JBCS

13:24, Sat Nov 29

Open Access/APCs

First slide
Second slide
Third slide
Third slide
Fifth slide
Sixth slide

vol. 22, No. 1, 2011, p. 1-193

 

Looking back at 2010 and ahead at 2011

As usual, the editorial of the first issue of the year is dedicated to the assessment of the JBCS concerning the two previous years. Based on the national and international Chemical community feedback, we can say that, generally speaking, 2010 was very positive.

(Read more at Editorial)



Editorial J. Braz. Chem. Soc. 2011, 22(1), 1-2

Looking back at 2010 and ahead at 2011

Luiz Carlos Dias; Watson Loh

How to cite this article

 

https://dx.doi.org/10.1590/S0103-50532011000100001

Total access: 1972


Review J. Braz. Chem. Soc. 2011, 22(1), 3-20

Biosensors Based on Gold Nanostructures

Marcio Vidotti; Rafaela F. Carvalhal; Renata K. Mendes; Danielle C. M. Ferreira; Lauro T. Kubota

How to cite this article

 

https://dx.doi.org/10.1590/S0103-50532011000100002

Published online: November 9, 2010

 

Share PDF

Total access: 1510


Articles J. Braz. Chem. Soc. 2011, 22(1), 21-29

Epicarp and Mesocarp of Babassu (Orbignya speciosa): Characterization and Application in Copper Phtalocyanine Dye Removal

Adriana P. Vieira; Sirlane A. A. Santana; Cícero W. B. Bezerra; Hildo A. S. Silva; José A. P. Chaves; Júlio C. P. de Melo; Edson C. da Silva Filho; Claudio Airoldi

How to cite this article

 

https://dx.doi.org/10.1590/S0103-50532011000100003

Published online: July 22, 2010

 

Share PDF   Supplementary Information 

Total access: 2438


J. Braz. Chem. Soc. 2011, 22(1), 30-37

Highly Selective and Sensitive Membrane Salicylate Electrode Based on Complex of (1,8-Diamino-3,6-dioxaoctane) Nickel(II)

M. Mazloum-Ardakani; P. Pourhakkak; M. Salavati-Niasari; M. A. Karimi; M. H. Mashhadizadeh

How to cite this article

 

https://dx.doi.org/10.1590/S0103-50532011000100004

Published online: July 22, 2010

 

Share PDF

Total access: 1713


J. Braz. Chem. Soc. 2011, 22(1), 38-48

Quantitative Determination of Some Water-Soluble B Vitamins by Kinetic Analytical Method Based on the Perturbation of an Oscillatory Reaction

Jelena P. Maksimović; Ljiljana Z. Kolar-Anić; Slobodan R. Anić; Dragana D. Ribič; Nataša D. Pejić

How to cite this article

 

https://dx.doi.org/10.1590/S0103-50532011000100005

Published online: July 22, 2010

 

Share PDF

Total access: 1371


J. Braz. Chem. Soc. 2011, 22(1), 49-57

Sensitive Determination of Perphenazine in Pharmaceuticals and Human Serum by Flow Injection Chemiluminescence Method using [Ru(phen)3]2+-Ce(IV) System and a Chemometrical Optimization Approach

B. Rezaei; A. Mokhtari

How to cite this article

 

https://dx.doi.org/10.1590/S0103-50532011000100006

Published online: July 29, 2010

 

Share PDF

Total access: 1225


J. Braz. Chem. Soc. 2011, 22(1), 58-64

Identification of Semiochemicals in Adults and Nymphs of the Stink Bug Pallantia macunaima Grazia (Hemiptera: Pentatomidae)

Carla F. Fávaro; Mauro A. C. de M. Rodrigues; Jeffrey R. Aldrich; Paulo H. G. Zarbin

How to cite this article

 

https://dx.doi.org/10.1590/S0103-50532011000100007

Published online: July 29, 2010

 

Share PDF   Supplementary Information 

Total access: 2317


J. Braz. Chem. Soc. 2011, 22(1), 65-72

Two-Dimensional Quantitative Structure-Activity Relationship Studies on Bioactive Ligands of Peroxisome Proliferator-Activated Receptor δ

Tábata S. Garcia; Káthia M. Honório

How to cite this article

 

https://dx.doi.org/10.1590/S0103-50532011000100008

Published online: August 10, 2010

 

Share PDF

Total access: 1307


J. Braz. Chem. Soc. 2011, 22(1), 73-79

Synthesis, Absorption and Fluorescence Spectral Characteristics of Trinucleus Dimethine Cyanine Dyes as Fluorescent Probes for DNA Detection

Jun-Jie Su; Lan-Ying Wang; Xiang-Han Zhang; Yi-Le Fu; Yi Huang; Yong-Sheng Wei

How to cite this article

 

https://dx.doi.org/10.1590/S0103-50532011000100009

Published online: August 10, 2010

 

Share PDF   Supplementary Information 

Total access: 2487


J. Braz. Chem. Soc. 2011, 22(1), 80-85

Biosynthesis of Aphidicolin Proceeds via the Mevalonate Pathway in the Endophytic Fungus Nigrospora sphaerica

Adriana A. Lopes; Mônica T. Pupo

How to cite this article

 

https://dx.doi.org/10.1590/S0103-50532011000100010

Published online: August 10, 2010

 

Share PDF   Supplementary Information 

Total access: 2547


J. Braz. Chem. Soc. 2011, 22(1), 86-91

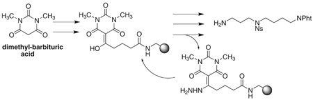
Synthesis and Characterization of a Linker for Primary Amines used in the Solid Phase Organic Synthesis of Spermidine

Emerson T. da Silva; Rosane A. S. San Gil; Stefano Caldarelli; Fabio Ziarelli; Edson L. S. Lima

How to cite this article

 

https://dx.doi.org/10.1590/S0103-50532011000100011

Published online: August 12, 2010

 

Share PDF

Total access: 1321


J. Braz. Chem. Soc. 2011, 22(1), 92-97

Solid State 13C NMR Analysis of Brazilian Cretaceous Ambers

Ricardo Pereira; Rosane A. S. San Gil; Ismar S. Carvalho; Antonio Carlos S. Fernandes; Débora A. Azevedo

How to cite this article

 

https://dx.doi.org/10.1590/S0103-50532011000100012

Published online: August 12, 2010

 

Share PDF   Supplementary Information 

Total access: 2310


J. Braz. Chem. Soc. 2011, 22(1), 98-103

Characterization of Interactions between Natural Organic Matter and Metals by Tangential-Flow Ultrafiltration and ICP OES

Adilson C. Santos; Luciane P. C. Romão; Valéria L. de Oliveira; Mônica C. Santos; Carlos A. B. Garcia; Igor C. Pescara; Luiz F. Zara

How to cite this article

 

https://dx.doi.org/10.1590/S0103-50532011000100013

Published online: August 12, 2010

 

Share PDF

Total access: 1189


J. Braz. Chem. Soc. 2011, 22(1), 104-110

Ultrasound-Assisted Emulsification Microextraction of Trace Amounts of Co and Mn Ions Prior to Flame Atomic Absorption Spectrometry

Sayed Z. Mohammadi; Daryoush Afzali; Yar M. Baghelani; Laleh Karimzadeh

How to cite this article

 

https://dx.doi.org/10.1590/S0103-50532011000100014

Published online: August 24, 2010

 

Share PDF

Total access: 1267


J. Braz. Chem. Soc. 2011, 22(1), 111-119

Degradation of Food Dyes by Zero-Valent Metals Exposed to Ultrasonic Irradiation in Water Medium: Optimization and Electrospray Ionization Mass Spectrometry Monitoring

Sérgio P. Pavanelli; Glayson Leonardo Bispo; Clésia Cristina Nascentes; Rodinei Augusti

How to cite this article

 

https://dx.doi.org/10.1590/S0103-50532011000100015

Published online: August 24, 2010

 

Share PDF

Total access: 1315


J. Braz. Chem. Soc. 2011, 22(1), 120-125

A Historical Evaluation of Anthropogenic Impact in Coastal Ecosystems by Geochemical Signatures

Soraya M. Patchineelam; Christian J. Sanders; Joseph M. Smoak; Rafaela C. Zem; Gustavo Oliveira; Sambasiva R. Patchineelam

How to cite this article

 

https://dx.doi.org/10.1590/S0103-50532011000100016

Published online: August 24, 2010

 

Share PDF   Supplementary Information 

Total access: 2945


J. Braz. Chem. Soc. 2011, 22(1), 126-133

Electrochemical Degradation of Reactive Dyes at Different DSA® Compositions

Rodrigo G. da Silva; Sydney Aquino Neto; Adalgisa R. de Andrade

How to cite this article

 

https://dx.doi.org/10.1590/S0103-50532011000100017

Published online: August 24, 2010

 

Share PDF

Total access: 1373


J. Braz. Chem. Soc. 2011, 22(1), 134-141

Ultra-Performance Liquid Chromatographic Method for Simultaneous Quantification of HIV Non-Nucleoside Reverse Transcriptase Inhibitors and Protease Inhibitors in Human Plasma

Marina V. Antunes; Júlia Poeta; Jorge P. Ribeiro; Eduardo Sprinz; Rafael Linden

How to cite this article

 

https://dx.doi.org/10.1590/S0103-50532011000100018

Published online: August 27, 2010

 

Share PDF   Supplementary Information 

Total access: 2741


J. Braz. Chem. Soc. 2011, 22(1), 142-147

Artificial Neural Networks in the Classification and Identification of Soybean Cultivars by Planting Region

Olívio F. Galão; Dionísio Borsato; Jurandir P. Pinto; Jesuí V. Visentainer; Mercedes Concórdia Carrão-Panizzi

How to cite this article

 

https://dx.doi.org/10.1590/S0103-50532011000100019

Published online: August 31, 2010

 

Share PDF

Total access: 1285


J. Braz. Chem. Soc. 2011, 22(1), 148-154

One-Pot Four-Component Synthesis of 2-Aryl-3,3-Dihaloacrylonitriles using Potassium Hexacyanoferrate(II) as Environmentally Benign Cyanide Source

Zhouxing Zhao; Zheng Li

How to cite this article

 

https://dx.doi.org/10.1590/S0103-50532011000100020

Published online: September 8, 2010

 

Share PDF   Supplementary Information 

Total access: 2435


J. Braz. Chem. Soc. 2011, 22(1), 155-165

Molecular Dynamics Simulations and QM/MM Studies of the Reactivation by 2-PAM of Tabun Inhibited Human Acethylcolinesterase

Arlan da Silva Gonçalves; Tanos C. C. França; José D. Figueroa-Villar; Pedro G. Pascutti

How to cite this article

 

https://dx.doi.org/10.1590/S0103-50532011000100021

Published online: September 30, 2010

 

Share PDF   Supplementary Information 

Total access: 2888


Short Reports J. Braz. Chem. Soc. 2011, 22(1), 166-171

NMR Study of 1,4-Dihydropyridine Derivatives Endowed with Long Alkyl and Functionalized Chains

Margarita Suárez; Dolores Molero; Esperanza Salfrán; Hortensia Rodríguez; Julieta Coro; Elena Sáez; Roberto Martínez-Alvarez; Nazario Martín

How to cite this article

 

https://dx.doi.org/10.1590/S0103-50532011000100022

Published online: July 27, 2010

 

Share PDF

Total access: 1304


J. Braz. Chem. Soc. 2011, 22(1), 172-175

Efficient Synthesis of 1,3,5-Oxygenated Synthons from Dimethyl 3-Oxoglutarate: First Use of Borane-dimethyl Sulfide Complex as a Regioselective Reducing Agent of 3-Oxygenated Glutarate Derivatives

Valéria B. Riatto; Maria N. M. Carneiro; Venília B. Carvalho; Mauricio M. Victor

How to cite this article

 

https://dx.doi.org/10.1590/S0103-50532011000100023

Published online: July 29, 2010

 

Share PDF

Total access: 1363


J. Braz. Chem. Soc. 2011, 22(1), 176-178

Chemical Constituents from Aegle marmelos

Surat Laphookhieo; Chalita Phungpanya; Cholpisut Tantapakul; Somsak Techa; Suphara Tha-in; Wanwasan Narmdorkmai

How to cite this article

 

https://dx.doi.org/10.1590/S0103-50532011000100024

Published online: August 10, 2010

 

Share PDF   Supplementary Information 

Total access: 2562


J. Braz. Chem. Soc. 2011, 22(1), 179-186

Influence of Wavelet Transform Settings on NIR and MIR Spectrometric Analyses of Diesel, Gasoline, Corn and Wheat

Luiz Alberto Pinto; Roberto K. H. Galvão; Mário César U. Araújo

How to cite this article

 

https://dx.doi.org/10.1590/S0103-50532011000100025

Published online: August 17, 2010

 

Share PDF

Total access: 1237


J. Braz. Chem. Soc. 2011, 22(1), 187-193

Synthesis of New 2-Aminocarbohydrate-1,4-Naphthoquinone Derivatives Promoted by Ultrasonic Irradiation

Caroline F. J. Franco; Alessandro K. Jordão; Vitor F. Ferreira; Angelo C. Pinto; Maria C. B. V. de Souza; Jackson A. L. C. Resende; Anna C. Cunha

How to cite this article

 

https://dx.doi.org/10.1590/S0103-50532011000100026

Published online: August 24, 2010

 

Share PDF

Total access: 1411

Online version ISSN 1678-4790 Printed version ISSN 0103-5053
Journal of the Brazilian Chemical Society
JBCS Editorial and Publishing Office
University of Campinas - UNICAMP
13083-970 Campinas-SP, Brazil

Free access

GN1