne Hélène Fostier

How to cite this article

 

Adsorption and desorption are important processes that influence the transport, transformation and bioavailability of antimicrobials in soils.

https://dx.doi.org/10.5935/0103-5053.20160159

Published online: May 19, 2016

 

Share PDF

Total access: 2273


J. Braz. Chem. Soc. 2017, 28(1), 168-178

A Comparative Study on Ag-Doped and Surfactant Assisted MnO2 Prepared by Direct and Pulse Current Electrodeposition on Surgical Grade Stainless Steel as High-Performance Supercapacitor

Mohammad Faridi; Alireza Nari; Hamideh Kalhor; Mohammad H. Dadjoo

How to cite this article

 

Ag doping and addition of cetyltrimethylammonium bromide (CTAB) which provides more active sites for the pseudocapacitive reactions.

https://dx.doi.org/10.5935/0103-5053.20160160

Published online: May 20, 2016

 

Share PDF   Supplementary Information 

Total access: 3059


J. Braz. Chem. Soc. 2017, 28(1), 179-186

Solid-Liquid Extraction with Low Temperature Purification Coupled with Gas Chromatography and Mass Spectrometry for Determination of Polychlorinated Biphenyls in Sewage Sludge

Mariana R. Maia; Ana Luíza P. Arcanjo; Gevany P. Pinho; Flaviano O. Silvério

How to cite this article

 

SLE-LTP: simple, easy and efficient low temperature purification.

https://dx.doi.org/10.5935/0103-5053.20160161

Published online: May 20, 2016

 

Share PDF   Supplementary Information 

Total access: 2939


J. Braz. Chem. Soc. 2017, 28(1), 187-196

Development of Three-Dimensional Electrodes of PbO2 Electrodeposited on Reticulated Vitreous Carbon for Organic Eletrooxidation

Rosimeire M. Farinos; Rafael L. Zornitta; Luís A. M. Ruotolo

How to cite this article

 

The three-dimensional anode of PbO2 electrodeposited on a reticulated vitreous carbon (RVC) substrate demonstrated superior electrooxidation performance for dye decolorization compared to flat plate electrode (VC/PbO2).

https://dx.doi.org/10.5935/0103-5053.20160162

Published online: May 24, 2016

 

Share PDF   Supplementary Information 

Total access: 3951


Short Report J. Braz. Chem. Soc. 2017, 28(1), 197-201

Colorimetric Detection of Glucose in Biological Fluids Using Toner-Based Microzone Plates

Paula B. M. Silva; Karoliny A. Oliveira; Wendell K. T. Coltro

How to cite this article

 

Glucose concentration levels have been colorimetrically determined in biological fluids using toner-based microzone plates.

https://dx.doi.org/10.5935/0103-5053.20160164

Published online: May 31, 2016

 

Share PDF

Total access: 2080

Online version ISSN 1678-4790 Printed version ISSN 0103-5053
Journal of the Brazilian Chemical Society
JBCS Editorial and Publishing Office
University of Campinas - UNICAMP
13083-970 Campinas-SP, Brazil

Free access

GN1