JBCS

0:21, Mon Oct 13

Open Access/APCs

First slide
Second slide
Third slide
Third slide
Fifth slide
Sixth slide

vol. 22, No. 5, 2011, p. 809-1004

 

Rare Earths - Brazil x China

Contrary to what may be suggested by the name, are earths (RE) are neither earth nor rare. They were discovered by Gadolin only in 1794.1 Their name came from the difficulty in separating the elements2 between atomic numbers 57 and 71 (La, Ce, Pr, Nd, Pm, Sm, Eu, Gd, Tb, Dy, Ho, Er, Tm, Yb e Lu), besides Sc (21) and Y (39).

(Read more at Editorial)



Editorial J. Braz. Chem. Soc. 2011, 22(5), 809-812

Rare Earths: Brazil x China

Osvaldo Antonio Serra

How to cite this article

 

https://dx.doi.org/10.1590/S0103-50532011000500001

Total access: 1663


Articles J. Braz. Chem. Soc. 2011, 22(5), 813-819

A Multicommuted Flow System for Dissolution Studies of Captopril in Pharmaceutical Preparations

Mariana A. Sanchez; Diogo L. Rocha; Wanessa R. Melchert; Fábio R. P. Rocha

How to cite this article

 

Apparatus for dissolution assays of pharmaceutical preparations exploiting a flow-system with multi-commutation. The output of the detection system shows the transient signals and the corresponding dissolution curves.

https://dx.doi.org/10.1590/S0103-50532011000500002

Published online: January 27, 2011

 

Share PDF

Total access: 1208


J. Braz. Chem. Soc. 2011, 22(5), 820-827

Sequential Voltammetric Determination of Chromium, Thallium, Cadmium, Lead, Copper and Antimony in Saline Hemodialysis Concentrates using Electrolyte pH Gradient

Paulo C. Nascimento; Alexandre B. Schneider; Denise Bohrer; Leandro M. de Carvalho; Cristiane L. Jost

How to cite this article

 

Potential and pH procedure for the sequential voltammetric determination of metallic traces in saline hemodialysis concentrates. Chromium was quantified by adsorptive cathodic stripping voltammetry. Anodic stripping voltammetry was used for Tl, Cd, Pb, Cu and Sb quantification.

https://dx.doi.org/10.1590/S0103-50532011000500003

Published online: January 27, 2011

 

Share PDF

Total access: 1144


J. Braz. Chem. Soc. 2011, 22(5), 828-835

Metal Fractionation in Sediments of the Sergipe River, Northeast, Brazil

Elisangela de Andrade Passos; Jose do Patrocínio H. Alves; Carlos Alexandre B. Garcia; Antonio C. Spinola Costa

How to cite this article

 

This study presents the distributions of Cd, Cr, Cu, Ni, Pb and Zn in sediments of the Sergipe River. All of the sediment samples presented evidence of anthropogenic enrichment and around 30% of the metal content was present in the inert fraction.

https://dx.doi.org/10.1590/S0103-50532011000500004

Published online: January 27, 2011

 

Share PDF   Supplementary Information 

Total access: 2299


J. Braz. Chem. Soc. 2011, 22(5), 836-848

Citalopram Hydrobromide: Degradation Product Characterization and a Validated Stability-Indicating LC-UV Method

Manav Sharma; Parikshit R Jawa; Ravinder S Gill; Gulshan Bansal

How to cite this article

 

A forced degradation study on citalopram hydrobromide has revealed five degradation products.One photolytic and two hydrolytic products are characterized through LC-MS studies. A SIAM is developed and validated for quantitative analysis of citalopram.

https://dx.doi.org/10.1590/S0103-50532011000500005

Published online: January 27, 2011

 

Share PDF

Total access: 1231


J. Braz. Chem. Soc. 2011, 22(5), 849-856

Synthesis, Antimicrobial and Cytotoxicity Studies of Some Novel Modified Strobilurin Derivatives

Ajjanna M. Sridhara; Kallam R. Venugopala Reddy; Jathi Keshavayya; Dasannana Malige S. Ambika; Vadiraj S. Gopinath; Prosenjit Bose; Sanath Kumar Goud; Sanenahalli K. Peethambar

How to cite this article

 

Synthesis of 3-isoxazoline substituted phthalazine-methoxyacrylate derivatives.

https://dx.doi.org/10.1590/S0103-50532011000500006

Published online: February 1, 2011

 

Share PDF   Supplementary Information 

Total access: 2398


J. Braz. Chem. Soc. 2011, 22(5), 857-866

Protolytic Properties of Dyes Embedded in Gelatin Films

Nataliya A. Nikitina; Elena A. Reshetnyak; Nataliya V. Svetlova; Nikolay O. Mchedlov-Petrossyan

How to cite this article

 

The acid-base indicator dyes were embedded into the gelatin films by extracting from aqueous media under appropriate conditions. The well-reproducible indices of the apparent ionization constants, pKaapp, of the indicators were calculated by conventional equating the pH values of the bulk aqueous buffer and those of the 'internal' water into the gelatin films.

https://dx.doi.org/10.1590/S0103-50532011000500007

Published online: February 1, 2011

 

Share PDF   Supplementary Information 

Total access: 2346


J. Braz. Chem. Soc. 2011, 22(5), 867-874

Ethambutol Analysis by Copper Complexation in Pharmaceutical Formulations: Spectrophotometry and Crystal Structure

Adriana F. Faria; Luiza F. Marcellos; Juliana P. Vasconcelos; Marcus V. N. de Souza; Antônio L. S. Júnior; Weberton R. do Carmo; Renata Diniz; Marcone A. L. de Oliveira

How to cite this article

 

UV-Vis spectra of eleven experiments performed through a full 32 experimental design for CuETB complexation study.

https://dx.doi.org/10.1590/S0103-50532011000500008

Published online: February 1, 2011

 

Share PDF   Supplementary Information 

Total access: 2374


J. Braz. Chem. Soc. 2011, 22(5), 875-883

Electrooxidation of Phenol on a Ti/RuO2 Anode: Effect of Some Electrolysis Parameters

Iranildes D. dos Santos; Júlio C. Afonso; Achilles J. B. Dutra

How to cite this article

 

The electrolytic plug flow reactor was used: (i) to demonstrate that NaCl is a better supporting electrolyte than Na2SO4; (ii) to determine the effect of NaCl concentration on phenol removal; (iii) to determine the influence of electrolysis time on COD removal.

https://dx.doi.org/10.1590/S0103-50532011000500009

Published online: February 1, 2011

 

Share PDF

Total access: 1198


J. Braz. Chem. Soc. 2011, 22(5), 884-890

Studying the Distribution of Selenium in Buffalo and Cow's Milk Whey

João B. Pereira Junior; Kelly G. Fernandes

How to cite this article

 

This figure shows the steps of the analytical procedure.

https://dx.doi.org/10.1590/S0103-50532011000500010

Published online: February 1, 2011

 

Share PDF

Total access: 1212


J. Braz. Chem. Soc. 2011, 22(5), 891-896

Deltamethrin and Permethrin in the Liver and Heart of Wistar Rats Submitted to Oral Subchronic Exposure

Mônica A. T. Santos; Marili V. N. Rodrigues; Miguel A. Areas; Felix G. R. Reyes

How to cite this article

 

This study determined the residual levels of permethrin and deltamethrin in the liver and heart tissues of Wistar rats submitted to sub-chronic oral exposure with pyrethroids, as well as the effect of ingesting fibers on the residual levels of the pyrethroids by using GC-ECD analysis.

https://dx.doi.org/10.1590/S0103-50532011000500011

Published online: February 1, 2011

 

Share PDF

Total access: 1208


J. Braz. Chem. Soc. 2011, 22(5), 897-904

Square Wave Voltammetric Determination of Dexamethasone on a Multiwalled Carbon Nanotube Modified Pencil Electrode

B. Rezaei; S. Z. Mirahmadi Zare; Ali A. Ensafi

How to cite this article

 

Dexamethasone as steroid hormone do not have electrooxidation on pencil graphite electrode but with using of multiwalled carbon nanotubes it shows the electrooxidation behavior.

https://dx.doi.org/10.1590/S0103-50532011000500012

Published online: February 3, 2011

 

Share PDF

Total access: 1303


J. Braz. Chem. Soc. 2011, 22(5), 905-909

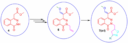
One-Pot Synthesis of 4H -Chromene and Dihydropyrano[3,2-c]chromene Derivatives in Hydroalcoholic Media

Ramin Ghorbani-Vaghei; Zahra Toghraei-Semiromi; Rahman Karimi-Nami

How to cite this article

 

Poly(N,N'-dibromo-N-ethyl-benzene- 1,3-disulfonamide) [PBBS] and N,N,N',N'-tetrabromo-benzene-1,3-disulfonamide [TBBDA ] are reusable and efficient catalysts for the synthesis of 4H-chromenes and dihydropyrano[3,2-c]chromenes.

https://dx.doi.org/10.1590/S0103-50532011000500013

Published online: February 3, 2011

 

Share PDF   Supplementary Information 

Total access: 2534


J. Braz. Chem. Soc. 2011, 22(5), 910-918

Arsenic and Mercury Mobility in Brazilian Sediments from the São Francisco River Basin

Patrícia S. Rezende; Priscila A. S. Moura; Walter A. Durão Jr.; Clésia C. Nascentes; Cláudia C. Windmöller; Letícia M. Costa

How to cite this article

 

Arsenic and mercury determinations were realized in 28 sediment samples from the Sao Francisco River Basin, Minas Gerais. The elements were analysed by hydride generator atomic absorption spectrometry (HG AAS). Adictionally, mercury determination was realized in the solid samples by direct mercury analyzer (DMA).

https://dx.doi.org/10.1590/S0103-50532011000500014

Published online: February 3, 2011

 

Share PDF   Supplementary Information 

Total access: 2390


J. Braz. Chem. Soc. 2011, 22(5), 919-928

Monitoring of β-Blockers Ozone Degradation via Electrospray Ionization Mass Spectrometry

Cristina Quispe; Fabiane M. Nachtigall; Maria Francesca R. Fonseca; Rosana M. Alberici; Luis Astudillo; Jorge Villaseñor; Marcos N. Eberlin; Leonardo S. Santos

How to cite this article

 

Online ESI-MS monitoring provided detailed information about organic intermediates connecting parent molecules and final mineralization products during advanced oxidation processes of Nadolol, Atenolol and Acebutolol.

https://dx.doi.org/10.1590/S0103-50532011000500015

Published online: February 3, 2011

 

Share PDF

Total access: 1339


J. Braz. Chem. Soc. 2011, 22(5), 929-935

Antioxidant Activity and Composition of Propolis Obtained by Different Methods of Extraction

Solange M. Cottica; Alexandra C. H. F. Sawaya; Marcos N. Eberlin; Selma L. Franco; Lucia M. Zeoula; Jesuí V. Visentainer

How to cite this article

 

Correlation coefficients between the DPPH· and FRAP methods, and contents of phenolic compounds and flavonoids of propolis ethanolic extracts obtained with different concentrations of propolis and ethanol contents.

https://dx.doi.org/10.1590/S0103-50532011000500016

Published online: February 3, 2011

 

Share PDF

Total access: 1298


J. Braz. Chem. Soc. 2011, 22(5), 936-942

Activity of the Lupane Isolated from Combretum leprosum against Leishmania amazonensis Promastigotes

Carolina B. G. Teles; Leandro S. Moreira; Alexandre de A. E. Silva; Valdir A. Facundo; Juliana P. Zuliani; Rodrigo G. Stábeli; Izaltina Silva-Jardim

How to cite this article

 

Structure of a natural triterpene, 3 b,6 b,16b-triidroxilup-20(29)-eno, isolated from Combretum leprosum fruits which has leishmanicidal activity against Leishmania amazonensis promastigotes.

https://dx.doi.org/10.1590/S0103-50532011000500017

Published online: February 8, 2011

 

Share PDF   Supplementary Information 

Total access: 2551


J. Braz. Chem. Soc. 2011, 22(5), 943-949

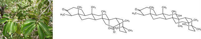
Chemical Constituents from Branches of Maytenus gonoclada (Celastraceae) and Evaluation of Antimicrobial Activity

Fernando C. Silva; Lucienir P. Duarte; Grácia D. F. Silva; Sidney A. V. Filho; Ivana S. Lula; Jacqueline A. Takahashi; William S. T. Sallum

How to cite this article

 

Complete 1D/2D NMR data are presented for 3-oxo-12a,29-dihydroxyfriedelane and 3,16-dioxo-dihydroxyfriedelane isolated from branches hexane extract of M. gonoclada. The antimicrobian activity of some constituents are also reported.

https://dx.doi.org/10.1590/S0103-50532011000500018

Published online: February 8, 2011

 

Share PDF   Supplementary Information 

Total access: 2223


J. Braz. Chem. Soc. 2011, 22(5), 950-954

Theoretical Determination of the Properties of Methanesulfinic and Methanesulfonic Acids

Nathália F. Carvalho; Simão P. Silva; Stella M. Resende

How to cite this article

 

Graphical representations of methanesulfonic acid and the two conformers of methanesulfinic acid, whose spectroscopic and thermochemical properties were obtained from high level ab initio calculations.

https://dx.doi.org/10.1590/S0103-50532011000500019

Published online: February 8, 2011

 

Share PDF

Total access: 1154


J. Braz. Chem. Soc. 2011, 22(5), 955-960

Chemotaxonomic Significance of Volatile Constituents in Hypenia (Mart. ex Benth.) R. Harley (Lamiaceae)

Julierme G. Silva; Maria T. Faria; Érica R. Oliveira; Maria H. Rezende; Dalva G. Ribeiro; Heleno D. Ferreira; Suzana C. Santos; José C. Seraphin; Pedro H. Ferri

How to cite this article

 

Essential oils and morphological characters from thirteen Hypenia spp. revealed the presence of two taxonomic clusters.

https://dx.doi.org/10.1590/S0103-50532011000500020

Published online: February 8, 2011

 

Share PDF   Supplementary Information 

Total access: 2579


J. Braz. Chem. Soc. 2011, 22(5), 961-967

Modified Silica Nanoparticles with an Aminonaphthoquinone

Gleiciani Q. Silveira; Célia M. Ronconi; Maria D. Vargas; Rosane A. S. San Gil; Alvicler Magalhães

How to cite this article

 

Our work has demonstrated that the reaction of aminopropylsilicalgel NPs with labile 2-methoxy-1,4-naphthoquinones is a good route to silica NPs containing bound amino-naphthoquinones.

https://dx.doi.org/10.1590/S0103-50532011000500021

Published online: February 10, 2011

 

Share PDF   Supplementary Information 

Total access: 2688


J. Braz. Chem. Soc. 2011, 22(5), 968-975

A Theoretical Study of the Inversion and Rotation Barriers in Methyl-Substituted Amines

Júnior Nascimento; Marina Pelegrini; Luiz F. A. Ferrão; Orlando Roberto-Neto; Francisco B. C. Machado

How to cite this article

 

TPotential energy curves along the Internal Reaction Coordinate path for the rotation motion of methylamine, dimethylamine and trimethylamine molecules.

https://dx.doi.org/10.1590/S0103-50532011000500022

Published online: February 10, 2011

 

Share PDF   Supplementary Information 

Total access: 2333


J. Braz. Chem. Soc. 2011, 22(5), 976-986

Slow Relaxation of the Magnetization in Oximato-Bridged Heterobimetallic Copper(II)-Manganese(III) Chains

Rafael Ruiz; Isabel Castro; Emilio Pardo; Jesús Ferrando-Soria; Joan Cano; Francesc Lloret; Miguel Julve

How to cite this article

 

The oximato-bridged copper(II)-manganese(III) chains of formula [MnCu(deg)2(CH3COO)(H2O)2] (1), [MnCu(meg)2(CH3COO)(H2O)2] (2) and [MnCu(dmg)2(CH3COO)(H2O)2] (3) (H2deg = diethylgly-oxime, H2meg = methylethylglyoxime and H2dmg = dimethylglyoxime) exhibit intrachain ferromagnetic coupling and slow relaxation of the magnetisation, behaving as single chain magnets (SCMs).

https://dx.doi.org/10.1590/S0103-50532011000500023

Published online: March 1, 2011

 

Share PDF   Supplementary Information 

Total access: 2336


Short Reports J. Braz. Chem. Soc. 2011, 22(5), 987-992

Validated Method for the Determination of Gemifloxacin in Bulk, Pharmaceutical Formulations and Human Serum by RP-HPLC: In Vitro Applications

Najma Sultana; M. Saeed Arayne; Sana Shamim; Mahwish Akhtar; Somia Gul

How to cite this article

 

Graphical abstract represents the chromatogram of gemifloxacin (GMFX) at a concentration level of 25 ìg mL-1 in mobile phase (a) composed of methanol:water (90:10, v/v) and human serum (b) at 270 nm, obtained by applying the proposed method.

https://dx.doi.org/10.1590/S0103-50532011000500024

Published online: February 1, 2011

 

Share PDF

Total access: 1175


J. Braz. Chem. Soc. 2011, 22(5), 993-996

Novel Anthraquinone Derivatives Produced by Pestalotiopsis guepinii, an Endophytic of the Medicinal Plant Virola michelii (Myristicaceae)

Marilene N. Oliveira; Lourivaldo S. Santos; Giselle M. S. P. Guilhon; Alberdan S. Santos; Isabel C. S. Ferreira; Manoel L. Lopes-Junior; Mara Silvia P. Arruda; Andrey M. R. Marinho; Milton N. da Silva; Edson Rodrigues-Filho; Maria C. F. Oliveira

How to cite this article

 

The endophytic fungus Pestalotiopsis guepinii was grown on rice and produced a new anthra-quinone derivative named guepinone.

https://dx.doi.org/10.1590/S0103-50532011000500025

Published online: February 8, 2011

 

Share PDF   Supplementary Information 

Total access: 2431


J. Braz. Chem. Soc. 2011, 22(5), 997-1004

C-24 Stereochemistry of Marine Sterols: (22E)-24-Ethyl-24-methylcholesta-5,22-dien-3β-ol and 24-Ethyl-24-methylcholest-5-en-3β-ol

Shizue Echigo; Leonardo Castellanos; Carmenza Duque; Hidehiro Uekusa; Noriyuki Hara; Yoshinori Fujimoto

How to cite this article

 

The C-24 configurations of the two marine sterols were determined by comparing their NMR data with those of stereodefined (24R)- and (24S)-samples that were synthesized in routes involving the orthoester Claisen rearrangement.

https://dx.doi.org/10.1590/S0103-50532011000500026

Published online: February 8, 2011

 

Share PDF   Supplementary Information 

Total access: 2174

Online version ISSN 1678-4790 Printed version ISSN 0103-5053
Journal of the Brazilian Chemical Society
JBCS Editorial and Publishing Office
University of Campinas - UNICAMP
13083-970 Campinas-SP, Brazil

Free access

GN1