JBCS

14:00, Sat Nov 29

Open Access/APCs

First slide
Second slide
Third slide
Third slide
Fifth slide
Sixth slide

vol. 28, No. 10, 2017, p. 1843-2044

 

Metal complexes remain an important resource for the generation of chemical diversity in the search for novel anticancer agents. The ruthenium possesses chemical properties that indicate it may be a strong candidate to form a basis for rational anticancer drugs. In the present study novel DNA-intercalating agents with promising anticancer activities, based on ruthenium(II) with the planar ligand dipyrido[3,2-a:2',3'-c]quinoxaline[2,3-b]quinoxaline) were evaluated for their cytotoxicity against human breast tumor cancer cells. Details are presented in the Article Polypyridyl Ruthenium Complexes: Novel DNA-Intercalating Agents against Human Breast Tumor by Joao P. Barolli, Rodrigo S. Corrêa, Fabio S. Miranda, Juliana U. Ribeiro, Carlos Bloch Jr., Javier Ellena, Virtudes Moreno, Márcia R. Cominetti and Alzir A. Batista on page 1879.


Cover Article
J. Braz. Chem. Soc. 2017, 28(10), 1879-1889

Polypyridyl Ruthenium Complexes: Novel DNA-Intercalating Agents against Human Breast Tumor

Joao P. Barolli; Rodrigo S. Corrêa; Fabio S. Miranda; Juliana U. Ribeiro; Carlos Bloch Jr.; Javier Ellena; Virtudes Moreno; Márcia R. Cominetti; Alzir A. Batista

How to cite this article

Metal complexes remain an important resource for the generation of chemical diversity in the search for novel anticancer agents. The ruthenium possesses chemical properties that indicate it may be a strong candidate to form a basis for rational anticancer drugs. In the present study novel DNA-intercalating agents with promising anticancer activities, based on ruthenium(II) with the planar ligand dipyrido[3,2-a:2',3'-c]quinoxaline[2,3-b]quinoxaline) were evaluated for their cytotoxicity against human breast tumor cancer cells. Details are presented in the Article Polypyridyl Ruthenium Complexes: Novel DNA-Intercalating Agents against Human Breast Tumor by Joao P. Barolli, Rodrigo S. Corrêa, Fabio S. Miranda, Juliana U. Ribeiro, Carlos Bloch Jr., Javier Ellena, Virtudes Moreno, Márcia R. Cominetti and Alzir A. Batista on page 1879.

https://dx.doi.org/10.21577/0103-5053.20170019

Published online: February  7, 2017
Share PDF

Total access: 5467


Articles J. Braz. Chem. Soc. 2017, 28(10), 1843-1849

Femtoliter Scale Detection of an Antithyroid Drug Using Gold Nanoparticles in a Microfluidic Chip

Atefeh Abbasi-Ahd; Nader Shokoufi; Sara Adeleh; Kazem Kargosha

How to cite this article

 

Photo thermal lens effect of gold nanoparticles (GNPs) capped with methimazole.

https://dx.doi.org/10.21577/0103-5053.20170011

Published online: February 3, 2017

 

Share PDF

Total access: 2208


J. Braz. Chem. Soc. 2017, 28(10), 1850-1856

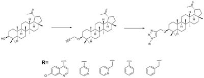
Synthesis by Click Reactions and Antiplasmodial Activity of Lupeol 1,2,3-Triazole Derivatives

Tatiane F. Borgati; Guilherme R. Pereira; Geraldo C. Brandao; Juliana O. Santos; Dayane Aparecida M. Fernandes; Renata C. de Paula; Maria Fernanda A. do Nascimento; Luciana F. Soares; Júlio César D. Lopes; José D. de Souza Filho; Alaíde B. de Oliveira

How to cite this article

 

Five new lupeol 1,2,3-triazole derivatives were synthesized from lupeol which was isolated from Parahancornia fasciculata and were assayed for antiplasmodial and cytotoxic activity.

https://dx.doi.org/10.21577/0103-5053.20170013

Published online: February 3, 2017

 

Share PDF   Supplementary Information 

Total access: 3115


J. Braz. Chem. Soc. 2017, 28(10), 1857-1865

Grape and Apple Pomaces from Southern Brazil: Valorization of By-Products through Investigation of Their Antioxidant Potential

Mariéli Karling; Thariane C. Bicas; Vanderlei Aparecido de Lima; Tatiane Luiza C. Oldoni

How to cite this article

 

Optimizing the extraction of phenolic antioxidants from grape and apple pomaces from Brazil using response surface methodology.

https://dx.doi.org/10.21577/0103-5053.20170014

Published online: February 3, 2017

 

Share PDF

Total access: 2330


J. Braz. Chem. Soc. 2017, 28(10), 1866-1873

Magnetic Solid-Phase Extraction in Combination with Ultra High-Performance Liquid Chromatography-Tandem Mass Spectrometry Analysis: Quantification of Risperidone and 9-Hydroxyrisperidone in Biological Samples

Qinhong Yin; Yanqin Zhu; Yaling Yang

How to cite this article

 

Magnetic solid phase extraction procedure used for the determination of targeted compounds in biological samples.

https://dx.doi.org/10.21577/0103-5053.20170016

Published online: February 6, 2017

 

Share PDF

Total access: 1986


J. Braz. Chem. Soc. 2017, 28(10), 1874-1878

Multi-gram Preparation of 7-Nitroquinoxalin-2-amine

Daniel N. do Amaral; Fernando R. de Sá Alves; Eliezer J. Barreiro; Stefan A. Laufer; Lídia M. Lima

How to cite this article

 

A methodology to obtain 7-nitroquinoxalin-2-amine using o-phenylenediamine as starting material in a five-step procedure in good yields and high purity.

This paper is part of the PubliSBQ Special Issue in honor of the late Prof Angelo da Cunha Pinto.

https://dx.doi.org/10.21577/0103-5053.20170018

Published online: February 6, 2017

 

Share PDF   Supplementary Information 

Total access: 3864


J. Braz. Chem. Soc. 2017, 28(10), 1879-1889

Polypyridyl Ruthenium Complexes: Novel DNA-Intercalating Agents against Human Breast Tumor

Joao P. Barolli; Rodrigo S. Corrêa; Fabio S. Miranda; Juliana U. Ribeiro; Carlos Bloch Jr.; Javier Ellena; Virtudes Moreno; Márcia R. Cominetti; Alzir A. Batista

How to cite this article

 

Ruthenium(II) complexes with the extended planar ligand [dipyrido[3,2-a:2′,3′-c]quinoxaline[2,3-b]quinoxaline)] have been synthesized and shown to be active against breast tumor cells (MDA-MB 231 and MCF-7).

https://dx.doi.org/10.21577/0103-5053.20170019

Published online: February 7, 2017

 

Share PDF   Supplementary Information 

Total access: 5467


J. Braz. Chem. Soc. 2017, 28(10), 1890-1895

Commercial and Noncommercial Peroxidases Activity under Ultrasound and Microwave Treatment: a Pretreatment to Improve Wastewater Treatment

Simone M. Golunski; Thamarys Scapini; Tatiani Andressa Modkovski; Camila T. Marques; Aline F. Camargo; Karina Paula Preczeski; Camila Dalla Rosa; Daiane P. Baldissarelli; Jéssica Mulinari; Bruno Venturin; Gean D. L. P. Vargas; Jaqueline G. Buffon; Altemir José Mossi; Helen Treichel

How to cite this article

 

Using a power of 30% and a temperature of 55 °C an increase in relative activity of 147.9% in the enzyme from soybean meal was obtained.

https://dx.doi.org/10.21577/0103-5053.20170023

Published online: February 10, 2017

 

Share PDF

Total access: 2186


J. Braz. Chem. Soc. 2017, 28(10), 1896-1904

On the Fluorescent, Steric and Electronic Factors Affecting the Detection of Metallic Ions Using an Imidazolyl-Phenolic Derived Fluorescent Probe

Ronaldo B. Orfao Jr.; Fabrício de Carvalho; Paula Homem-de-Mello; Fernando H. Bartoloni

How to cite this article

 

Addition of CuII or FeIII switches OFF the probe emission, but FeIII also induces the formation of a fluorescent coordinated compound (switch ON).

https://dx.doi.org/10.21577/0103-5053.20170024

Published online: February 10, 2017

 

Share PDF   Supplementary Information 

Total access: 3393


J. Braz. Chem. Soc. 2017, 28(10), 1905-1910

Volatile Compounds from the Bark Bugs Phloea subquadrata and Phloeophana longirostris (Heteroptera: Phloeidae)

Francine S. A. da Fonseca; Adriana T. Salomao; Joao Vasconcellos-Neto; Thiago I. B. Lopes; Anita J. Marsaioli

How to cite this article

 

The volatile compounds differed both within and between Phloeidae species. Some compounds were sex specific, and others were characteristic of different developmental stages.

This article is part of the Special Issue BIOprospecTA-BIOTA.

https://dx.doi.org/10.21577/0103-5053.20170028

Published online: February 14, 2017

 

Share PDF   Supplementary Information 

Total access: 25042


J. Braz. Chem. Soc. 2017, 28(10), 1911-1916

Isolation and Structural Characterization of Two New Furanoditerpenes from Pterodon emarginatus (Fabaceae)

Leandra A. R. Oliveira; Gerlon A. R. Oliveira; Geralda F. Lemes; Wanderson Romao; Boniek G. Vaz; Sérgio Albuquerque; Cristiana Gonçalez; Luciano M. Liao; Maria Teresa F. Bara

How to cite this article

 

Two new furanoditerpenes were obtained from Pterodon emarginatus. Methyl 6α-acetoxy-7β-hydroxyvouacapan-17β-oate (previously identified) showed leishmanicidal activity.

https://dx.doi.org/10.21577/0103-5053.20170029

Published online: February 15, 2017

 

Share PDF   Supplementary Information 

Total access: 3366


J. Braz. Chem. Soc. 2017, 28(10), 1917-1925

Nuclear Magnetic Resonance (1.40 T) and Mid Infrared (FTIR-ATR) Associated with Chemometrics as Analytical Methods for the Analysis of Methyl Ester Yield Obtained by Esterification Reaction

Sara R. M. Kollar; Etelvino H. Novotny; Claudia J. do Nascimento; Paulo A. Z. Suarez

How to cite this article

 

1H NMR (60 and 300 MHz) and FTIR-ATR associated with chemometrics were used to quantify esterification of fatty acids with methanol.

This paper is part of the PubliSBQ Special Issue in honor of the late Prof Angelo da Cunha Pinto.

https://dx.doi.org/10.21577/0103-5053.20170031

Published online: February 15, 2017

 

Share PDF   Supplementary Information 

Total access: 2685


J. Braz. Chem. Soc. 2017, 28(10), 1926-1936

Synthesis of New Xanthenes Based on Lawsone and Coumarin via a Tandem Three‑Component Reaction

Mariana F. C. Cardoso; Luana S. M. Forezi; Victor G. S. Cavalcante; Cecília S. R. Juliani; Jackson Antônio L. C. Resende; David R. da Rocha; Fernando C. da Silva; Vitor F. Ferreira

How to cite this article

 

The synthesis of several xanthenes based on the 1,3-dicarbonyl scaffolds lawsone and coumarin was developed using tandem three-component reactions involving the reagents ortho-hydroxybenzaldehyde, as bifunctional reagent, and an appropriate thiol. These reactions generated two series of para- and ortho-naphthoxanthenes that are structurally related to α- and β-pyranaphthoquinones and one series of coumarin-xanthene derivatives.

This paper is part of the PubliSBQ Special Issue in honor of the late Prof Angelo da Cunha Pinto.

https://dx.doi.org/10.21577/0103-5053.20170032

Published online: February 16, 2017

 

Share PDF   Supplementary Information 

Total access: 3404


J. Braz. Chem. Soc. 2017, 28(10), 1937-1946

Effects of Iron Enrichment of Adzuki Bean (Vigna angularis) Sprouts on Elemental Translocation, Concentrations of Proteins, Distribution of Fe-Metalloproteins, and Fe Bioaccessibility

Aline P. de Oliveira; Juliana Naozuka

How to cite this article

 

Enrichment effects with different iron species on translocation of this element, chemical composition (essential elements, proteins and Fe-proteins) and Fe bioaccessibility.

https://dx.doi.org/10.21577/0103-5053.20170034

Published online: February 17, 2017

 

Share PDF

Total access: 2229


J. Braz. Chem. Soc. 2017, 28(10), 1947-1952

A Novel Nanofibrous Film Chemosensor for Highly Selective and Sensitive Optical Signaling of Zn2+

Chen Zhou; Heng Liu

How to cite this article

 

Recognition mechanism of the nanofibrous film chemosensor for Zn2+.

https://dx.doi.org/10.21577/0103-5053.20170036

Published online: February 20, 2017

 

Share PDF   Supplementary Information 

Total access: 2717


J. Braz. Chem. Soc. 2017, 28(10), 1953-1959

New Design of Mini PTFE Vessels for Sample Preparation in Micro Scale: Determination of Cd, K, Mg and Na in Biological Sample

Camila M. Oliz; Alexander O. Souza; Camila C. Pereira; Richard M. Oliveira; Aline L. Medina; Mariana A. Vieira; Anderson S. Ribeiro; Adriane M. Nunes

How to cite this article

 

The new mini PTFE vessel was evaluated as a potential system for the preparation of biological samples and subsequent determination of metals.

https://dx.doi.org/10.21577/0103-5053.20170037

Published online: February 22, 2017

 

Share PDF

Total access: 1850


J. Braz. Chem. Soc. 2017, 28(10), 1960-1965

Determination of Rare Earth Elements in Some Flower Herb Teas and their Infusions

Zhanglin Ni; Chuanyi Ren; Junyong Cheng; Fubin Tang

How to cite this article

 

The sixteen rare earth elements content in twelve types of popular flower herb teas and their infusions consumed in China was evaluated by ICP-MS.

https://dx.doi.org/10.21577/0103-5053.20170039

Published online: February 23, 2017

 

Share PDF

Total access: 2429


J. Braz. Chem. Soc. 2017, 28(10), 1966-1974

Application of Full Factorial Design to Evaluate the Effect of Different Variables on the Stability of Biodiesel:Diesel Blends under Storage Conditions

Michelle J. C. Rezende; Daniella L. Vale; Paula F. Aguiar; Carlos A. S. Riehl; Debora A. Azevedo

How to cite this article

 

The stability of biodiesel:diesel blends were studied in actual Brazilian storage conditions. The degradation was quantified by target compounds in the oxidation process and a full factorial design evaluated the effect of variables.

This paper is part of the PubliSBQ Special Issue in honor of the late Prof Angelo da Cunha Pinto.

https://dx.doi.org/10.21577/0103-5053.20170041

Published online: February 24, 2017

 

Share PDF

Total access: 2170


J. Braz. Chem. Soc. 2017, 28(10), 1975-1987

Using Magnetized (Fe3O4 / Biochar Nanocomposites) and Activated Biochar as Adsorbents to Remove Two Neuro-Active Pesticides from Waters

Tassya T. S. Matos; Juliana Schultz; Muhammad Y. Khan; Everton F. Zanoelo; Antônio S. Mangrich; Bruno R. Araújo; Sandro Navickiene; Luciane P. C. Romao

How to cite this article

 

Biochars prepared from exhausted husk (EH) and tannin (TAN) derived from black wattle were used to remove thiacloprid (TCL) and thiamethoxam (TMX) agrotoxics from spiked sample of the Marcela Dam, a natural reservoir in Itabaiana Municipality, Sergipe State, Brazil.

https://dx.doi.org/10.21577/0103-5053.20170042

Published online: March 3, 2017

 

Share PDF

Total access: 2922


J. Braz. Chem. Soc. 2017, 28(10), 1988-1994

Boron Isotopic Ratio in Brazilian Red Wines: a Potential Tool for Origin and Quality Studies?

Cibele M. S. de Almeida; Ana Cristina Almeida; Tatiana D. Saint'Pierre; José Marcus Godoy

How to cite this article

 

Boron isotopic composition was applied as a tool to differentiate among Brazilian red wine origin. The results have demonstrated that is possible to discriminate between wines produced on the Southern region from those produced on Sao Francisco Valley and also between the Brazilian red wines from Chilean, Italian and Portuguese wines.

https://dx.doi.org/10.21577/0103-5053.20170043

Published online: March 6, 2017

 

Share PDF   Supplementary Information 

Total access: 2535


J. Braz. Chem. Soc. 2017, 28(10), 1995-2003

Synthesis of TiO2/SiO2-B2O3 Ternary Nanocomposites: Influence of Interfacial Properties on their Photocatalytic Activities with High Resolution Mass Spectrometry Monitoring

Susana F. Resende; Rafael L. Gouveia; Bernardo S. Oliveira; Wander L. Vasconcelos; Rodinei Augusti

How to cite this article

 

Summary of the process used to synthesize the TiO2/SiO2-B2O3 ternary nanocomposites.

https://dx.doi.org/10.21577/0103-5053.20170044

Published online: March 6, 2017

 

Share PDF   Supplementary Information 

Total access: 2881


J. Braz. Chem. Soc. 2017, 28(10), 2004-2012

Composite Superabsorbent Hydrogel of Acrylic Copolymer and Eggshell: Effect of Biofiller Addition

Marcos Vinícius A. Queirós; Maslândia N. Bezerra; Judith P. A. Feitosa

How to cite this article

 

The addition of eggshell to an acrylic copolymer improves the gel strength and the water absorption and also provides a more useful destination for the residue.

https://dx.doi.org/10.21577/0103-5053.20170046

Published online: March 9, 2017

 

Share PDF

Total access: 1942


J. Braz. Chem. Soc. 2017, 28(10), 2013-2020

An Automated Multicommuted Flow Analysis Procedure for Photometric Determination of Reducing Sugars in Wine Employing a Directly Heated Flow‑Batch Device

Marcos A. S. Brasil; Boaventura F. Reis

How to cite this article

 

Diagram of the setup for reducing sugar determination in wines.

https://dx.doi.org/10.21577/0103-5053.20170047

Published online: March 10, 2017

 

Share PDF

Total access: 2142


Short Report J. Braz. Chem. Soc. 2017, 28(10), 2021-2027

"Sweet Chemistry": a Green Way for Obtaining Selenium Nanoparticles Active against Cancer Cells

Adriana P. Vieira; Erika M. Stein; Daniel X. Andreguetti; Gerardo Cebrián‑Torrejón; Antonio Doménech-Carbó; Pio Colepicolo; Ana Maria D. C. Ferreira

How to cite this article

 

A clean synthesis was developed to prepare selenium nanoparticles using fructose as the reducing agent. The obtained nanoparticles presented high toxicity toward cancer cells, and on the contrary are not toxic against human P4 fibroblasts.

https://dx.doi.org/10.21577/0103-5053.20170025

Published online: February 13, 2017

 

Share PDF

Total access: 2141


J. Braz. Chem. Soc. 2017, 28(10), 2028-2037

Synthesis, Inhibition of Mycobacterium tuberculosis Enoyl-acyl Carrier Protein Reductase and Antimycobacterial Activity of Novel Pentacyanoferrate(II)‑isonicotinoylhydrazones

Thais P. Gazzi; Mariane Rotta; Anne D. Villela; Valnês Rodrigues-Junior; Leonardo K. B. Martinelli; Francisco Adilson M. Sales; Eduardo Henrique Silva de Sousa; Maria Martha Campos; Luiz Augusto Basso; Diógenes S. Santos; Pablo Machado

How to cite this article

 

The pentacyanoferrate(II)-isonicotinoylhydrazones inhibited the reaction catalyzed by Mycobacterium tuberculosis 2-trans-enoyl-ACP(CoA) reductase (MtInhA), showed antitubercular activity against M. tuberculosis H37Rv strain with no apparent toxicity to mammalian cells and presented intracellular activity in a macrophage model of infection.

https://dx.doi.org/10.21577/0103-5053.20170033

Published online: February 17, 2017

 

Share PDF   Supplementary Information 

Total access: 2584


J. Braz. Chem. Soc. 2017, 28(10), 2038-2044

Synthesis of Diiodo-Functionalized Benzo[b]furans via Electrophilic Iodocyclization

Carlise Frota; Allan F. C. Rossini; Gleison A. Casagrande; Lucas Pizzuti; Cristiano Raminelli

How to cite this article

 

Diiodo-functionalized benzo[b]furans were achieved through a simple electrophilic iodocyclization reaction involving alkynylated
2-iodoanisoles and molecular iodine in the presence of sodium bicarbonate.

https://dx.doi.org/10.21577/0103-5053.20170035

Published online: February 20, 2017

 

Share PDF   Supplementary Information 

Total access: 2671

Online version ISSN 1678-4790 Printed version ISSN 0103-5053
Journal of the Brazilian Chemical Society
JBCS Editorial and Publishing Office
University of Campinas - UNICAMP
13083-970 Campinas-SP, Brazil

Free access

GN1