JBCS

14:36, Sat Nov 29

Open Access/APCs

First slide
Second slide
Third slide
Third slide
Fifth slide
Sixth slide

vol. 22, No. 7, 2011, p. 1323-1394

 

The Transnational Practice of Chemistry: Key Competencies and Effects on Career and Scientific Productivity

Over the last fifty years, the profession of chemistry has borne witness to rapid change in the form and content of its practice. With growth in global political, economic and technological interdependency, transfer of academic and industrial chemical knowledge and professionals across borders accelerates and becomes more prevalent.

(Read more at Editorial)



Editorial J. Braz. Chem. Soc. 2011, 22(7), 1193-1196

The Transnational Practice of Chemistry: Key Competencies and Effects on Career and Scientific Productivity

Bradley D. Miller

How to cite this article

 

https://dx.doi.org/10.1590/S0103-50532011000700001

Total access: 1670


Account J. Braz. Chem. Soc. 2011, 22(7), 1197-1205

Carbocations on Zeolites. Quo Vadis?

Claudio J. A. Mota; Nilton Rosenbach Jr.

How to cite this article

 

The image shows the calculated structure of the bicyclobutonium cation on the zeolite Y structure, highlighting the hydrogen bond interactions with the framework oxygen atoms.

https://dx.doi.org/10.1590/S0103-50532011000700002

Published online: May 5, 2011

 

Share PDF

Total access: 1258


Review J. Braz. Chem. Soc. 2011, 22(7), 1206-1220

Cracking and Hydrocracking of Triglycerides for Renewable Liquid Fuels: Alternative Processes to Transesterification

Roger Fréty; Maria da Graça C. da Rocha; Soraia T. Brandão; Luiz A. M. Pontes; Jose F. Padilha; Luiz E. P. Borges; Wilma A. Gonzalez

How to cite this article

 

Liquid products from hydrocracking of babassu oil with NiMo/alumina catalyst, as analyzed by gas chromatography, showed a highly selective transformation of fatty acid moieties present in the original oil to a mixture of saturated linear hydrocarbons. The presence of both even and uneven C number in the products implies that two reaction mechanisms occurred: deoxygenation without C-C bond breaking and decarboxylation/decarbonylation.

https://dx.doi.org/10.1590/S0103-50532011000700003

Published online: April 28, 2011

 

Share PDF

Total access: 1678


Articles J. Braz. Chem. Soc. 2011, 22(7), 1221-1228

Enantioselective Analysis of Fluoxetine and Norfluoxetine in Plasma Samples by Protein Precipitation and Liquid Chromatography with Fluorescence Detection

Jordana S. Bueno; Bruno J. G. Silva; Maria Eugênia C. Queiroz

How to cite this article

 

Chromatogram of blank plasma sample spiked with fluoxetine (FLX) and norfluoxetine (NFLX), resulting in 500 ng mL-1, after protein precipitation step and liquid chromatography-fluorescence detection analysis.

https://dx.doi.org/10.1590/S0103-50532011000700004

Published online: February 24, 2011

 

Share PDF

Total access: 1706


J. Braz. Chem. Soc. 2011, 22(7), 1229-1235

Determination of Biodiesel Adulteration with Raw Vegetable Oil from ATR-FTIR Data using Chemometric Tools

Itânia P. Soares; Thais F. Rezende; Rita de Cássia. C. Pereira; Cláudio G. dos Santos; Isabel C. P. Fortes

How to cite this article

 

A three-dimensional plot of the first three principal components from biodiesel data. It is possible to distinguish, in each model, three different groups of samples: cotton, castor and palm biodiesel.

https://dx.doi.org/10.1590/S0103-50532011000700005

Published online: February 24, 2011

 

Share PDF

Total access: 1328


J. Braz. Chem. Soc. 2011, 22(7), 1236-1240

Zr(HSO4)4 as an Efficient Catalyst for the Preparation of 10-Aryl-6,8-dimethyl-6,10-dihydro-5-oxa-6,8-diazaanthra[2,3-d][1,3]dioxole-7,9-diones under Solvent-Free Conditions

Jiangli Zhang; Wei Lin Li; Li Qiang Wu

How to cite this article

 

A one-pot three-component condensation of 3,4-methylenedioxyphenol, aromatic aldehydes and
1,3-dimethylbarbituric acid, efficiently promoted in the presence of Zr(HSO4)4 under solvent-free conditions, produced 10-aryl-6,8-dimethyl-6,10-dihydro-5-oxa-6,8-diazaanthra[2,3-d][1,3]dioxole-7,9-diones.

https://dx.doi.org/10.1590/S0103-50532011000700006

Published online: February 24, 2011

 

Share PDF   Supplementary Information 

Total access: 2469


J. Braz. Chem. Soc. 2011, 22(7), 1241-1245

Detection of DNA Nucleotides on Pretreated Boron Doped Diamond Electrodes

Gustavo S. Garbellini; Carolina V. Uliana; Hideko Yamanaka

How to cite this article

 

The article presents the individual and equimolar mixture of DNA nucleotide detection using square wave voltammetry on boron doped diamond electrodes cathodically and anodically pre-treated.

https://dx.doi.org/10.1590/S0103-50532011000700007

Published online: March 1, 2011

 

Share PDF

Total access: 1177


J. Braz. Chem. Soc. 2011, 22(7), 1246-1252

Determination of Etimicin in Rat Plasma using 9-Fluorenylmethyl Chloroformate Precolumn Derivatization by HPLC with Fluorescence Detection

Xiaojuan Chang; Zhengping Yu

How to cite this article

 

The reaction of amines with FMOC-Cl. Etimicin uses precolumn derivatization (PCD) with 9-fluor-enylmethyl chloroformate (FMOCCl) by a reversed phase separation and subsequent fluorescence detection.

https://dx.doi.org/10.1590/S0103-50532011000700008

Published online: March 1, 2011

 

Share PDF

Total access: 1199


J. Braz. Chem. Soc. 2011, 22(7), 1253-1258

Stability-Indicating HPLC Determination of Pramipexole dihydrochloride in Bulk Drug and Pharmaceutical Dosage Form

Vedavati M. Panditrao; Aniket P. Sarkate; Jaiprakash N. Sangshetti; Pravin S. Wakte; Devanand B. Shinde

How to cite this article

 

The reversed phase HPLC method was developed and validated for Pramipexole dihydrochloride in bulk drugs and in pharmaceutical dosage form in the presence of degradation products. The detection was carried out at a wavelength of 260 nm. The Pramipexole was subjected to stress conditions of hydrolysis, oxidation, photolysis and thermal degradation

https://dx.doi.org/10.1590/S0103-50532011000700009

Published online: March 1, 2011

 

Share PDF

Total access: 1251


J. Braz. Chem. Soc. 2011, 22(7), 1259-1262

Allylic Chlorination of Terpenic Olefins using a Combination of MoCl5 and NaOCl

Brahim Boualy; Larbi El Firdoussi; Mustapha Ait Ali; Abdellah Karim

How to cite this article

 

Various natural terpenes are converted to the corresponding allylic chlorides in good to excellent yield, using MoCl5 /NaOCl system under mild conditions.

https://dx.doi.org/10.1590/S0103-50532011000700010

Published online: March 1, 2011

 

Share PDF   Supplementary Information 

Total access: 2462


J. Braz. Chem. Soc. 2011, 22(7), 1263-1270

Optimization of a New Dissolution Test for Oxcarbazepine Capsules Using Mixed-Level Factorial Design

Hudson C. Polonini; Marcone A. L. de Oliveira; Anderson O. Ferreira; Nádia R. B. Raposo; Lívia N. Grossi; Marcos A. F. Brandão

How to cite this article

 

The dissolution of the oxcarbazepine was carried out utilizing a dissolutor and different parameters in 18 experiments which lead to the plotting of a surface response graph. This allowed establishing the best conditions for the test.

https://dx.doi.org/10.1590/S0103-50532011000700011

Published online: March 3, 2011

 

Share PDF   Supplementary Information 

Total access: 2278


J. Braz. Chem. Soc. 2011, 22(7), 1271-1278

Adsorptive Stripping Voltammetric Determination of Nitroimidazole Derivative on Multiwalled Carbon Nanotube Modified Electrodes: Influence of Size and Functionalization of Nanotubes

Paola Jara-Ulloa; Paulina Cañete-Rosales; Luis J. Núñez-Vergara; Juan A. Squella

How to cite this article

 

4-NimMeBr was adsorbed on the MWCNT modified electrode thus permitting the implementation of an adsorptive stripping voltammetric (ASV) method.

https://dx.doi.org/10.1590/S0103-50532011000700012

Published online: March 3, 2011

 

Share PDF

Total access: 1260


J. Braz. Chem. Soc. 2011, 22(7), 1279-1285

Metabolites from Roots of Colubrina greggii var. yucatanensis and Evaluation of their Antiprotozoan, Cytotoxic and Antiproliferative Activities

Dafne B. Domínguez-Carmona; Fabiola Escalante-Erosa; Karlina García-Sosa; Grace Ruiz-Pinell; David Gutierrez-Yapu; Manuel J. Chan-Bacab; Rosa E. Moo-Puc; Nigel C. Veitch; Alberto Giménez-Turba; Luis M. Peña-Rodríguez

How to cite this article

 

3-O-acetylceanothic acid, a new natural ceanothane triterpene together with the known metabolites ceanothic acid, ceanothenic acid, betulinic acid, discarine B and chrysophanein, were isolated from the root extract of C. greggii var. yucatanensis and evaluated for their antiprotozoan, cytotoxic and anti-proliferative activities.

https://dx.doi.org/10.1590/S0103-50532011000700013

Published online: March 11, 2011

 

Share PDF   Supplementary Information 

Total access: 2457


J. Braz. Chem. Soc. 2011, 22(7), 1286-1298

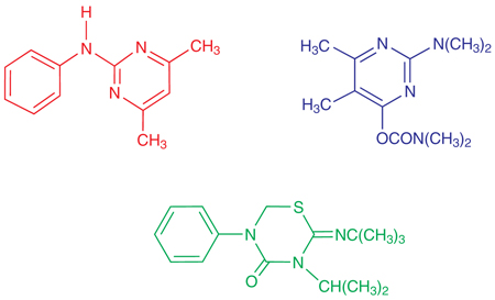
Synthesis and Biological Activity of Some New Pyrazoline and Pyrimidine Derivatives

Seham Y. Hassan

How to cite this article

 

New series of anthracenylpyrazolines and anthracenylpyrimidines were synthesized from 3-(anthracen-9-yl)-1-aryl-prop-2-en-1-one derivatives and spectroscopically characterized. The compounds were evaluated for their antibacterial and antifungal activities.

https://dx.doi.org/10.1590/S0103-50532011000700014

Published online: March 11, 2011

 

Share PDF   Supplementary Information 

Total access: 2530


J. Braz. Chem. Soc. 2011, 22(7), 1299-1306

Electrochemical Degradation of the Dye Reactive Orange 16 using Electrochemical Flow-Cell

Luciano Gomes; Douglas W. Miwa; Geoffroy R. P. Malpass; Artur J. Motheo

How to cite this article

 

Electrochemical filter-press-type reactor used for dye removal.

https://dx.doi.org/10.1590/S0103-50532011000700015

Published online: March 15, 2011

 

Share PDF

Total access: 1163


J. Braz. Chem. Soc. 2011, 22(7), 1307-1314

Evolution of the Concentration of Phenolic Compounds in Cachaça during Aging in an Oak (Quercus sp.) Barrel

Jeancarlo P. dos Anjos; Maria das Graças Cardoso; Adelir A. Saczk; Haroldo S. Dórea; Wilder D. Santiago; Ana Maria R. Machado; Lidiany M. Zacaroni; David Lee Nelson

How to cite this article

 

Evolution of the phenolic content of the cachaça during aging in oak barrel, where the phenolic compounds were analised by HPLC and spectrophotometric analysis.

https://dx.doi.org/10.1590/S0103-50532011000700016

Published online: March 17, 2011

 

Share PDF

Total access: 1176


J. Braz. Chem. Soc. 2011, 22(7), 1315-1322

Highly Selective and Sensitive Voltammetric Sensor for Captopril Determination Based on Modified Multiwall Carbon Nanotubes Paste Electrode

Ali A. Ensafi; B. Rezaei; Zohre Mirahmadi-Zare; H. Karimi-Maleh

How to cite this article

 

A modified electrode (by incorporation of carbon nanotubes with p-aminophenol as a mediator) was used as voltammetric sensor for the determination of captopril. The modified electrode has high electrocatalytic activity for captopril oxidation at pH 6.0. The voltammetric sensor was successfully applied for the determination of captopril in drug and urine samples.

Published online: March 17, 2011

 

Share PDF

Total access: 1552


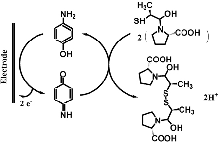
J. Braz. Chem. Soc. 2011, 22(7), 1323-1332

H6GeMo10V2O40·16H2O Nanoparticles Prepared by Hydrothermal Method: A New and Reusable Heteropoly Acid Catalyst for Highly Efficient Acetylation of Alcohols and Phenols under Solvent-Free Conditions

Saeid Farhadi; Reza Zareisahamieh; Masoumeh Zaidi

How to cite this article

 

H6GeMo10V2O40•16H2O nanoparticles, as a new heteropoly acid, have been prepared through hydrothermal method and have been used as an efficient heterogeneous catalyst for rapid and selective acetylation of alcohols and phenols with acetic anhydride under solvent-free conditions at room temperature.

https://dx.doi.org/10.1590/S0103-50532011000700018

Published online: March 22, 2011

 

Share PDF

Total access: 1134


J. Braz. Chem. Soc. 2011, 22(7), 1333-1338

Biotransformation of Chalcones by the Endophytic Fungus Aspergillus flavus Isolated from Paspalum maritimum Trin.

Marivaldo J. C. Corrêa; Fátima M. Nunes; Heriberto R. Bitencourt; Fábio C. Borges; Giselle M. S. P. Guilhon; Mara S. P. Arruda; Andrey M. R. Marinho; Alberdan S. Santos; Cláudio N. Alves; Davi S. B. Brasil; Lourivaldo S. Santos

How to cite this article

 

The chalcones were incubated in culture medium to produce the corresponding dihydrochalcones. The bioreduction was regioselective, occurring only in the carbon-carbon double bond of the α, β-insaturated ketone system.

https://dx.doi.org/10.1590/S0103-50532011000700019

Published online: March 22, 2011

 

Share PDF   Supplementary Information 

Total access: 2289


J. Braz. Chem. Soc. 2011, 22(7), 1339-1345

Spectroscopic Characterization of the Exopolysaccharide of Xanthomonas axonopodis pv. citri in Cu2+ Resistance Mechanism

Denise Osiro; Roberto W. Assis Franco; Luiz Alberto Colnago

How to cite this article

 

FTIR spectra of Xac cells cultivated with (red) and without CuSO4 (black). The strong peak (red) at 1650 cm-1 in related to the production of pyruvated exopolysaccharides, by the cells, to bind and reduces the copper toxicity.

https://dx.doi.org/10.1590/S0103-50532011000700020

Published online: March 22, 2011

 

Share PDF

Total access: 1162


J. Braz. Chem. Soc. 2011, 22(7), 1346-1353

Prenylindole Alkaloids from Raputia praetermissa (Rutaceae) and their Chemosystematic Significance

Lisandra V. Rosas; Thiago André M. Veiga; João B. Fernandes; Paulo C. Vieira; M. Fátima das G. F. da Silva

How to cite this article

 

The occurrence of prenylindole alkaloids in Raputia species provides a better understanding of the chemotaxonomic relationships between Raputia and Neoraputia genera.

https://dx.doi.org/10.1590/S0103-50532011000700021

Published online: March 24, 2011

 

Share PDF   Supplementary Information 

Total access: 2579


J. Braz. Chem. Soc. 2011, 22(7), 1354-1361

HPLC-FLD Simultaneous Determination of 13 Polycyclic Aromatic Hydrocarbons: Validation of an Analytical Procedure for Soybean Oils

Mônica C. R. Camargo; Paula R. Antoniolli; Eduardo Vicente

How to cite this article

 

Polycyclic aromatic hydrocarbons (PAHs) are organic contaminants, which occur in air, soil and food, from incomplete combustion or pyrolysis of organic matter. In edible oils, the presence of PAHs is mainly attributed to the smoke drying of the oil seeds, during oil production.

https://dx.doi.org/10.1590/S0103-50532011000700022

Published online: March 24, 2011

 

Share PDF   Supplementary Information 

Total access: 2391


J. Braz. Chem. Soc. 2011, 22(7), 1362-1370

Electrochemical Behavior of Copper in Drinking Water: Evaluation of Dissolution Process at Low Anodic Overpotential

J. F. Rios; J. A. Calderón; R. P. Nogueira

How to cite this article

 

The copper surface immersed in near-neutral aerated tap water shows an increasing film thickness with time that hinders the diffusion of copper species across the oxide layer, which is larger in stagnating condition.

https://dx.doi.org/10.1590/S0103-50532011000700023

Published online: March 24, 2011

 

Share PDF

Total access: 1103


J. Braz. Chem. Soc. 2011, 22(7), 1371-1378

Solid-Phase Microextraction for Determination of Anilino-Pyrimidine, Dimethylcarbamate and Thiadiazine Pesticides in Irrigation Project Surface Water

Clóvis F. Silva Filho; Elissandro S. Emídio; Haroldo S. Dórea

How to cite this article

 

Pyrimethanil, pirimicarb and buprofezin are pesticides used in a variety of cultures and this work showed which one can be determinated in surface waters from irrigated area. The samples were collected from the irrigated regions of Sergipe and Pernambuco States, Brazil, and were prepared by solid-phase microextraction (SPME).

https://dx.doi.org/10.1590/S0103-50532011000700024

Published online: March 29, 2011

 

Share PDF

Total access: 1148


Short Reports J. Braz. Chem. Soc. 2011, 22(7), 1379-1388

Synthesis of Dihydropyrimidin-2-one/thione Library and Cytotoxic Activity against the Human U138-MG and Rat C6 Glioma Cell Lines

Rômulo F. S. Canto; Andressa Bernardi; Ana Maria O. Battastini; Dennis Russowsky; Vera Lucia Eifler-Lima

How to cite this article

 

A series of dihydropyrimidin-2-ones/thiones synthesized by a new environmentally-friend method showed, for the first time, antiproliferative activity against human U118-MG and rat C6 glioma cell lines. Some compounds were more cytotoxic than monastrol.

https://dx.doi.org/10.1590/S0103-50532011000700025

Published online: March 15, 2011

 

Share PDF   Supplementary Information 

Total access: 2638


J. Braz. Chem. Soc. 2011, 22(7), 1389-1394

Pd-Catalyzed Heck Reactions of Aryl Bromides with 1,2-Diarylethenes

Jones Limberger; Silvia Poersch; Adriano L. Monteiro

How to cite this article

 

The Heck reaction of trans-stilbene derivatives with aryl halides in order to obtain substituted triarylethenes is described. Findings concerning the influence of halide or olefin electro-donating and withdrawing groups on activity, regio- and stereoselectivity of the Heck reaction are also reported.

https://dx.doi.org/10.1590/S0103-50532011000700026

Published online: March 29, 2011

 

Share PDF   Supplementary Information 

Total access: 2706

Online version ISSN 1678-4790 Printed version ISSN 0103-5053
Journal of the Brazilian Chemical Society
JBCS Editorial and Publishing Office
University of Campinas - UNICAMP
13083-970 Campinas-SP, Brazil

Free access

GN1