JBCS

13:23, Sat Nov 29

Open Access/APCs

First slide
Second slide
Third slide
Third slide
Fifth slide
Sixth slide

vol. 29, No. 4, 2018, p. 671-894

 

The present study evaluated the inhibitory activity of new eugenol esters on Leishmania rCPB 2.8 enzyme aiming to discover new promising drug candidates. Activation and enhancement of the in vitro proteolytic activity of this enzyme were also produced by some compounds and may be related to their preference in binding to an allosteric site, possibly located in the region of the LYS159 residue, close to the active site. Details are presented in the Article Design, Synthesis, Biological Evaluation and Molecular Modeling Studies of Novel Eugenol Esters as Leishmanicidal Agents by Camila M. Coelho, Thiago dos Santos, Poliany G. Freitas, Juliana B. Nunes, Marcos J. Marques, Camila G. D. Padovani, Wagner A. S. Júdice, Ihosvany Camps, Nelson J. F. da Silveira, Diogo T. Carvalho and Marcia P. Veloso on page 715.


Cover Article
J. Braz. Chem. Soc. 2018, 29(4), 715-728

Design, Synthesis, Biological Evaluation and Molecular Modeling Studies of Novel Eugenol Esters as Leishmanicidal Agents

Camila M. Coelho; Thiago dos Santos; Poliany G. Freitas; Juliana B. Nunes; Marcos J. Marques; Camila G. D. Padovani; Wagner A. S. Júdice; Ihosvany Camps; Nelson J. F. da Silveira; Diogo T. Carvalho; Marcia P. Veloso

How to cite this article

The present study evaluated the inhibitory activity of new eugenol esters on Leishmania rCPB 2.8 enzyme aiming to discover new promising drug candidates. Activation and enhancement of the in vitro proteolytic activity of this enzyme were also produced by some compounds and may be related to their preference in binding to an allosteric site, possibly located in the region of the LYS159 residue, close to the active site. Details are presented in the Article Design, Synthesis, Biological Evaluation and Molecular Modeling Studies of Novel Eugenol Esters as Leishmanicidal Agents by Camila M. Coelho, Thiago dos Santos, Poliany G. Freitas, Juliana B. Nunes, Marcos J. Marques, Camila G. D. Padovani, Wagner A. S. Júdice, Ihosvany Camps, Nelson J. F. da Silveira, Diogo T. Carvalho and Marcia P. Veloso on page 715.

https://dx.doi.org/10.21577/0103-5053.20170192

Published online: October  25, 2017
Share PDF

Total access: 5827


Articles J. Braz. Chem. Soc. 2018, 29(4), 671-679

Development of a Novel and Simple Electroanalytical Procedure for the Determination of Copper in Biofuel Employing a Sensor Based on Vulcan Functionalized with Carbazone

Tayane A. Freitas; Manoel J. A. Lima; Aldaléa L. B. Marques; Edmar P. Marques; Rita C. S. Luz; Cicero W. B. Bezerra

How to cite this article

 

Carbon paste electrode modified with Vulcan-carbazone presenting electroanalytical response for Cu2+ ions.

https://dx.doi.org/10.21577/0103-5053.20170181

Published online: October 10, 2017

 

Share PDF   Supplementary Information 

Total access: 3058


J. Braz. Chem. Soc. 2018, 29(4), 680-688

Qualitative and Quantitative Chemical Investigation of Orthopedic Alloys by Combining Wet Digestion, Spectroanalytical Methods and Direct Solid Analysis

Caio M. Figueiredo; Jeyne P. Castro; Marco A. Sperança; Lucimar L. Fialho; Joaquim A. Nóbrega; Edenir R. Pereira-Filho

How to cite this article

 

Laser-based analytical techniques for direct qualitative evaluation of orthopedic Ti alloys, and results comparison with data obtained after microwave-assisted digestion and inductively coupled plasma optical emission (ICP OES) determination.

https://dx.doi.org/10.21577/0103-5053.20170182

Published online: October 10, 2017

 

Share PDF

Total access: 2304


J. Braz. Chem. Soc. 2018, 29(4), 689-694

Electrocatalytic Oxidation Removal of Phenol from Aqueous Solution with Metal Oxides Doped Carbon Aerogel

Gui-Fen Lv; Yuan-Hua Chen; Tao Yang and Jian-Guo Li

How to cite this article

 

For metal oxides doped carbon aerogel (CA), the n-type and p-type semiconductors exhibited different electrocatalytic effect for phenol removal, and the former has higher effect.

https://dx.doi.org/10.21577/0103-5053.20170185

Published online: October 13, 2017

 

Share PDF

Total access: 2046


J. Braz. Chem. Soc. 2018, 29(4), 695-700

A New Method for the Determination of Creatinine in Urine Samples Based on Disposable Pipette Extraction

Aline R. Fernandes; Paulo S. de Souza; Anselmo E. de Oliveira; Andréa R. Chaves

How to cite this article

 

A simple, sensitive and reliable DPX/LC-UV (disposable pipette extraction using liquid chromatography with ultraviolet detection) method for the rapid determination of creatinine levels in urine samples.

https://dx.doi.org/10.21577/0103-5053.20170187

Published online: October 17, 2017

 

Share PDF

Total access: 2360


J. Braz. Chem. Soc. 2018, 29(4), 701-707

Synthesis and Antibacterial Evaluation of 2-Ethyl-1-(4-substituted)phenyl-1H-imidazole Derivatives as Open-Chain Analogues of 7-Alkoxyl-4,5-dihydroimidazo[1,2-α]quinolines

Xian-Yu Sun; Mei-Yu Liu; Chun-Yan Zhong; Gui-Lin Zheng; Ming-Yue Lv; Bo-Tao Jing; Chun-Yuan Pan; Xin Wang

How to cite this article

 

An outstanding compound was found to possess slightly more potent antibacterial activity against several bacterial strains than the reference drugs.

https://dx.doi.org/10.21577/0103-5053.20170190

Published online: October 19, 2017

 

Share PDF   Supplementary Information 

Total access: 8762


J. Braz. Chem. Soc. 2018, 29(4), 708-714

HR-MAS NMR Allied to Chemometric on Hancornia speciosa Varieties Differentiation

Igor S. Flores; Andressa K. Silva; Leonnardo C. Furquim; Carlos F. S. Castro; Lazaro J. Chaves; Rosane G. Collevatti; Luciano M. Liao

How to cite this article

 

Chemometric analyses of 1H high-resolution magic angle spinning nuclear magnetic resonance (1H HR-MAS NMR) data for the chemotaxonomic investigation of Hancornia speciosa (mangaba) varieties.

https://dx.doi.org/10.21577/0103-5053.20170191

Published online: October 25, 2017

 

Share PDF

Total access: 2235


J. Braz. Chem. Soc. 2018, 29(4), 715-728

Design, Synthesis, Biological Evaluation and Molecular Modeling Studies of Novel Eugenol Esters as Leishmanicidal Agents

Camila M. Coelho; Thiago dos Santos; Poliany G. Freitas; Juliana B. Nunes; Marcos J. Marques; Camila G. D. Padovani; Wagner A. S. Júdice; Ihosvany Camps; Nelson J. F. da Silveira; Diogo T. Carvalho; Marcia P. Veloso

How to cite this article

 

Synthesis of novel eugenol esters designed to inhibit the Leishmania rCPB 2.8 enzyme and in vitro evaluation of their biological activity. The molecular modeling study investigated the possible mechanisms of activation and inhibition exerted by some of these compounds on the enzyme rCPB 2.8.

https://dx.doi.org/10.21577/0103-5053.20170192

Published online: October 25, 2017

 

Share PDF   Supplementary Information 

Total access: 5827


J. Braz. Chem. Soc. 2018, 29(4), 729-737

Development and Validation of a Rapid and Reliable RP-HPLC-PDA Method for the Quantification of Six Diterpenes in Copaifera duckei, Copaifera reticulata and Copaifera multijuga Oleoresins

Luiza J. Carneiro; Thamires C. Bianchi; Jonas J. M. da Silva; Larissa C. Oliveira; Carly H. G. Borges; Danieli C. Lemes; Jairo K. Bastos; Rodrigo C. S. Veneziani; Sérgio R. Ambrósio

How to cite this article

 

Development and validation of a rapid and reliable reversed-phase high-performance liquid chromatography with photodiode array detection (RP-HPLC-PDA) method for quantifying six diterpenes in three species of Brazilian Copaifera oleoresins: C. duckei, C. reticulata and C. multijuga.

https://dx.doi.org/10.21577/0103-5053.20170195

Published online: October 27, 2017

 

Share PDF   Supplementary Information 

Total access: 5050


J. Braz. Chem. Soc. 2018, 29(4), 738-747

Two Novel Donepezil-Lipoic Acid Hybrids: Synthesis, Anticholinesterase and Antioxidant Activities and Theoretical Studies

Bruna S. Terra; Pedro H. C. da Silva; Anna Tramarin; Lucas L. Franco; Elaine F. F. da Cunha; Fernando Macedo Junior; Teodorico C. Ramalho; Manuela Bartolini; Maria L. Bolognesi; Angelo de Fátima

How to cite this article

 

Two hybrids containing the indanone-piperidine moiety of donepezil and lipoic acid scaffolds were synthesized. One hybrid displayed moderate inhibitory activity against hAChE and greater activity against hBuChE. It also showed a good antioxidant activity, exhibiting better ability in scavenging 2,2-diphenyl-1 picrylhydrazyl (DPPH) radicals than lipoic acid.

https://dx.doi.org/10.21577/0103-5053.20170196

Published online: October 31, 2017

 

Share PDF   Supplementary Information 

Total access: 4156


J. Braz. Chem. Soc. 2018, 29(4), 748-756

Microemulsion as Sample Preparation for Direct Flame Atomic Absorption Spectrometry (FAAS) Determination of Total Iron in Crude and Refined Vegetable Oils

Marília B. Galuch; Angélica F. B. Piccioli; Eduardo Sobieski Neto; Natália Fier; Nayara C. Saldan; Edivaldo E. Garcia

How to cite this article

 

A fast and simple analytical method was firstly proposed for the determination of iron (Fe) in crude and refined vegetable oil samples by employing the conventional flame atomic absorption spectrometry (FAAS) technique and microemulsification as sample preparation procedure.

https://dx.doi.org/10.21577/0103-5053.20170197

Published online: November 3, 2017

 

Share PDF

Total access: 3257


J. Braz. Chem. Soc. 2018, 29(4), 757-765

Magnetic Solid-Phase Extraction Combined with Dispersive Liquid-Liquid Microextraction Followed by HPLC for Determination of Four Aromatic Amines Released from Azo Dyes in Paper Samples

Xiaolan Li; Dongling Meng; Ruiqi Liu; Yaling Yang

How to cite this article

 

As shown in the figure, n-octanol, which was used as the extractant, and hydrophobic oleic acid modified Fe3O4 nanoparticles (Fe3O4@OA NPs), as an efficient adsorbent, were applied to retrieve the primary aromatic amines (PAAs)-containing n-octanol in the dispersive liquid-liquid microextraction (DLLME) step.

https://dx.doi.org/10.21577/0103-5053.20170198

Published online: November 9, 2017

 

Share PDF

Total access: 1788


J. Braz. Chem. Soc. 2018, 29(4), 766-774

Antimicrobial Activity of Paepalanthus planifolius and its Major Components against Selected Human Pathogens

Marcelo R. de Amorim; Felipe Hilário; Paulo T. Sano; Tais M. Bauab; Lourdes C. dos Santos

How to cite this article

 

New naphthopyranone dimer named planifoliusin A isolated from Paepalanthus planifolius.

https://dx.doi.org/10.21577/0103-5053.20170199

Published online: November 10, 2017

 

Share PDF   Supplementary Information 

Total access: 2695


J. Braz. Chem. Soc. 2018, 29(4), 775-781

Targeted-Analysis of β-Carboline Alkaloids in Passionfruit ("Maracujá") by SBSE(PDMS)-LC/Flu and UHPLC-MS

Vítor F. Freire; Gabriela R. Silva; Janete H. Yariwake

How to cite this article

 

β-Carboline alkaloids were identified in passionfruit by using UHPLC-MS (ultrahigh performance liquid chromatography-mass spectrometry) and SBSE(PDMS) (stir bar sorption extraction using polydimethylsiloxane as stationary phase) techniques.

https://dx.doi.org/10.21577/0103-5053.20170200

Published online: November 10, 2017

 

Share PDF   Supplementary Information 

Total access: 3185


J. Braz. Chem. Soc. 2018, 29(4), 782-791

Factorial Design Applied for Evaluation of Effect of Interactions among Precursors on the Thermal Decomposition Temperature of Montmorillonite/Poly(Methyl Methacrylate) Nanocomposites

Joseane A. Santana; Rennan G. O. Araujo; Filipe A. de Jesus; Kelly S. Lima; Giovanna Machado; Maria C. P. Cruz; Victor H. V. Sarmento

How to cite this article

 

A full factorial design was utilized to synthesize and to statistically study thermal properties of montmorillonite/poly(methyl methacrylate) nanocomposites.

https://dx.doi.org/10.21577/0103-5053.20170201

Published online: November 13, 2017

 

Share PDF

Total access: 1820


J. Braz. Chem. Soc. 2018, 29(4), 792-800

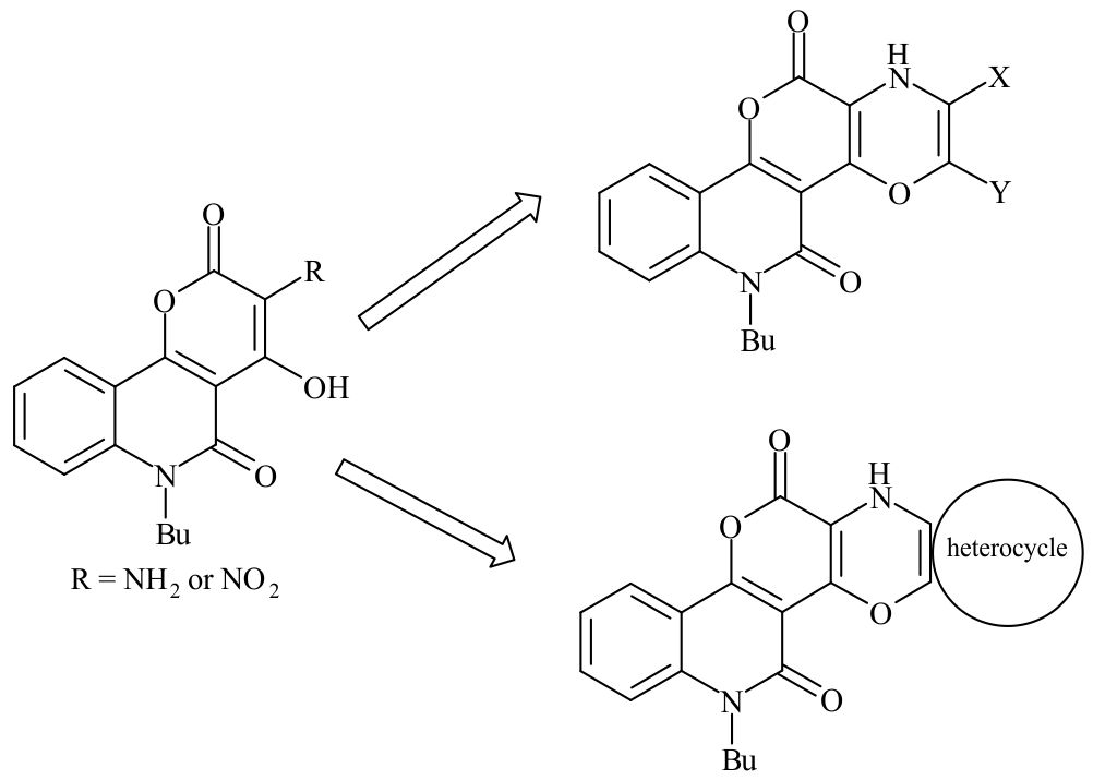
A Convenient and Efficient Method for the Synthesis of a Novel Series of N‑Butyl‑1,4-oxazino[2',3':4,5]pyrano[3,2-c]quinolinones

Hany M. Hassanin; Mohamed M. Hassan

How to cite this article

 

Starting from 3-amino and/or 3-nitro-4-hydroxypyranoquinolindione, some novel 1,4-oxazinopyranoquinolinone derivatives have been synthesized.

https://dx.doi.org/10.21577/0103-5053.20170202

Published online: November 14, 2017

 

Share PDF   Supplementary Information 

Total access: 2401


J. Braz. Chem. Soc. 2018, 29(4), 801-813

Development and Validation of Liquid Chromatography-Tandem Mass Spectrometry Methods for Determination of Beta-Lactams, Macrolides, Fluoroquinolones, Sulfonamides and Tetracyclines in Surface and Drinking Water from Rio de Janeiro, Brazil

Mychelle A. Monteiro; Bernardete F. Spisso; Rosana G. Ferreira; Mararlene U. Pereira; Jônatas V. Grutes; Bárbara R. G. de Andrade; Luiz A. d'Avila

How to cite this article

 

Antibiotics in the aquatic environment are present at low level. This method was applied for quantification of 46 analytes. The validation tests showed good performance for the surface and drinking water. The method was applied to evaluate these compounds in samples from Rio de Janeiro.

https://dx.doi.org/10.21577/0103-5053.20170203

Published online: November 17, 2017

 

Share PDF

Total access: 2910


J. Braz. Chem. Soc. 2018, 29(4), 814-822

Antimicrobial Activity of 3,4-seco-Diterpenes Isolated from Croton blanchetianus against Streptococcus mutans and Streptococcus parasanguinis

Nairley C. S. Firmino; Francisco S. O. Alexandre; Mayron A. de Vasconcelos; Alison J. S. Conrado; Francisco V. S. Arruda; Edilberto R. Silveira; Edson H. Teixeira

How to cite this article

 

Three antibacterial 3,4-seco-diterpenes were isolated from hexane extracts of roots of individual specimens of Croton blanchetianus Baill.

https://dx.doi.org/10.21577/0103-5053.20170204

Published online: November 17, 2017

 

Share PDF   Supplementary Information 

Total access: 3335


J. Braz. Chem. Soc. 2018, 29(4), 823-830

Interlaboratory Comparison for the Characterization of a Brazilian Mussel Reference Material

Edson G. Moreira; Marina B. A. Vasconcellos; Vera A. Maihara; Marília G. M. Catharino; Mitiko Saiki

How to cite this article

 

Production of a mussel reference material: from the living organism to certified mass fractions in bottles.

https://dx.doi.org/10.21577/0103-5053.20170205

Published online: November 17, 2017

 

Share PDF

Total access: 1898


J. Braz. Chem. Soc. 2018, 29(4), 831-837

A New, Friendlier Methodology to Determine the Average Manganese Valence in LixMn2O4 Spinels Using Atomic Absorption Spectrometry and Molecular Absorption Spectrophotometry

Joao P. Silva; Ricardo M. Silva; Sonia R. Biaggio; Nerilso Bocchi; Romeu C. Rocha-Filho

How to cite this article

 

Precise average manganese valences (ν) for Mn oxides are attained spectroscopically. When the oxides react with Fe2+, Mnν+ is reduced to Mn2+; thence [Mn2+] is determined by AAS and excess [Fe2+] by MAS (after Fe2+ complexation with o-phenanthroline), enabling the determination of ν.

https://dx.doi.org/10.21577/0103-5053.20170206

Published online: November 17, 2017

 

Share PDF

Total access: 1706


J. Braz. Chem. Soc. 2018, 29(4), 838-844

Structures, Stabilities, Reactivities, and (Hyper)Polarizabilities of Small Gold Clusters

Francisco E. Jorge; Alexsandro S. Santos

How to cite this article

 

DKH2-B3PW91/DZP+1d-DKH optimized ground state electronic structures for the gold clusters, Aun (n = 3-8).

https://dx.doi.org/10.21577/0103-5053.20170207

Published online: November 22, 2017

 

Share PDF

Total access: 1892


J. Braz. Chem. Soc. 2018, 29(4), 845-855

Synthesis, Characterization and Catalytic Evaluation of Magnetically Recoverable SrO/CoFe2O4 Nanocatalyst for Biodiesel Production from Babassu Oil Transesterification

Milton S. Falcao; Marco A. S. Garcia; Carla V. R. de Moura; Sabrina Nicolodi; Edmilson M. de Moura

How to cite this article

 

A very efficient SrO-based magnetic heterogeneous catalyst was developed in the studies presented herein. Biodiesel was produced from babassu oil transesterification with high yields in four catalytic cycles.

https://dx.doi.org/10.21577/0103-5053.20170209

Published online: November 27, 2017

 

Share PDF

Total access: 2807


J. Braz. Chem. Soc. 2018, 29(4), 856-872

Theoretical Study of the Interaction of 1,2-Dithiolene Ligands with the Mg2+ and Ca2+ Aquacations: Electronic, Geometric and Energetic Analysis

Glauber S. Melengate; Stanislav R. Stoyanov; Daniel G. S. Quattrociocchi; Leonardo M. da Costa; Glaucio B. Ferreira

How to cite this article

 

The interaction strength order is quantified in terms of the ΔH and ΔG of substitution of four water molecules from the [Ca(H2O)6]2+ by bidentate dithiolene ligands.

https://dx.doi.org/10.21577/0103-5053.20170210

Published online: November 27, 2017

 

Share PDF   Supplementary Information 

Total access: 2435


Short Report J. Braz. Chem. Soc. 2018, 29(4), 873-880

Comparison between Ultrasound Assisted Extraction and Microwave Digestion in the Determination of Arsenic in Edible Grains

Roberto V. Ribeiro; Júlia C. Vieira; Fabiana A. Lobo; Roberta E. S. Froes-Silva

How to cite this article

 

Comparison between microwave digestion and ultrasound assisted extraction (UAE) was made. UAE presents better performance compared to microwave digestion in arsenic extraction. Accuracy performance was close to 100% for all three methods developed. Bean samples cultivated in impacted areas presented 0.3 µg g-1 of arsenic concentration.

https://dx.doi.org/10.21577/0103-5053.20170184

Published online: October 13, 2017

 

Share PDF

Total access: 1845


J. Braz. Chem. Soc. 2018, 29(4), 881-887

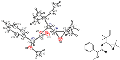
Absolute Configuration of Clemateol

Marcelo Pedroso; Adriana Z. Gehn; Mateus L. Stivanin; Enrique L. Larghi; Robert A. Burrow; Jackson A. L. C. Resende; Ubiratan F. da Silva; Marco A. Mostardeiro; Ionara I. Dalcol; Ademir F. Morel

How to cite this article

 

The absolute stereochemistry of clemateol was established on the basis of detailed NMR spectroscopic evidence (3JH-H analysis, derivatization as Mosher's esters and NOESY) and also by resonance scattering effects in the single crystal X-ray diffraction experiment of its (R)-mandelic acid ester derivative.

https://dx.doi.org/10.21577/0103-5053.20170189

Published online: October 17, 2017

 

Share PDF   Supplementary Information 

Total access: 3252


J. Braz. Chem. Soc. 2018, 29(4), 888-894

Solid Phase Microextraction (SPME) Fibers: in situ Measurements of Endocrine Disrupting Chemicals in Seawater

Dayana M. Santos; Mike Williams; Rai Kookana; Mary R. R. de Marchi

How to cite this article

 

Solid phase microextraction (SPME) fibers for use as passive sampler of endocrine disrupting chemicals as triclosan, bisphenol A and 17α-ethinylestradiol in seawater.

https://dx.doi.org/10.21577/0103-5053.20170193

Published online: October 25, 2017

 

Share PDF

Total access: 2056

Online version ISSN 1678-4790 Printed version ISSN 0103-5053
Journal of the Brazilian Chemical Society
JBCS Editorial and Publishing Office
University of Campinas - UNICAMP
13083-970 Campinas-SP, Brazil

Free access

GN1