JBCS

14:40, Sat Nov 29

Open Access/APCs

First slide
Second slide
Third slide
Third slide
Fifth slide
Sixth slide

vol. 22, No. 8, 2011, p. 1395-1615

 

Emerging contaminants refer to compounds present in different environmental compartments, both man-made and naturally occurring, as well as other substances and their degradation products, not previously recognized adverse effects on ecosystems and not considered under the current legislation regulating drinking water quality. Several groups of compounds have emerged as particularly relevant; among them, pharmaceuticals, personal care products, surfactants and their metabolites, plasticizers, natural and synthetic estrogens. Some compounds are of particular concern due to the fact that they can alter the functioning of the endocrine system of animals and humans chronically exposed to them. The input of sewage and effluents are the major contributors to the contamination of the water bodies by these substances. Conventional wastewater treatment plants are not efficient in removing some of these compounds, so they may be present in our drinking water resources.
 

Details are discussed in the article Spatial and Seasonal Variations of Pharmaceuticals and Endocrine Disruptors in the Atibaia River, S J. Braz. Chem. Soc. 2011, 22, p. 1452.



(Read more at Editorial)



Editorial J. Braz. Chem. Soc. 2011, 22(8), 1395-1398

The International Year of Chemistry at Half Time

Nicole J. Moreau

How to cite this article

 

https://dx.doi.org/10.1590/S0103-50532011000800001

Total access: 1744


Review J. Braz. Chem. Soc. 2011, 22(8), 1399-1406

Photocatalytic Production of Hydrogen: an Innovative Use for Biomass Derivatives

Marcos de Oliveira Melo; Luciana Almeida Silva

How to cite this article

 

The photocatalytic reforming of aqueous biomass solutions could be an interesting and innovative route to produce hydrogen in ambient conditions. This process is able to produce hydrogen from renewable energy sources, since it uses solar radiation, raw materials derived from renewable sources such as biomass and water.

https://dx.doi.org/10.1590/S0103-50532011000800002

Published online: April 28, 2011

 

Share PDF

Total access: 1639


Articles J. Braz. Chem. Soc. 2011, 22(8), 1407-1417

Chitosan/Siloxane Hybrid Polymer: Synthesis, Characterization and Performance as a Support for Immobilizing Enzyme

Grazielle S. Silva; Pedro C. Oliveira; Domingos S. Giordani; Heizir F. de Castro

How to cite this article

 

The performance of a silica/chitosan hybrid matrix synthesized by sol-gel process was evaluated, using TEOS as a precursor to immobilize enzymes having potential industrial applications. Lipase from enzyme Burkholderia cepacia was chosen as model system. Support (SiO2-chitosan) and immobilized derivative were characterized with respect to their morphological and biochemical properties.

https://dx.doi.org/10.1590/S0103-50532011000800003

Published online: March 31, 2011

 

Share PDF

Total access: 1289


J. Braz. Chem. Soc. 2011, 22(8), 1418-1425

Comparative Study of the Salinization Process in Surface Water Reservoirs Located in Two Distinct Regions in Southwestern Bahia, Brazil

José S. dos Santos; Maria Lúcia P. dos Santos; Daniela Marques Alexandrino

How to cite this article

 

The water collected in the Anagé Reservoir during the rainy season was classified as S3 and S4, showing very high sodicity values. So it was considered inappropriate for irrigation use.

https://dx.doi.org/10.1590/S0103-50532011000800004

Published online: March 31, 2011

 

Share PDF   Supplementary Information 

Total access: 2357


J. Braz. Chem. Soc. 2011, 22(8), 1426-1438

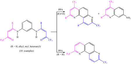
Simultaneous Regioselective Synthesis of Trifluoromethyl-Containing 1,7-Phenanthrolines and Quinolines from Cyclocondensation Reaction of N,N'-Bis(oxotrifluoroalkenyl)-1,3-Phenylenediamines

Helio G. Bonacorso; Rosália Andrighetto; Nícolas Krüger; Marcos A. P. Martins; Nilo Zanatta

How to cite this article

 

An interesting chemical behavior for cyclization reactions of a variety of enaminones was described. Selective routes of ring closure were also observed, including direct cyclocondensations, hydrolyses and recombinations, which simultaneously furnished fused bis-(trifluoromethyl)-diazatricycles and 7-aminoquinolines.

https://dx.doi.org/10.1590/S0103-50532011000800005

Published online: March 31, 2011

 

Share PDF   Supplementary Information 

Total access: 2743


J. Braz. Chem. Soc. 2011, 22(8), 1439-1445

Synthesis of 1,3-Diynes via Detelluration of Bis(ethynyl)tellurides

Hélio A. Stefani; Jesus M. Pena; Julio Zukerman-Schpector; Edward R. T. Tiekink

How to cite this article

 

The synthesis of symmetric conjugated diyne systems with electron-withdrawing or electron-donating substituents via a palladium-catalyzed detelluration of bis(arylethynyl)tellurides and bis(alkylethynyl) tellurides is described.

https://dx.doi.org/10.1590/S0103-50532011000800006

Published online: April 5, 2011

 

Share PDF   Supplementary Information 

Total access: 2308


J. Braz. Chem. Soc. 2011, 22(8), 1446-1451

Predicting Partition Coefficients of Migrants in Food Simulant/Polymer Systems using Adaptive Neuro-Fuzzy Inference System

Parviz Shahbazikhah; Mohammad Asadollahi-Baboli; Ramin Khaksar; Reza Fareghi Alamdari; Vali Zare-Shahabadi

How to cite this article

 

Adaptive neuro-fuzzy inference system (ANFIS) has five layers in which layers 0 and 5 represent the descriptors and response, respectively. In this study, ANFIS was employed to predict the partition coeffiction of migrants in food/packaging systems. Forty four systems consisted of 4 food stimulants, 6 migrants and 2 packaging materials were studied.

https://dx.doi.org/10.1590/S0103-50532011000800007

Published online: April 7, 2011

 

Share PDF   Supplementary Information 

Total access: 2350


J. Braz. Chem. Soc. 2011, 22(8), 1452-1462

Spatial and Seasonal Variations of Pharmaceuticals and Endocrine Disruptors in the Atibaia River, São Paulo State (Brazil)

Cassiana C. Montagner; Wilson F. Jardim

How to cite this article

 

Map of the study area showing the sampling sites. Red bars account the concentrations of caffeine in the dry season and blue bars represent the concentrations of caffeine in wet season.

https://dx.doi.org/10.1590/S0103-50532011000800008

Published online: April 12, 2011

 

Share PDF

Total access: 1478


J. Braz. Chem. Soc. 2011, 22(8), 1463-1469

Utilization of a Novel Ag(III)-Luminol Chemiluminescence System for Determination of d-Penicillamine in Human Urine Samples

Li Ma; Mengdi Fan; Xiangdong Xu; Weijun Kang; Hongmei Shi

How to cite this article

 

d-Penicillamine can dramatically enhance the chemiluminescence(CL) intensities of the novel reaction system: the reaction between Ag(III) complex with luminol. Chemiluminescence spectra: A, Luminol- [Ag(HIO6)2]5- system; B, d-Penicillamine-luminol-[Ag(HIO6)2]5- system.

https://dx.doi.org/10.1590/S0103-50532011000800009

Published online: April 14, 2011

 

Share PDF

Total access: 1259


J. Braz. Chem. Soc. 2011, 22(8), 1470-1477

Evaluation of a PVC Sensing Phase for Determination of Chlorinated Hydrocarbons in Water by Mid-Infrared Spectroscopy

Andréa Monteiro S. Silva; Eduardo de Araujo Viana; Maria Fernanda Pimentel; Yeda M. B. Almeida; Ivo M. Raimundo Jr

How to cite this article

 

PVC sensing phase used for extraction of hydrocarbons from water and the absorption spectra obtained for chlorobenzene, trichloroethylene and trichlorobenzene.

https://dx.doi.org/10.1590/S0103-50532011000800010

Published online: April 19, 2011

 

Share PDF

Total access: 1168


J. Braz. Chem. Soc. 2011, 22(8), 1478-1483

Aspects of Protonation and Deprotonation of Humic Acid Surface on Molecular Conformation

Alexandre G. S. Prado; Jonas Pertusatti; Alécio R. Nunes

How to cite this article

 

The comprehension of pH dependence on charge behavior around surfaces is important in order to control the colloidal stability of dispersion. Around a charged surface in aqueous solution, a diffuse electric double layer takes place, which protects the charge and let all the system uncharged.

https://dx.doi.org/10.1590/S0103-50532011000800011

Published online: April 19, 2011

 

Share PDF

Total access: 1269


J. Braz. Chem. Soc. 2011, 22(8), 1484-1492

Distribution and Availability of Copper, Iron, Manganese and Zinc in the Archaeological Black Earth Profile from the Amazon Region

Cleide S. T. Mescouto; Vanda P. Lemos; Heronides A. Dantas Filho; Marcondes L. da Costa; Dirse C. Kern; Kelly G. Fernandes

How to cite this article

 

Availability of micronutrients (Cu, Fe, Mn and Zn) and organic matter (OM) showing the relationship between their concentrations along the soil profile at an archaeological site Terra Preta 2, district of Juruti, Pará State.

https://dx.doi.org/10.1590/S0103-50532011000800012

Published online: April 26, 2011

 

Share PDF

Total access: 1194


J. Braz. Chem. Soc. 2011, 22(8), 1493-1504

Assessment of Surface Water in Two Amazonian Rivers Impacted by Industrial Wastewater, Barcarena City, Pará State (Brazil)

Marcelo de O. Lima; Elisabeth C. O. Santos; Iracina M. de Jesus; Adaelson C. Medeiros; Kelson do C. F. Faial; Cláudio N. Alves

How to cite this article

 

The wastewaters discharge into the Curuperê River from the industrial processing of kaolin at Barcarena City at Pará State (Brazil) caused changes in abiotic conditions also affecting the Dendê River. Environmental impacts from the analyses of the physicochemical characterization and metal levels obtained for surface waters of both rivers were observed.

https://dx.doi.org/10.1590/S0103-50532011000800013

Published online: April 26, 2011

 

Share PDF   Supplementary Information 

Total access: 2386


J. Braz. Chem. Soc. 2011, 22(8), 1505-1510

Improved Synthesis of 1,3,4-Thiadiazolium-2-phenylamines using Microwave and Ultrasound Irradiation and Investigation of their Cytotoxic Activity

Camilla Moretto dos Reis; Juliana Echevarria-Lima; Amanda Fraga Miranda; Aurea Echevarria

How to cite this article

 

A new and efficient synthesis of eight 1,3,4-thiadiazolium-2-phenylamine derivatives was realized using microwave and ultrasound irradiation. The target compounds were obtained in good yields and remarkably short times. The cytotoxicity against K562 human leukemia and Daudi lymphoma lines was also evaluated.

https://dx.doi.org/10.1590/S0103-50532011000800014

Published online: May 3, 2011

 

Share PDF   Supplementary Information 

Total access: 2447


J. Braz. Chem. Soc. 2011, 22(8), 1511-1518

Chemotaxonomical Aspects of Lower Cretaceous Amber from Recôncavo Basin, Brazil

Ricardo Pereira; Ismar S. Carvalho; Antonio Carlos S. Fernandes; Débora A. Azevedo

How to cite this article

 

Chemotaxonomical studies concerning terpenoid composition of Brazilian amber samples allowed proposing the existence of a resinous paleoflora constituted by conifer families associated to Maracangalha Formation (Recôncavo Basin). The amber occurrence described here is evidence about the distribution of conifers in Brazil during Lower Cretaceous.

https://dx.doi.org/10.1590/S0103-50532011000800015

Published online: May 3, 2011

 

Share PDF   Supplementary Information 

Total access: 2410


J. Braz. Chem. Soc. 2011, 22(8), 1519-1524

Alternative Analytical Method for Metal Determination in Inorganic Fertilizers Based on Ultrasound-Assisted Extraction

Alexandre F. Lima; Eduardo M. Richter; Rodrigo A. A. Muñoz

How to cite this article

 

The development of a "green" sample preparation procedure for the analysis of inorganic fertilizers based on ultrasound-assisted extraction using an ultrasonic bath is described. Samples were sonicated for 5 min in the presence of 2 mL of 50% (v/v) HNO3 inside glass tubes and satisfactory recovery values were obtained.

https://dx.doi.org/10.1590/S0103-50532011000800016

Published online: May 3, 2011

 

Share PDF

Total access: 1264


J. Braz. Chem. Soc. 2011, 22(8), 1525-1530

Multiclass MSPD Method for Pesticide Determination in Dehydrated Hyptis pectinata (Sambacaitá) Medicinal Plant by GC-MS

Adriano Aquino; Michel R. R. Souza; Samia T. A. Maciel; Marcelo da Rosa Alexandre; Sandro Navickiene

How to cite this article

 

Medicinal plants are liable to contain pesticides that may accumulate from agricultural practices. The MSPD is a technique used for the extraction of analytes from solid or viscous samples. The determination of pesticides in medicinal plant is accomplished using gas chromatographic technique.

https://dx.doi.org/10.1590/S0103-50532011000800017

Published online: May 5, 2011

 

Share PDF

Total access: 1191


J. Braz. Chem. Soc. 2011, 22(8), 1531-1538

Eugenia neonitida Sobral and Eugenia rotundifolia Casar. (Myrtaceae) Essential Oils: Composition, Seasonality Influence, Antioxidant Activity and Leaf Histochemistry

Anna C. A. Defaveri; Alice Sato; Leandro B. Borré; Daniel L. M. Aguiar; Rosane A. S. San Gil; Rosani C. O. Arruda; Carlos A. S. Riehl

How to cite this article

 

The graphical abstract shows the morphology of Eugenia neonitida in its habitat and the secretory cavities that accumulate the essential oil and from which it volatilizes. The chemical structures are α-pinene, β-pinene, β-caryophyllene, germacrene D and bicyclogermacrene, the major compounds of both studied species essential oils.

https://dx.doi.org/10.1590/S0103-50532011000800018

Published online: May 10, 2011

 

Share PDF   Supplementary Information 

Total access: 2330


J. Braz. Chem. Soc. 2011, 22(8), 1539-1548

Supramolecular Complexes Formed by the Association of Poly(ethyleneimine) (PEI), Sodium Cholate (NaC) and Sodium Dodecyl Sulfate (SDS)

Arlindo C. Felippe; Ismael C. Bellettini; Renato Eising; Edson Minatti; Fernando C. Giacomelli

How to cite this article

 

The image of the graphical abstract cartoons the formation of supramolecular complexes produced by the association of poly(ethyleneimine) (PEI) and mixtures of sodium cholate (NaC) and sodium dodecyl sulfate (SDS). The formation of such complexes has been investigated by using a variety of techniques and the results are given in this article.

https://dx.doi.org/10.1590/S0103-50532011000800019

Published online: May 10, 2011

 

Share PDF

Total access: 1141


J. Braz. Chem. Soc. 2011, 22(8), 1549-1558

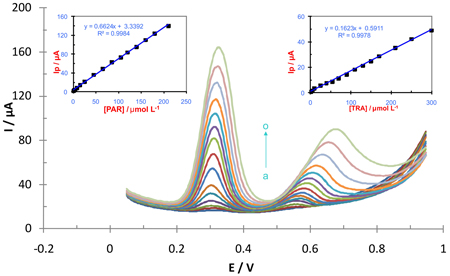
A Multi-Walled Carbon Nanotube-Modified Glassy Carbon Electrode as a New Sensor for the Sensitive Simultaneous Determination of Paracetamol and Tramadol in Pharmaceutical Preparations and Biological Fluids

Ali Babaei; Ali Reza Taheri; Mohammad Afrasiabi

How to cite this article

 

Differential pulse voltammograms and the corresponding calibration curves obtained for various concentrations of paracetamol and tramadol at a multi-walled carbon nanotube-modified glassy carbon electrode under optimum conditions.

https://dx.doi.org/10.1590/S0103-50532011000800020

Published online: May 12, 2011

 

Share PDF

Total access: 1212


J. Braz. Chem. Soc. 2011, 22(8), 1559-1567

Enantioselective Resolution of (R,S)-1-Phenylethanol Catalyzed by Lipases Immobilized in Starch Films

Isabel Hoffmann; Vanessa D. Silva; Maria da G. Nascimento

How to cite this article

 

Lipases from different sources were immobilized on ginger starch film or ginger starch/PEO blends. These biocatalytic systems were used in the resolution of (R,S)-phenylethanol with vinylacetate, ethyl acetate, iso-propenyl acetate and acetic anhydride.

https://dx.doi.org/10.1590/S0103-50532011000800021

Published online: May 12, 2011

 

Share PDF   Supplementary Information 

Total access: 2820


J. Braz. Chem. Soc. 2011, 22(8), 1568-1584

Hyphenating the Curtius Rearrangement with Morita-Baylis-Hillman Adducts: Synthesis of Biologically Active Acyloins and Vicinal Aminoalcohols

Giovanni W. Amarante; Mayra Cavallaro; Fernando Coelho

How to cite this article

 

We describe herein an approach to the preparation of acyloins and anti-1,2-aminoalcohols based on a Curtius rearrangement coupled with Morita-Baylis-Hillman adducts as substrates. Based on this new approach, the total synthesis of bupropion and spisulosine were accomplished.

https://dx.doi.org/10.1590/S0103-50532011000800022

Published online: May 17, 2011

 

Share PDF   Supplementary Information 

Total access: 2394


J. Braz. Chem. Soc. 2011, 22(8), 1585-1594

Input of Organic Matter in a Large South American Tropical Estuary (Paranaguá Estuarine System, Brazil) Indicated by Sedimentary Sterols and Multivariate Statistical Approach

César C. Martins; Bianca H. Seyffert; Juliana A. F. Braun; Gilberto Fillmann

How to cite this article

 

Cluster analyses according to general inputs (fecal, terrestrial or marine sources) in the total sterols to the sediments from Paranaguá Estuary. Group I distinguish stations where the proportion of sterols from marine sources is higher while Group II contains the stations where the fecal sterols is extremely low and terrigenous sources are slightly predominant.

https://dx.doi.org/10.1590/S0103-50532011000800023

Published online: May 19, 2011

 

Share PDF   Supplementary Information 

Total access: 2488


J. Braz. Chem. Soc. 2011, 22(8), 1595-1600

Quantum Confinement in PbI2 Nanodisks Prepared with Cucurbit[7]uril

Erick M. S. dos Santos; Lourivaldo S. Pereira; Grégoire J.-F. Demets

How to cite this article

 

Lead iodide nanodisks were prepared using cucurbit[7]uril as a template. These nanoparticles exhibit strong absorption blue-shift as a result of one-dimensional quantum confinement.

https://dx.doi.org/10.1590/S0103-50532011000800024

Published online: May 24, 2011

 

Share PDF   Supplementary Information 

Total access: 2264


J. Braz. Chem. Soc. 2011, 22(8), 1601-1609

Electrochemical Behavior of Propranolol and its Major Metabolites, 4'-Hydroxypropranolol and 4'-Hydroxypropranolol Sulfate, on Glassy Carbon Electrode

Irena Baranowska; Marta Koper

How to cite this article

 

The voltammetric methods for propranolol and metabolites were proposed. The differential pulse voltammetry method on glassy carbon electrode could be used for simultaneous determination of mentioned species in urine sample after the enrichment step.

https://dx.doi.org/10.1590/S0103-50532011000800025

Published online: May 31, 2011

 

Share PDF

Total access: 1238


Short Reports J. Braz. Chem. Soc. 2011, 22(8), 1610-1615

Three New Compounds from Piper montealegreanum Yuncker (Piperaceae)

Harley da S. Alves; Maria de F. V. de Souza; Maria C. de O. Chaves

How to cite this article

 

The photocatalytic reforming of aqueous biomass solutions could be an interesting and innovative route to produce hydrogen in ambient conditions. This process is able to produce hydrogen from renewable energy sources, since it uses solar radiation, raw materials derived from renewable sources such as biomass and water.

https://dx.doi.org/10.1590/S0103-50532011000800026

Published online: April 19, 2011

 

Share PDF   Supplementary Information 

Total access: 2328

Online version ISSN 1678-4790 Printed version ISSN 0103-5053
Journal of the Brazilian Chemical Society
JBCS Editorial and Publishing Office
University of Campinas - UNICAMP
13083-970 Campinas-SP, Brazil

Free access

GN1