JBCS

12:55, Sat Nov 29

Open Access/APCs

First slide
Second slide
Third slide
Third slide
Fifth slide
Sixth slide

vol. 21, No. 3, 2010, p. 375-571




Editorial J. Braz. Chem. Soc. 2010, 21(3), 375-376

The Basic Education Quality Challenge

Mozart Neves Ramos

How to cite this article

 

https://dx.doi.org/10.1590/S0103-50532010000300001

Total access: 1615


Review J. Braz. Chem. Soc. 2010, 21(3), 377-412

Metal Complexes versus Organocatalysts in Asymmetric 1,3-Dipolar Cycloadditions

Carmen Nájera; José M. Sansano; Miguel Yus

How to cite this article

 

https://dx.doi.org/10.1590/S0103-50532010000300002

Published online: February 1, 2010

 

Share PDF

Total access: 1512


Articles J. Braz. Chem. Soc. 2010, 21(3), 413-418

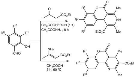
On the One Pot Syntheses of Chromeno[4,3-b]pyridine-3-carboxylate and Chromeno[3,4-c]pyridine-3-carboxylate and Dihydropyridines

Patricio A. Navarrete-Encina; Ricardo Salazar; Christian Vega-Retter; Karina Pérez; Juan A. Squella; Luis J. Nuñez-Vergara

How to cite this article

 

https://dx.doi.org/10.1590/S0103-50532010000300003

Published online: December 26, 2009

 

Share PDF

Total access: 1108


J. Braz. Chem. Soc. 2010, 21(3), 419-430

Selective Sorbent Enrichment of Nickel Ions from Aqueous Solutions using a Hierarchically Hybrid Organic-Inorganic Polymer Based on Double Imprinting Concept

Letícia Ramos Nacano; Mariana Gava Segatelli; César Ricardo Teixeira Tarley

How to cite this article

 

https://dx.doi.org/10.1590/S0103-50532010000300004

Published online: December 3, 2009

 

Share PDF

Total access: 1286


J. Braz. Chem. Soc. 2010, 21(3), 431-435

Asymmetric Transfer Hydrogenation of Ketones in Aqueous Solution Catalyzed by Rhodium(III) Complexes with C2-Symmetric Fluorene-Ligands Containing Chiral (1R,2R)-Cyclohexane-1,2-diamine

Rubén Montalvo-González; Daniel Chávez; Gerardo Aguirre; Miguel Parra-Hake; Ratnasamy Somanathan

How to cite this article

 

https://dx.doi.org/10.1590/S0103-50532010000300005

Published online: December 3, 2009

 

Share PDF

Total access: 1146


J. Braz. Chem. Soc. 2010, 21(3), 436-440

Determination of Viscosity and Solids in Pressure-Sensitive Adhesives by FTIR-ATR and Multivariate Calibration

Joana G. de Aguiar; Alessandra Borin; Ronei J. Poppi

How to cite this article

 

https://dx.doi.org/10.1590/S0103-50532010000300006

Published online: December 3, 2009

 

Share PDF

Total access: 1065


J. Braz. Chem. Soc. 2010, 21(3), 441-446

Determination of Ochratoxin A in Wine by High-Performance Thin-Layer Chromatography using Charged Coupled Device

Juliane E. Welke; Michele Hoeltz; Horacio A. Dottori; Isa B. Noll

How to cite this article

 

https://dx.doi.org/10.1590/S0103-50532010000300007

Published online: December 3, 2009

 

Share PDF

Total access: 1051


J. Braz. Chem. Soc. 2010, 21(3), 447-451

Electrochemical Behavior of 1-Ferrocenyl-3-phenyl-2-propen-1-one on Glassy Carbon Electrode and Evaluation of its Interaction Parameters with DNA

Afzal Shah; Rumana Qureshi; Asad M. Khan; Rasheed A Khera; Farzana L. Ansari

How to cite this article

 

https://dx.doi.org/10.1590/S0103-50532010000300008

Published online: December 3, 2009

 

Share PDF

Total access: 1184


J. Braz. Chem. Soc. 2010, 21(3), 452-460

Ozonation of Azo Dye Acid Black 1 under the Suppression Effect by Chloride Ion

Alexandre Paprocki; Heldiane S. dos Santos; Marta E. Hammerschitt; Marçal Pires; Carla M. N. Azevedo

How to cite this article

 

https://dx.doi.org/10.1590/S0103-50532010000300009

Published online: December 3, 2009

 

Share PDF

Total access: 1213


J. Braz. Chem. Soc. 2010, 21(3), 461-468

Multiresidue Determination of Pesticides in Carrots using Pressurized Liquid Extraction and Gas Chromatography with Mass Spectrometry Detector

Fernanda C. Abad; Priscila R. Winck; Juliana M. da Silva; Elina B. Caramão; Cláudia A. Zini

How to cite this article

 

https://dx.doi.org/10.1590/S0103-50532010000300010

Published online: December 3, 2009

 

Share PDF

Total access: 1237


J. Braz. Chem. Soc. 2010, 21(3), 469-475

Pitting Corrosion Resistance of Coloured Oxide Films Grown on Stainless Steel in Sulphuric Acid in the Presence and Absence of Chromic Acid

Karina O. Vasconcelos; Nerilso Bocchi; Alda M. Simões

How to cite this article

 

https://dx.doi.org/10.1590/S0103-50532010000300011

Published online: December 3, 2009

 

Share PDF

Total access: 1155


J. Braz. Chem. Soc. 2010, 21(3), 476-480

Electron Energy-Loss Cross Sections for the Chemical Bond Overlap Plasmon of the Hydrogen Molecule

Oscar L. Malta; Renaldo T. Moura Jr.; Ricardo L. Longo

How to cite this article

 

https://dx.doi.org/10.1590/S0103-50532010000300012

Published online: March 4, 2010

 

Share PDF

Total access: 1102


J. Braz. Chem. Soc. 2010, 21(3), 481-488

Formaldehyde and Acetaldehyde Concentrations in the Idle and Taxiway Areas of an Urban Airport

Claudinei S. Guimarães; Luciana S. Varandas; Graciela Arbilla

How to cite this article

 

https://dx.doi.org/10.1590/S0103-50532010000300013

Published online: December 3, 2009

 

Share PDF

Total access: 1235


J. Braz. Chem. Soc. 2010, 21(3), 489-495

Responsive Behavior of 4-(N-maleimido)azobenzene in Polymers with Aromatic Main Chain and Side Chain Linked Units

Anton Airinei; Elena Rusu; Virgil Barboiu

How to cite this article

 

https://dx.doi.org/10.1590/S0103-50532010000300014

Published online: December 3, 2009

 

Share PDF

Total access: 1075


J. Braz. Chem. Soc. 2010, 21(3), 496-501

Silica-Supported Quinolinium Tribromide: a Recoverable Solid Brominating Reagent for Regioselective Monobromination of Aromatic Amines

Zheng Li; Xiunan Sun; Lue Wang; Yanbo Li; Yuanhong Ma

How to cite this article

 

https://dx.doi.org/10.1590/S0103-50532010000300015

Published online: December 7, 2009

 

Share PDF

Total access: 1130


J. Braz. Chem. Soc. 2010, 21(3), 502-509

Determination of Polychlorinated Biphenyls in Brazilian Breast Milk Samples using Solid-Phase Microextraction and Gas Chromatography-Electron Capture Detection

Cláudia H. Kowalski; Josemar G. Costa; Helena T. Godoy; Fabio Augusto

How to cite this article

 

https://dx.doi.org/10.1590/S0103-50532010000300016

Published online: December 11, 2009

 

Share PDF

Total access: 1185


J. Braz. Chem. Soc. 2010, 21(3), 510-519

In vitro Screening and Chemometrics Analysis on a Series of Azole Derivatives with Fungicide Activity against Moniliophthora perniciosa

Sabrina G. R. Mota; Tânia F. Barros; Marcelo S. Castilho

How to cite this article

 

https://dx.doi.org/10.1590/S0103-50532010000300017

Published online: December 11, 2009

 

Share PDF

Total access: 1275


J. Braz. Chem. Soc. 2010, 21(3), 520-524

Validation of the Determination of Fatty Acids in Milk by Gas Chromatography

Julliana Isabelle Simionato; Juliana Carla Garcia; Geraldo Tadeu dos Santos; Cláudio Celestino Oliveira; Jesui Vergilio Visentainer; Nilson Evelázio de Souza

How to cite this article

 

https://dx.doi.org/10.1590/S0103-50532010000300018

Published online: December 11, 2009

 

Share PDF

Total access: 1149


J. Braz. Chem. Soc. 2010, 21(3), 525-532

Synthesis and Application of a Functionalized Polystyrene Resin for On-Line Preconcentration and Determination of Cobalt(II) in Water Samples by Flow Injection/FAAS

Mansour Arab Chamjangali; Laleh Sharif-Razavian; Bahram Bahramian; Ghadamali Bagherian

How to cite this article

 

https://dx.doi.org/10.1590/S0103-50532010000300019

Published online: December 11, 2009

 

Share PDF

Total access: 1098


J. Braz. Chem. Soc. 2010, 21(3), 533-540

Pre-Concentration and Determination of Trace Uranium (VI) in Environments using Ion-imprinted Chitosan Resin via Solid Phase Extraction

Yunhai Liu; Xiaohong Cao; Zhanggao Le; Mingbiao Luo; Wenyuan Xu; Guolin Huang

How to cite this article

 

https://dx.doi.org/10.1590/S0103-50532010000300020

Published online: December 15, 2009

 

Share PDF

Total access: 1352


J. Braz. Chem. Soc. 2010, 21(3), 541-545

An Efficient Novel Acetate Anion Receptor based on Isatin

Hongyan Su; Jianwei Li; Hai Lin; Huakuan Lin

How to cite this article

 

https://dx.doi.org/10.1590/S0103-50532010000300021

Published online: December 15, 2009

 

Share PDF

Total access: 1127


J. Braz. Chem. Soc. 2010, 21(3), 546-555

Analysis of α4β1 Integrin Specific Antagonists Binding Modes: Structural Insights by Molecular Docking, Molecular Dynamics and Linear Interaction Energy Method for Free Energy Calculations

João Hermínio Martins da Silva; Laurent Emmanuel Dardenne; Wilson Savino; Ernesto Raul Caffarena

How to cite this article

 

https://dx.doi.org/10.1590/S0103-50532010000300022

Published online: December 16, 2009

 

Share PDF

Total access: 1117


J. Braz. Chem. Soc. 2010, 21(3), 556-563

Changes in the Volatile Organic Profile of Schinus polygamus (Anacardiaceae) and Baccharis spicata (Asteraceae) Induced by Galling Psyllids

Flaviana C. Damasceno; Karine P. Nicolli; Elina Bastos Caramão; Geraldo L. G. Soares; Cláudia A. Zini

How to cite this article

 

https://dx.doi.org/10.1590/S0103-50532010000300023

Published online: December 21, 2009

 

Share PDF   Supplementary Information 

Total access: 2010


J. Braz. Chem. Soc. 2010, 21(3), 564-570

A DNA-Based Coated Wire Membrane Sensor for Selective Determination of Amiloride in Pharmaceutical Compounds, Plasma and Urine

Alireza Allafchian; Ali Asghar Ensafi

How to cite this article

 

https://dx.doi.org/10.1590/S0103-50532010000300024

Published online: February 1, 2010

 

Share PDF

Total access: 1073


Additions and Corrections J. Braz. Chem. Soc. 2010, 21(3), 571

Persistent Toxic Substances in the Brazilian Amazon: Contamination of Man and the Environment

João Paulo M. Torres; José Lailson-Brito; Giselle C. Saldanha; Paulo Dorneles; Cláudio Eduardo A. e Silva; Olaf Malm; Jean R. Guimaraes; Antônio Azeredo; Wanderley R. Bastos; Vera Maria F. da Silva; Anthony R. Martin; Luz Cláudio; Steve Markowitz

How to cite this article

 

https://dx.doi.org/10.1590/S0103-50532010000300025

Share PDF

Total access: 1128

Online version ISSN 1678-4790 Printed version ISSN 0103-5053
Journal of the Brazilian Chemical Society
JBCS Editorial and Publishing Office
University of Campinas - UNICAMP
13083-970 Campinas-SP, Brazil

Free access

GN1