JBCS

14:37, Sat Nov 29

Open Access/APCs

First slide
Second slide
Third slide
Third slide
Fifth slide
Sixth slide

vol. 29, No. 12, 2018, p. 2449-2668

 

Cosmetic based on vegetable oils, such as sesame, peanut, sunflower and almonds, has beneficial properties to the human skin, and, for this reason, they are increasingly being used as moisturizers, emollients, regenerators and antioxidants, in bath oils, shampoos and hair conditioners, creams and lotions products. Nevertheless, these vegetable oils are made of high cost raw materials, and consequently they are targets of adulterations, especially with addition of soybean oil. Hence, people daily use in their body soybean oil, believing that they are taking care of their body health with other oils. This study evaluated the authenticity of Brazilian cosmetics based on vegetable oils with gas chromatography with flame ionization detection (GC-FID), and direct infusion by electrospray ionization mass spectrometry (ESI-MS). Details are presented in the Article Assessment of Adulteration of Cosmetics Based on Vegetable Oils by GC‑FID and Lipid Profile Using Direct Infusion Electrospray Ionization Mass Spectrometry (ESI-MS) by Jessica S. Pizzo, Marília B. Galuch, Patrícia D. S. Santos, Oscar O. Santos, Lorena Visentainer, Marcos N. Eberlin and Jesuí V. Visentainer on page 2457.


Cover Article
J. Braz. Chem. Soc. 2018, 29(12), 2457-2465

Assessment of Adulteration of Cosmetics Based on Vegetable Oils by GC-FID and Lipid Profile Using Direct Infusion Electrospray Ionization Mass Spectrometry (ESI-MS)

Jessica S. Pizzo; Marília B. Galuch; Patrícia D. S. Santos; Oscar O. Santos; Lorena Visentainer; Marcos N. Eberlin; Jesuí V. Visentainer

How to cite this article

Cosmetic based on vegetable oils, such as sesame, peanut, sunflower and almonds, has beneficial properties to the human skin, and, for this reason, they are increasingly being used as moisturizers, emollients, regenerators and antioxidants, in bath oils, shampoos and hair conditioners, creams and lotions products. Nevertheless, these vegetable oils are made of high cost raw materials, and consequently they are targets of adulterations, especially with addition of soybean oil. Hence, people daily use in their body soybean oil, believing that they are taking care of their body health with other oils. This study evaluated the authenticity of Brazilian cosmetics based on vegetable oils with gas chromatography with flame ionization detection (GC-FID), and direct infusion by electrospray ionization mass spectrometry (ESI-MS). Details are presented in the Article Assessment of Adulteration of Cosmetics Based on Vegetable Oils by GC‑FID and Lipid Profile Using Direct Infusion Electrospray Ionization Mass Spectrometry (ESI-MS) by Jessica S. Pizzo, Marília B. Galuch, Patrícia D. S. Santos, Oscar O. Santos, Lorena Visentainer, Marcos N. Eberlin and Jesuí V. Visentainer on page 2457.

https://dx.doi.org/10.21577/0103-5053.20180123

Published online: June  25, 2018
Share PDF

Total access: 27692


Articles J. Braz. Chem. Soc. 2018, 29(12), 2449-2456

Electrochemical Deposition of the Single Phase TlxCu3 – xSe2 Thin Films

Francisco W. S. Lucas; Lucia H. Mascaro

How to cite this article

 

TlCu2Se2 texturized film was electrodeposited with [004] crystalline plane oriented parallel to the substrate surface. This texturization can also be associated with the films morphology.

https://dx.doi.org/10.21577/0103-5053.20180122

Published online: June 25, 2018

 

Share PDF

Total access: 2385


J. Braz. Chem. Soc. 2018, 29(12), 2457-2465

Assessment of Adulteration of Cosmetics Based on Vegetable Oils by GC-FID and Lipid Profile Using Direct Infusion Electrospray Ionization Mass Spectrometry (ESI-MS)

Jessica S. Pizzo; Marília B. Galuch; Patrícia D. S. Santos; Oscar O. Santos; Lorena Visentainer; Marcos N. Eberlin; Jesuí V. Visentainer

How to cite this article

 

Vegetable oils have been applied to human skin for cosmetic purposes for a long time. However, they are targets of adulterations, especially with addition of oils with low cost. This study will evaluate the authenticity of Brazilian cosmetics based on vegetable oils.

https://dx.doi.org/10.21577/0103-5053.20180123

Published online: June 25, 2018

 

Share PDF   Supplementary Information 

Total access: 27692


J. Braz. Chem. Soc. 2018, 29(12), 2466-2474

Voltammetric Determination of Zn2+ in Antiseptic Dusting Powder and Multivitamins Using a Carbon Paste Electrode Modified with Bi Anchored on Amberlite® IR120

Wilson T. Fonseca; Leandro A. R. Ribeiro; Lauro A. Pradela-Filho; Regina M. Takeuchi; André L. Santos

How to cite this article

 

Carbon paste electrodes modified with Bi anchored on Amberlite® IR120 enable fast Zn2+ determination in multivitamin and antiseptic dusting powder samples.

https://dx.doi.org/10.21577/0103-5053.20180124

Published online: June 26, 2018

 

Share PDF   Supplementary Information 

Total access: 1988


J. Braz. Chem. Soc. 2018, 29(12), 2475-2481

Optimization of Acid Hydrolysis of Myricetin-3-O-rhamnoside Using Response Surface Methodology

Tatiana C. Tolosa; Hervé Rogez; Evaldo M. Silva; Jesus N. S. Souza

How to cite this article

 

The acid hydrolysis of glycosylated flavonols were optimized and the hydrolytic process used is effective and applicable to plant extract (Inga edulis leaves).

https://dx.doi.org/10.21577/0103-5053.20180125

Published online: June 26, 2018

 

Share PDF

Total access: 1866


J. Braz. Chem. Soc. 2018, 29(12), 2482-2495

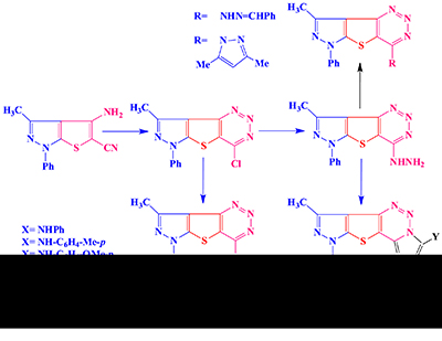
A Convenient Synthesis, Reactions and Biological Activity of Some New 6H-Pyrazolo[4',3':4,5]thieno[3,2-d][1,2,3]triazine Compounds as Antibacterial, Anti-Fungal and Anti-Inflammatory Agents

Remon M. Zaki; Adel M. Kamal El-Dean; Shaban M. Radwan; Ahmed F. Saber

How to cite this article

 

In the present work, we have provided an easy access for synthesis of novel thienopyrazole compounds, which were used as starting materials for building new heterocyclic systems namely: pyrazole, triazole and triazine, attached or fused to the thienopyrazole moiety that have revealed remarkable antimicrobial and anti-inflammatory activities.

https://dx.doi.org/10.21577/0103-5053.20180127

Published online: June 29, 2018

 

Share PDF   Supplementary Information 

Total access: 2356


J. Braz. Chem. Soc. 2018, 29(12), 2496-2501

Synthesis and Optical Properties of Water-Soluble CdTe:Zn2+ Quantum Dots Prepared by the One-Pot Approach

José C. L. Sousa; Marcelo G. Vivas; Jefferson L. Ferrari; Marco A. Schiavon

How to cite this article

 

Color map representing the emission vs. excitation wavelengths for different synthesis times of CdTe:Zn2+ quantum dots (QDs), and the normalized characteristic emission spectra obtained from the evolving factor analysis/multivariate curve resolution alternating least squares (EFA/MCR-ALS) method for each QD solution show the different sizes of the nanoparticles.

https://dx.doi.org/10.21577/0103-5053.20180128

Published online: July 2, 2018

 

Share PDF   Supplementary Information 

Total access: 2409


J. Braz. Chem. Soc. 2018, 29(12), 2502-2513

Facile Synthesis and Characterization of Symmetric N-[(Phenylcarbonyl) carbamothioyl]benzamide Thiourea: Experimental and Theoretical Investigations

Rafael G. Silveira; Anderson J. L. Catao; Beatriz N. Cunha; Fernando Almeida; Rodrigo S. Correa; Luan F. Diniz; Juan C. Tenório; Javier Ellena; Aleksey E. Kuznetso; Alzir A. Batista; Edésio Alcântara

How to cite this article

 

Simple synthesis path for obtaining a symmetric thiourea, the theoretical characterization and verification of the intermolecular interactions obtained by X-ray crystallography.

https://dx.doi.org/10.21577/0103-5053.20180129

Published online: July 2, 2018

 

Share PDF   Supplementary Information 

Total access: 43305


J. Braz. Chem. Soc. 2018, 29(12), 2514-2521

Fast Ephedrine Quantification by Gas Chromatography Mass Spectrometry

Gabriel R. A. Carneiro; Andressa M. S. Silva; Raquel M. Cavalcante; Monica C. Padilha; Francisco R. de Aquino Neto; Henrique M. G. Pereira; Vinícius F. Sardela

How to cite this article

 

Straightforward method for ephedrine quantification based on gas chromatography mass spectrometry (GC-MS), without cleanup, and optimized by multivariate Doehlert matrix.

https://dx.doi.org/10.21577/0103-5053.20180130

Published online: July 3, 2018

 

Share PDF

Total access: 1805


J. Braz. Chem. Soc. 2018, 29(12), 2522-2534

Metabolite Fingerprinting and Profiling of the Medicinal Grass Eleusine indica Based on HPLC-DAD, UPLC-DAD-MS/MS and NMR Analyses

Evelyn M. C. Peñaloza; Livia M. Casanova; Ivana C. R. Leal; Paula F. de Aguiar; Sônia S. Costa

How to cite this article

 

Crude aqueous extracts of aerial and underground parts of Eleusine indica populations from four different localities were analyzed by high-performance liquid chromatography with diode array detection (HPLC-DAD), ultra-performance liquid chromatography with diode array detector and mass spectrometry (UPLC-DAD-MS/MS) and nuclear magnetic resonance (NMR) spectroscopy.

https://dx.doi.org/10.21577/0103-5053.20180131

Published online: July 6, 2018

 

Share PDF   Supplementary Information 

Total access: 46528


J. Braz. Chem. Soc. 2018, 29(12), 2535-2541

Pulp Mill Effluent Treatment Using Plasma Obtained by High Voltage Electrolysis

Alexsandro A. Matias; César Reis; Efraim L. Reis; Cláudio M. Silva; Odilaine I. C. Damasceno; Antônio A. Neves

How to cite this article

 

The plasma is produced between two electrodes immersed in the pulp mill effluent, at 585 V and 200 mA, producing various types of reactive agents, that were used to breakdown diverse organic compounds.

https://dx.doi.org/10.21577/0103-5053.20180132

Published online: July 10, 2018

 

Share PDF

Total access: 1564


J. Braz. Chem. Soc. 2018, 29(12), 2542-2553

β-Enaminoesters as Novel Corrosion Inhibitors for Carbon Steel in Acidic Medium

Mariana F. L. P. Carlos; Arthur Valbon; Marcelo A. Neves; Margareth R. L. Santos; Aurea Echevarria

How to cite this article

 

American Iron and Steel Institute (AISI) 1020 carbon steel in 0.5 mol L-1 HCl in absence (blank) and presence of 1 × 10-2 mol L-1 ethyl-(2Z)-3-[(2-phenylethyl)amino]but-2-enoate (EN1).

https://dx.doi.org/10.21577/0103-5053.20180133

Published online: July 11, 2018

 

Share PDF

Total access: 1470


J. Braz. Chem. Soc. 2018, 29(12), 2554-2568

Virtual Screening for the Selection of New Candidates to Trypanosoma cruzi Farnesyl Pyrophosphate Synthase Inhibitors

Larissa M. Oliveira; Janay S. C. Araújo; David B. Costa Júnior; Manoelito C. dos Santos Junior; Aníbal F. Santos Júnior; Franco H. A. Leite

How to cite this article

 

Virtual screening to select Trypanosoma cruzi farnesyl pyrophosphate synthase inhibitors.

https://dx.doi.org/10.21577/0103-5053.20180135

Published online: July 12, 2018

 

Share PDF   Supplementary Information 

Total access: 2237


J. Braz. Chem. Soc. 2018, 29(12), 2569-2579

Anti-Parasite and Cytotoxic Activities of Chloro and Bromo L-Tyrosine Derivatives

Manuel Pastrana Restrepo; Elkin Galeano Jaramillo; Alejandro Martínez Martínez; Ana Mesa Arango; Sara Robledo Restrepo

How to cite this article

 

Bromo and chloro L-tyrosine derivatives actives against L. panamensis.

https://dx.doi.org/10.21577/0103-5053.20180136

Published online: July 16, 2018

 

Share PDF   Supplementary Information 

Total access: 2501


J. Braz. Chem. Soc. 2018, 29(12), 2580-2585

Radon Levels in a Hospital in Niterói Municipality-RJ, Brazil

Camila R. Silva; Pedro P. Caldeira; Angela S. F. Nani; Emmanoel V. Silva-Filho

How to cite this article

 

The radium present in the soil decays originating 222Rn, a gas with high mobility that diffuses to the surface through pores, fissures in the soil and by the groundwater.

https://dx.doi.org/10.21577/0103-5053.20180137

Published online: July 17, 2018

 

Share PDF

Total access: 1465


J. Braz. Chem. Soc. 2018, 29(12), 2586-2594

Evaluation of Benzene Derivatives Migration from Solid Residuals by Alternative Leaching Process Using HS‑SPME GC‑MS

Jocinei Dognini; Luiz A. S. Madureira

How to cite this article

 

Alternative leaching process for the determination of benzene derivatives in petrochemical waste using headspace solid-phase micro-extraction gas chromatography-mass spectrometry (HS-SPME GC-MS).

https://dx.doi.org/10.21577/0103-5053.20180138

Published online: July 18, 2018

 

Share PDF

Total access: 1392


J. Braz. Chem. Soc. 2018, 29(12), 2595-2604

Identification Using Classification Analysis of Flunitrazepam in Necrophagous Larvae via Differential Pulse Voltammetry and Fluorescence Excitation-Emission Matrix (EEM) Spectroscopy

Leomir A. S. de Lima; Camilo L. M. Morais; Jéssica T. Jales; Renata A. Gama; Sherlan G. Lemos; Kássio M. G. Lima

How to cite this article

 

Experimental procedure to obtain samples of fly larvae extract and subsequent analysis by differential pulse voltammetry with E / V vs. Ag/AgCl reference electrode and molecular fluorescence spectroscopy.

https://dx.doi.org/10.21577/0103-5053.20180139

Published online: July 18, 2018

 

Share PDF

Total access: 2035


J. Braz. Chem. Soc. 2018, 29(12), 2605-2615

Synthesis and Evaluation of Biocide and Cetane Number Improver Additives for Biodiesel from Chemical Changes in Triacylglycerides

Kênia P. Costa; Stella F. do Valle; Thayana F. L. dos Santos; Ellen T. Rangel; Angelo C. Pinto; Paulo A. Z. Suarez; Michelle J. C. Rezende

How to cite this article

 

Biocide candidates from chemical transformations in triacylglycerides were evaluated against microorganisms which have been isolated from biodiesel/diesel blends. Four nitrated derivatives presented fungicidal activity.

https://dx.doi.org/10.21577/0103-5053.20180140

Published online: July 20, 2018

 

Share PDF   Supplementary Information 

Total access: 2209


J. Braz. Chem. Soc. 2018, 29(12), 2616-2625

Evaluation of the Chemical Composition of Dry Feeds for Dogs and Cats

Silvânio S. L. Costa; Ana C. L. Pereira; Elisangela A. Passos; José P. H. Alves; Carlos A. B. Garcia; Rennan G. O. Araujo

How to cite this article

 

In this work, the mineral composition of dry feeds for cat and dog was determined and evaluated according to regulatory agencies.

https://dx.doi.org/10.21577/0103-5053.20180142

Published online: July 25, 2018

 

Share PDF   Supplementary Information 

Total access: 5006


J. Braz. Chem. Soc. 2018, 29(12), 2626-2635

Identification of Fusarium oxysporum Fungus in Wheat Based on Chemical Markers and Qualitative GC-MS Test

Carlos E. R. Senes; Nayara C. Saldan; Willian F. Costa; Terezinha I. E. Svidzinski; Cláudio C. Oliveira

How to cite this article

 

Fusarium oxysporum was cultivated in liquid and solid culture media. Using gas chromatography coupled to mass spectrometry (GC-MS), it was possible to identify secondary metabolites from liquid and solid culture media that can be used as chemical markers for this fungus.

https://dx.doi.org/10.21577/0103-5053.20180143

Published online: July 27, 2018

 

Share PDF   Supplementary Information 

Total access: 2298


J. Braz. Chem. Soc. 2018, 29(12), 2636-2645

Preparation of Magnetoliposomes with a Green, Low-Cost, Fast and Scalable Methodology and Activity Study against S. aureus and C. freundii Bacterial Strains

Rosangela M. F. da Costa e Silva; Luciano R. S. Lara; Jorge L. López; Angela L. Andrade; Junnia A. C. Oliveira; Jacqueline A. Takahashi; Henriete S. Vieira; Tulio Matencio; Humberto O. Stumpf; Rosana Z. Domingues

How to cite this article

 

A novel methodology, fast, low-cost and scalable, without the use of organic solvents and with the dual use of soy lecithin to prepare stable magnetoliposomes (MGLs).

https://dx.doi.org/10.21577/0103-5053.20180144

Published online: July 30, 2018

 

Share PDF   Supplementary Information 

Total access: 4654


J. Braz. Chem. Soc. 2018, 29(12), 2646-2656

Unprecedented One-Pot Sequence for the Synthesis of Tetrahydroquinoline Alkaloids and Preliminary Evaluation of their Antibacterial Activity

Gaspar Diaz-Muñoz; Izabel L. Miranda; Suélen K. Sartori; Gabriel N. S. Dias; Markus Kohlhoff; Gislaine A. Purgato; Marisa A. N. Diaz

How to cite this article

 

A novel one-pot sequence (in 2 or 3 steps) was developed for the synthesis of the tetrahydroquinoline alkaloids (±)-galipinine, (±)-cuspareine, (±)-galipeine and (±)-angustureine, and the derivative (±)-11-methoxy-5,6,6a,7,8,13-hexahydro-13a-aza-benzo[5,6]cyclohepta[1,2-a]naphthalene-12-ol from their respective Wittig adducts.

https://dx.doi.org/10.21577/0103-5053.20180145

Published online: July 30, 2018

 

Share PDF   Supplementary Information 

Total access: 2321


Short Report J. Braz. Chem. Soc. 2018, 29(12), 2657-2668

Potential Antileishmanial Activity of 4-N-Acylhydrazone Pyrazolo[3,4-d]pyridazin-7-ones: Synthesis, in vitro Biological Evaluations and Computational Studies

Andrey P. Jacomini; Michael J. V. da Silva; Julia Poletto; Gessica M. Ribeiro; Jessica T. C. Yokoyama; Danielle L. Bidóia; Fávero R. Paula; Celso V. Nakamura; Maria Helena Sarragiotto; Fernanda A. Rosa

How to cite this article

 

Synthesis of new series of pyrazolo[3,4-d]pyridazin-7-ones with antileishmanial activity and low toxicity against Leishmania amazonensis (strain WHOM/BR/75/JOSEFA), promastigote and amastigote forms.

https://dx.doi.org/10.21577/0103-5053.20180134

Published online: July 12, 2018

 

Share PDF   Supplementary Information 

Total access: 2478

Online version ISSN 1678-4790 Printed version ISSN 0103-5053
Journal of the Brazilian Chemical Society
JBCS Editorial and Publishing Office
University of Campinas - UNICAMP
13083-970 Campinas-SP, Brazil

Free access

GN1