JBCS

13:27, Sat Nov 29

Open Access/APCs

First slide
Second slide
Third slide
Third slide
Fifth slide
Sixth slide

vol. 28, No. 8, 2017, p. 1349-1584

 

Acrylic latex-based nanocomposites have been prepared with three different carbon nanomaterials (nanotubes and graphene-like structures). Due to the unique interaction between the components, resulting materials present noticeable multifunctionality. The electrical, mechanical, magnetic and chemical properties can be modulated according the type and amount of filler, creating several different materials that can be chosen for specific applications. Details are presented in the Article Multifunctional Nanocomposites between Different Carbon Nanostructures and Styrene Acrylic Latex by Carolina F. Matos, Fernando Galembeck and Aldo J. G. Zarbin on page 1396.


Cover Article
J. Braz. Chem. Soc. 2017, 28(8), 1396-1406

Multifunctional Nanocomposites between Different Carbon Nanostructures and Styrene Acrylic Latex

Carolina F. Matos; Fernando Galembeck; Aldo J. G. Zarbin

How to cite this article

Acrylic latex-based nanocomposites have been prepared with three different carbon nanomaterials (nanotubes and graphene-like structures). Due to the unique interaction between the components, resulting materials present noticeable multifunctionality. The electrical, mechanical, magnetic and chemical properties can be modulated according the type and amount of filler, creating several different materials that can be chosen for specific applications. Details are presented in the Article Multifunctional Nanocomposites between Different Carbon Nanostructures and Styrene Acrylic Latex by Carolina F. Matos, Fernando Galembeck and Aldo J. G. Zarbin on page 1396.

https://dx.doi.org/10.21577/0103-5053.20160313

Published online: December  5, 2016
Share PDF

Total access: 5619


Editorial J. Braz. Chem. Soc. 2017, 28(8), 1349-1350

Celebrating the 40th Anniversary of Brazilian Chemical Society (SBQ): Retrospective and Perspectives

Marília O. F. Goulart; Rossimiriam P. de Freitas

How to cite this article

 

https://dx.doi.org/10.21577/0103-5053.20170106

Total access: 1415


Articles J. Braz. Chem. Soc. 2017, 28(8), 1351-1362

An Investigation on Morphology and Fractal Dimension of Diesel and Diesel‑Biodiesel Soot Agglomerates

Aline L. N. Guarieiro; Arantzazu Eiguren-Fernandez; Gisele O. da Rocha; Jailson B. de Andrade

How to cite this article

 

Fractal-like dimension and morphology of ultrafine particles emitted by a diesel engine run with B4, B50, and B100 are evaluated.

This paper is part of the PubliSBQ Special Issue in honor of the late Prof Angelo da Cunha Pinto.

https://dx.doi.org/10.21577/0103-5053.20160306

Published online: November 24, 2016

 

Share PDF   Supplementary Information 

Total access: 3296


J. Braz. Chem. Soc. 2017, 28(8), 1363-1370

Synthesis of N,O-Type Inherently Chiral Calix[4]arenes Substituted on the Lower Rim and their Organocatalysis Properties

Ming-Liang Chang; Yong He; Jing Zhou; Shao-Yong Li

How to cite this article

 

Inherently chiral calix[4]arenes can catalyze Henry reaction between aromatic aldehydes and nitromethane in excellent yields but poor enantioselectivities.

https://dx.doi.org/10.21577/0103-5053.20160307

Published online: November 24, 2016

 

Share PDF   Supplementary Information 

Total access: 27266


J. Braz. Chem. Soc. 2017, 28(8), 1371-1376

Dammarane Triterpenoids from Carnauba, Copernicia prunifera (Miller) H. E. Moore (Arecaceae), Wax

Buana C. de Almeida; Bruno Q. Araújo; Elcio D. S. Barros; Sâmya D. L. Freitas; Dayany S. A. Maciel; Ari J. S. Ferreira; Rafael C. Guadagnin; Gerardo M. Vieira Júnior; Joao H. G. Lago; Mariana H. Chaves

How to cite this article

 

Sixteen dammarane-type triterpenoids, including thirteen new, were identified from carnauba (Copernicia prunifera) wax (types 1 and 4).

https://dx.doi.org/10.21577/0103-5053.20160308

Published online: November 25, 2016

 

Share PDF   Supplementary Information 

Total access: 6851


J. Braz. Chem. Soc. 2017, 28(8), 1377-1383

Copaiba Oil and Its Constituent Copalic Acid as Chemotherapeutic Agents against Dermatophytes

Marcela T. Nakamura; Eliana H. Endo; Joao Paulo B. de Sousa; Daniel R. Callejon; Tânia Ueda-Nakamura; Benedito P. Dias Filho; Osvaldo de Freitas; Celso V. Nakamura; Norberto P. Lopes

How to cite this article

 

Copalic acid activity against dermatophytes Trichophyton rubrum, Trichophyton mentagrophytes and Microsporum gypseum.

This paper is part of the PubliSBQ Special Issue in honor of the late Prof Angelo da Cunha Pinto.

https://dx.doi.org/10.21577/0103-5053.20160309

Published online: November 29, 2016

 

Share PDF   Supplementary Information 

Total access: 3561


J. Braz. Chem. Soc. 2017, 28(8), 1384-1388

Study of the Influence of Biodiesel in Soot Emissions of Diesel Laminar Diffusion Flames

Lincoln Tolomelli e Tolomelli; Luiz G. Barreta; Pedro T. Lacava; Dermeval Carinhana Jr.

How to cite this article

 

Biodiesel/diesel blends flames are investigated using LII. The results showed a decrease of soot production as the amount of biodiesel was increased.

https://dx.doi.org/10.21577/0103-5053.20160311

Published online: November 29, 2016

 

Share PDF

Total access: 2123


J. Braz. Chem. Soc. 2017, 28(8), 1389-1395

Antimicrobial Screening of Endophytic Fungi Isolated from the Aerial Parts of Paepalanthus chiquitensis (Eriocaulaceae) Led to the Isolation of Secondary Metabolites Produced by Fusarium fujikuroi

Felipe Hilário; Vanessa M. Chapla; Angela R. Araujo; Paulo T. Sano; Taís M. Bauab; Lourdes C. dos Santos

How to cite this article

 

Metabolite produced by Fusarium fujikuroi isolated from the capitulae of Paepalanthus chiquitensis (Eriocaulaceae). Photo of P. chiquitensis was taken by Marcelo T. L. de Oliveira.

https://dx.doi.org/10.21577/0103-5053.20160312

Published online: December 5, 2016

 

Share PDF   Supplementary Information 

Total access: 25338


J. Braz. Chem. Soc. 2017, 28(8), 1396-1406

Multifunctional Nanocomposites between Different Carbon Nanostructures and Styrene Acrylic Latex

Carolina F. Matos; Fernando Galembeck; Aldo J. G. Zarbin

How to cite this article

 

Multifunctional nanocomposites between carbon nanostructures and acrylic latex were successfully prepared, with improved and tunable properties compared to the neat polymer.

https://dx.doi.org/10.21577/0103-5053.20160313

Published online: December 5, 2016

 

Share PDF   Supplementary Information 

Total access: 5619


J. Braz. Chem. Soc. 2017, 28(8), 1407-1413

Atom Transfer Radical Polymerization of Methyl Methacrylate Mediated by Grubbs 1st and 2nd Generation Catalysts: Insight into the Active Species

Maria Beatriz A. Afonso; Lucas G. Gonçalves; Patrícia Borim; José Luiz S. Sá; Beatriz E. Goi; Valdemiro P. Carvalho-Jr.

How to cite this article

 

Grubbs 1st and 2nd generation catalyst were evaluated as catalyst in atom-transfer radical polymerization (ATRP) of methyl methacrylate (MMA) and their yet unknown mechanism for ATRP was investigated.

https://dx.doi.org/10.21577/0103-5053.20160314

Published online: December 6, 2016

 

Share PDF   Supplementary Information 

Total access: 3292


J. Braz. Chem. Soc. 2017, 28(8), 1414-1429

Catechol Oxidase, Phosphatase-Like Activity, DNA/BSA Binding Studies of RuII Complexes of S-Allyldithiocarbazate: Synthesis and Spectral Studies

Ponnusamy Selvakumar; Ramaswamy Narayanasamy; Nanjan Nanjundan; Krishnaswamy Velmurugan; Raju Nandhakumar

How to cite this article

 

Ruthenium(II) complexes containing S-allyldithiocarbazate derivatives, potentially active towards in vitro biomolecular interactions and bio-catalytic transformations such as catechol oxidation and phosphate hydrolysis.

https://dx.doi.org/10.21577/0103-5053.20160318

Published online: December 13, 2016

 

Share PDF   Supplementary Information 

Total access: 2993


J. Braz. Chem. Soc. 2017, 28(8), 1430-1439

Physical-Chemical Properties of the Support Immobead 150 Before and After the Immobilization Process of Lipase

Carla R. Matte; Carolina Bordinhao; Jakeline K. Poppe; Edilson V. Benvenutti; Tania M. H. Costa; Rafael C. Rodrigues; Plinho F. Hertz; Marco A. Z. Ayub

How to cite this article

 

Immobead 150 possess interesting features to be used as a support for immobilization of lipases.

https://dx.doi.org/10.21577/0103-5053.20160319

Published online: December 13, 2016

 

Share PDF   Supplementary Information 

Total access: 3939


J. Braz. Chem. Soc. 2017, 28(8), 1440-1452

Improved Reactivity in the Ring-Opening Polymerization of ε-Caprolactone with a Trinuclear Titanium(IV) Oxochloroneopentoxide as Initiator

Siddhartha O. K. Giese; Thiago A. da Silva; David L. Hughes; André Luis Rüdiger; Eduardo L. de Sá; Sônia F. Zawadzki; Jaísa F. Soares; Giovana G. Nunes

How to cite this article

 

Complexes [Ti3(OiPr)11][FeCl4] and [Ti3(O)(Cl)(ONep)9] were employed as initiators for the polymerization of ε-caprolactone (ε-CL). The better polymerization reactivity of [Ti3(O)(Cl)(ONep)9] seems to be associated with the maintenance of its polynuclear structure in the reaction mixture.

https://dx.doi.org/10.21577/0103-5053.20160321

Published online: December 15, 2016

 

Share PDF   Supplementary Information 

Total access: 3284


J. Braz. Chem. Soc. 2017, 28(8), 1453-1460

Sensitive Estrogens Determination in Wastewater Samples by HPLC and Fluorescence Detection

Marcus Vinicius de Liz; Bianca do Amaral; Sandra Stets; Noemi Nagata; Patricio Peralta-Zamora

How to cite this article

 

Fluorescence-based HPLC method for quantification of estrogens (17β-estradiol and 17α-ethinylestradiol) in both influent and effluent wastewater samples.

https://dx.doi.org/10.21577/0103-5053.20160324

Published online: December 20, 2016

 

Share PDF

Total access: 2545


J. Braz. Chem. Soc. 2017, 28(8), 1461-1466

Differentiation of Toxic and Non-Toxic Leaves of Jatropha curcas L. Genotypes by Leaf Spray Mass Spectrometry

Igor Pereira; Thays C. de Carvalho; Wanderson Romao; Paulo R. Filgueiras; Bruno G. Laviola; Clenilson M. Rodrigues; Patrícia V. Abdelnur; Boniek G. Vaz

How to cite this article

 

A recent ambient ionization mass spectrometry technique known as leaf spray (LS-MS) is a simple and fast method for screening of plant samples. In this work, toxic and non-toxic Jatropha curcas leaves were differentiated by LS-MS.

https://dx.doi.org/10.21577/0103-5053.20160325

Published online: December 20, 2016

 

Share PDF   Supplementary Information 

Total access: 3215


J. Braz. Chem. Soc. 2017, 28(8), 1467-1474

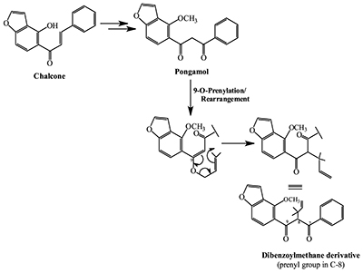
Antiproliferative Activity of Dibenzoylmethanes from Root Bark of Muellera filipes (Benth) M.J. Silva & A.M.G. Azevedo

Érica L. Santos; Juliana Jo; Francisco A. Marques; Ana Maria G. A. Tozzi; Ana Lúcia T. G. Ruiz; Beatriz Helena L. N. S. Maia

How to cite this article

 

Dibenzoylmethane derivatives with a substituent on C-8 are extremely rare in nature. These compounds can potentially be used as biomarkers of closely related genera. Two compounds showed strong activity against human cancer cell lines.

https://dx.doi.org/10.21577/0103-5053.20160327

Published online: December 20, 2016

 

Share PDF   Supplementary Information 

Total access: 2757


J. Braz. Chem. Soc. 2017, 28(8), 1475-1482

Development of a Novel Spectrophotometric Method Based on Diazotization-Coupling Reaction for Determination of Bisphenol A

Zhiqun Xu; Qiao Wu; Yunjian Duan; Meixia Yang; Minrui Ou; Xiaoping Xu

How to cite this article

 

A novel, rapid, and easy method for quantification of BPA via diazo coupling reaction and its applications in the actual food samples.

https://dx.doi.org/10.21577/0103-5053.20160328

Published online: December 20, 2016

 

Share PDF

Total access: 4221


J. Braz. Chem. Soc. 2017, 28(8), 1483-1493

AC Induced Corrosion of Underground Steel Pipelines under Cathodic Protection: III. Theoretical Approach with Electrolyte Resistance and Double Layer Capacitance for Mixed Corrosion Kinetics

Ibrahim Ibrahim; Michel Meyer; Hisasi Takenouti; Bernard Tribollet

How to cite this article

 

Cathodic protection potential in presence of a stray AC voltage for steel pipe buried in a mildly corrosive soil provided that AC corrosion does not induce any change of soil chemistry.

https://dx.doi.org/10.21577/0103-5053.20160330

Published online: January 18, 2017

 

Share PDF

Total access: 2463


J. Braz. Chem. Soc. 2017, 28(8), 1494-1505

Coencapsulation of trans-Dehydrocrotonin and trans-Dehydrocrotonin:hydroxypropyl-β-cyclodextrin into Microparticles

Waldenice A. Morais; Benício de Barros Neto; Isabella M. F. Cavalcanti; Francisco H. Xavier Junior; Nereide S. Santos-Magalhaes; Maria Aparecida M. Maciel

How to cite this article

 

Coencapsulation of t-DCTN and t-DCTN:HP-β-CD into PCL and PLGA microspheres were developed using factorial design. Oral formulations of PLGA microparticles containing t-DCTN and/or t-DCTN:HP-β-CD were obtained to be applied in in vivo studies.

This paper is part of the PubliSBQ Special Issue in honor of the late Prof Angelo da Cunha Pinto.

https://dx.doi.org/10.21577/0103-5053.20160331

Published online: January 18, 2017

 

Share PDF

Total access: 2409


J. Braz. Chem. Soc. 2017, 28(8), 1506-1516

Multivariate Calibration to Determine Phorbol Esters in Seeds of Jatropha curcas L. Using Near Infrared and Ultraviolet Spectroscopies

Jussara V. Roque; Luiz A. S. Dias; Reinaldo F. Teófilo

How to cite this article

 

Determination of phorbol esters of Jatropha curcas L. using NIR and UV spectroscopies employing PLS regression and variable selection.

https://dx.doi.org/10.21577/0103-5053.20160332

Published online: January 18, 2017

 

Share PDF

Total access: 2697


J. Braz. Chem. Soc. 2017, 28(8), 1517-1527

Implementation of a Spectrofluorimetric Method to the Determination of 8-Methoxypsoralen in Capsules and Creams Used in Treatment of Psoriasis and Vitiligo: an Evaluation of the Quality of Compounding Pharmacies in Rio de Janeiro

Catarina A. Oliveira; Marcos M. Gouvêa; Flávio H. S. A. Ribeiro; Eduardo Ricci‑Júnior; Flávia F. C. Marques

How to cite this article

 

The spectrofluorimetric determination of 8-methoxypsoralen was applied to assessing the quality of medicines produced by compounding pharmacies.

https://dx.doi.org/10.21577/0103-5053.20170003

Published online: January 24, 2017

 

Share PDF

Total access: 1894


J. Braz. Chem. Soc. 2017, 28(8), 1528-1533

Methylene Violet 3 RAX Dye as a New Reagent for the Determination of Nitrite in Cured Meats and Vegetables

Caroline O. da Rocha; Joao Flávio S. Petruci; Arnaldo A. Cardoso

How to cite this article

 

Methylene Violet 3 RAX dye as a new reagent for the determination of nitrite in cured meats and vegetables.

https://dx.doi.org/10.21577/0103-5053.20170004

Published online: January 24, 2017

 

Share PDF

Total access: 2033


J. Braz. Chem. Soc. 2017, 28(8), 1534-1546

Exploratory Analysis of Sparkling Wines Based in the Combined Data of Stable Isotope Analysis with Physicochemical Variables and Volatile Profile

Victor H. J. M. dos Santos; Paulo G. Celso; Artur L. G. Rocha; Samuel Giovanaz; Carolina Z. Guerra; Jessica P. Pires; Pâmela M. Engelmann; Luiz F. Rodrigues

How to cite this article

 

The chemometric tool was applied to the physicochemical, volatiles and stable isotope data to perform the exploratory analysis and classification of sparkling wines samples.

https://dx.doi.org/10.21577/0103-5053.20170006

Published online: January 24, 2017

 

Share PDF   Supplementary Information 

Total access: 28980


J. Braz. Chem. Soc. 2017, 28(8), 1547-1556

Preliminary Evaluation of Novel Triglyceride-Based Nanocomposites for Biomedical Applications

Raimundo R. de Almeida; Juan Gallo; Aiêrta C. C. da Silva; Ana K. O. da Silva; Otilia D. L. Pessoa; Tamara G. Araújo; Luzia K. A. M. Leal; Pierre B. A. Fechine; Manuel Bañobre-López; Nágila M. P. S. Ricardo

How to cite this article

 

Magnetic solid lipid nanoparticles (MSLNs) for application in magnetic hyperthermia and controlled delivery of oncocalyxone-A.

https://dx.doi.org/10.21577/0103-5053.20170007

Published online: January 26, 2017

 

Share PDF

Total access: 2029


J. Braz. Chem. Soc. 2017, 28(8), 1557-1563

A Straightforward Method for Determination of Al and Na in Aluminosilicates Using ICP OES

Francisca S. O. Ramos; Ramon K. S. Almeida; Cícero A. Lopes Júnior; Marco Aurélio Z. Arruda; Heloise O. Pastore

How to cite this article

 

Microwave-assisted acid decomposition using closed vessels was applied to aluminosilicates in order to quantify Na and Al, reducing the time consumed for samples preparation step. This procedure avoided analytes losses and contamination.

https://dx.doi.org/10.21577/0103-5053.20170008

Published online: January 30, 2017

 

Share PDF   Supplementary Information 

Total access: 2871


J. Braz. Chem. Soc. 2017, 28(8), 1564-1572

Effect of PVA Concentration on Structure and Performance of Precipitated Iron-Based Catalyst for Fischer-Tropsch Synthesis

Cailian Ma; Guanghua Dong; Xia Liu; Jiangang Chen

How to cite this article

 

Polyvinyl alcohol (PVA) concentration has a significant effect on the structure of catalysts and dispersion of their active phase. Therefore, the catalyst prepared with 15 wt.% PVA, exhibits high performance and good thermal stability for Fischer-Tropsch synthesis.

https://dx.doi.org/10.21577/0103-5053.20170010

Published online: January 30, 2017

 

Share PDF

Total access: 1946


Short Report J. Braz. Chem. Soc. 2017, 28(8), 1573-1584

Suzuki-Miyaura Coupling between 3-Iodolawsone and Arylboronic Acids. Synthesis of Lapachol Analogues with Antineoplastic and Antileishmanial Activities

Sara L. S. Gomes; Gardenia C. G. Militao; Arinice M. Costa; Cláudia O. Pessoa; Letícia V. Costa-Lotufo; Edézio F. Cunha-Junior; Eduardo C. Torres-Santos; Paulo R. R. Costa; Alcides J. M. da Silva

How to cite this article

 

Suzuki-Miyaura cross coupling reaction between 2-hydroxy-3-iodonaphthalene-1,4-dione and a series of arylboronic acids/esters followed by OH-protection as the corresponding N,N-diethyl carbamates is reported. The synthesized compounds were evaluated regarding their antineoplastic and antileishmanial activities furnishing promising results.

This paper is part of the PubliSBQ Special Issue in honor of the late Prof Angelo da Cunha Pinto.

https://dx.doi.org/10.21577/0103-5053.20160326

Published online: December 20, 2016

 

Share PDF   Supplementary Information 

Total access: 3428

Online version ISSN 1678-4790 Printed version ISSN 0103-5053
Journal of the Brazilian Chemical Society
JBCS Editorial and Publishing Office
University of Campinas - UNICAMP
13083-970 Campinas-SP, Brazil

Free access

GN1