JBCS

13:25, Sat Nov 29

Open Access/APCs

First slide
Second slide
Third slide
Third slide
Fifth slide
Sixth slide

vol. 21, No. 5, 2010, p. 775-946




Editorial J. Braz. Chem. Soc. 2010, 21(5), 775-776

Generic pharmaceutical drugs: Import them, till when?

Eliezer Jesus de Lacerda Barreiro; Angelo C. Pinto

How to cite this article

 

https://dx.doi.org/10.1590/S0103-50532010000500001

Total access: 1978


Communication J. Braz. Chem. Soc. 2010, 21(5), 777-781

A New and Concise Strategy to the Enantioselective Synthesis of (S)-2-Amino-4-Oxo-4-(Pyridine-2-yl) Butanoic Acid from Aspartic Acid

Evanoel Crizanto de Lima; Paulo G. de Lima; Carolina C. de Souza; Marta C. L. S. Maior; Ayres G. Dias; Paulo R. R. Costa

How to cite this article

 

https://dx.doi.org/10.1590/S0103-50532010000500002

Published online: March 4, 2010

 

Share PDF   Supplementary Information 

Total access: 2384


Articles J. Braz. Chem. Soc. 2010, 21(5), 782-786

(R)-(-)-Carvone and (1R, 4R)-trans-(+)-Dihydrocarvone from Poiretia latifolia Vogel

Carla Porto; Caroline Z. Stüker; Anderson S. Mallmann; Euclesio Simionatto; Adriana Flach; Tais do Canto-Dorow; Ubiratan F. da Silva; Ionara I. Dalcol; Ademir F. Morel

How to cite this article

 

https://dx.doi.org/10.1590/S0103-50532010000500003

Published online: January 28, 2010

 

Share PDF   Supplementary Information 

Total access: 2165


J. Braz. Chem. Soc. 2010, 21(5), 787-794

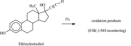
Ozonation of Ethinylestradiol in Aqueous-Methanolic Solution: Direct Monitoring by Electrospray Ionization Mass Spectrometry

Karla M. Vieira; Clésia C. Nascentes; Rodinei Augusti

How to cite this article

 

https://dx.doi.org/10.1590/S0103-50532010000500004

Published online: January 28, 2010

 

Share PDF

Total access: 1141


J. Braz. Chem. Soc. 2010, 21(5), 795-799

Microwave-Assisted Synthesis of Nitroketene N,S-Arylaminoacetals

Diego P. Sangi; Arlene G. Corrêa

How to cite this article

 

https://dx.doi.org/10.1590/S0103-50532010000500005

Published online: February 4, 2010

 

Share PDF   Supplementary Information 

Total access: 2151


J. Braz. Chem. Soc. 2010, 21(5), 800-805

Potentiometric and Spectrophotometric Studies of MnII and NiII Cimetidine Complexes

Francieli Kanumfre; Eliane M. de Lima; Gabriele Scheidt; Paulo I. B. Carneiro; Neiva D. Rosso

How to cite this article

 

https://dx.doi.org/10.1590/S0103-50532010000500006

Published online: February 4, 2010

 

Share PDF

Total access: 1301


J. Braz. Chem. Soc. 2010, 21(5), 806-812

A Novel One-pot Three-step Synthesis of 2-(1-Benzofuran-2-yl)quinoline-3-carboxylic Acid Derivatives

Wentao Gao; Chaohua Zhang; Yang Li

How to cite this article

 

https://dx.doi.org/10.1590/S0103-50532010000500007

Published online: February 4, 2010

 

Share PDF   Supplementary Information 

Total access: 2188


J. Braz. Chem. Soc. 2010, 21(5), 813-820

Sulfadiazine Determination in Pharmaceuticals by Electrochemical Reduction on a Glassy Carbon Electrode

Otoniel C. Braga; Iolana Campestrini; Iolanda C. Vieira; Almir Spinelli

How to cite this article

 

https://dx.doi.org/10.1590/S0103-50532010000500008

Published online: February 4, 2010

 

Share PDF

Total access: 1108


J. Braz. Chem. Soc. 2010, 21(5), 821-836

Synthesis of Novel Room Temperature Chiral Ionic Liquids. Application as Reaction Media for the Heck Arylation of Aza-endocyclic Acrylates

Julio C. Pastre; Yves Génisson; Nathalie Saffon; Jany Dandurand; Carlos R. D. Correia

How to cite this article

 

https://dx.doi.org/10.1590/S0103-50532010000500009

Published online: February 8, 2010

 

Share PDF   Supplementary Information 

Total access: 2235


J. Braz. Chem. Soc. 2010, 21(5), 837-841

Conformational Analysis of Phloroglucinols from Hypericum Brasiliense by using X-ray Diffraction and Molecular Modeling

Kátia Z. Leal; Julliane D. Yoneda; Eric B. Lindgren; Carlos B. Pinheiro; Arthur L. Corrêa; Hildegardo S. França

How to cite this article

 

https://dx.doi.org/10.1590/S0103-50532010000500010

Published online: February 8, 2010

 

Share PDF   Supplementary Information 

Total access: 62316


J. Braz. Chem. Soc. 2010, 21(5), 842-850

Synthesis, Characterization, EPR Spectroelectrochemistry Studies and Theoretical Calculations of Manganese(II) Complexes with the Ligands H3bpeten and H3bnbpeten

Stela Maris de M. Romanowski; Sérgio P. Machado; Geraldo R. Friedermann; Antonio S. Mangrich; Monique de F. Hermann; Hugo Orofino Lima; Shirley Nakagaki

How to cite this article

 

https://dx.doi.org/10.1590/S0103-50532010000500011

Published online: February 11, 2010

 

Share PDF   Supplementary Information 

Total access: 2227


J. Braz. Chem. Soc. 2010, 21(5), 851-858

Influence of Fruit Biotypes on the Chemical Composition and Antifungal Activity of the Essential Oils of Eugenia uniflora Leaves

Deomar P. Costa; Elenilson G. Alves Filho; Lorena M. A. Silva; Suzana C. Santos; Xisto S. Passos; Maria do Rosário R. Silva; José C. Seraphin; Pedro H. Ferri

How to cite this article

 

https://dx.doi.org/10.1590/S0103-50532010000500012

Published online: February 11, 2010

 

Share PDF   Supplementary Information 

Total access: 2372


J. Braz. Chem. Soc. 2010, 21(5), 859-866

Simple Method for Fast Deprotection of Nucleosides by Triethylamine-Catalyzed Methanolysis of Acetates in Aqueous Medium

Lidiane Meier; Gustavo C. Monteiro; Rodrigo A. M. Baldissera; Marcus Mandolesi Sá

How to cite this article

 

https://dx.doi.org/10.1590/S0103-50532010000500013

Published online: February 11, 2010

 

Share PDF

Total access: 1179


J. Braz. Chem. Soc. 2010, 21(5), 867-871

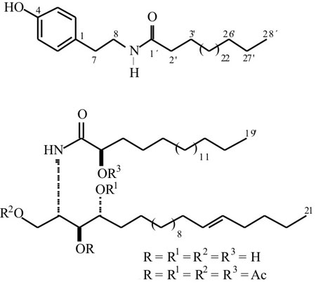
New Ceramides from Acnistus arborescens

Ana Isabel V. Maia; Maria Leopoldina Veras; Raimundo Braz-Filho; Norberto P. Lopes; Edilberto R. Silveira; Otilia Deusdênia L. Pessoa

How to cite this article

 

https://dx.doi.org/10.1590/S0103-50532010000500014

Published online: February 11, 2010

 

Share PDF   Supplementary Information 

Total access: 2360


J. Braz. Chem. Soc. 2010, 21(5), 872-881

2D and 3D QSAR Studies of the Receptor Binding Affinity of Progestins

Lea da Silva Veras; Masamoto Arakawa; Kimito Funatsu; Yuji Takahata

How to cite this article

 

https://dx.doi.org/10.1590/S0103-50532010000500015

Published online: February 11, 2010

 

Share PDF

Total access: 1185


J. Braz. Chem. Soc. 2010, 21(5), 882-886

Activities of Extracts and Compounds from Spiranthera odoratissima St. Hil. (Rutaceae) in Leaf-cutting Ants and their Symbiotic Fungus

Ana Paula Terezan; Raquel Andrade Rossi; Roberta N. A. Almeida; Taís Garcia Freitas; Joao B. Fernandes; M. Fátima das Graças Fernandes da Silva; Paulo C. Vieira; Odair C. Bueno; Fernando C. Pagnocca; José R. Pirani

How to cite this article

 

https://dx.doi.org/10.1590/S0103-50532010000500016

Published online: February 11, 2010

 

Share PDF   Supplementary Information 

Total access: 2469


J. Braz. Chem. Soc. 2010, 21(5), 887-896

An Investigation of the BSSE Effect on the Evaluation of Ab Initio Interaction Energies for Cisplatin-Water Complexes

Juliana Fedoce Lopes; Willian R. Rocha; Hélio F. dos Santos; Wagner B. de Almeida

How to cite this article

 

https://dx.doi.org/10.1590/S0103-50532010000500017

Published online: February 18, 2010

 

Share PDF

Total access: 1126


J. Braz. Chem. Soc. 2010, 21(5), 897-904

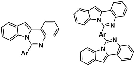
Synthesis of Some New Mono, Bis-Indolo[1, 2-c]quinazolines: Evaluation of their Antimicrobial Studies

Rondla Rohini; P. Muralidhar Reddy; Kanne Shanker; Anren Hu; Vadde Ravinder

How to cite this article

 

https://dx.doi.org/10.1590/S0103-50532010000500018

Published online: February 25, 2010

 

Share PDF   Supplementary Information 

Total access: 2212


J. Braz. Chem. Soc. 2010, 21(5), 905-908

Novel Synthesis of Primary Arylamides from Aryl Methyl Ketone Oxidations using Iodine in Aqueous Ammonia

Norma A. Angeles; Felipe Villavicencio; Carlos Guadarrama; David Corona; Erick Cuevas-Yañez

How to cite this article

 

https://dx.doi.org/10.1590/S0103-50532010000500019

Published online: March 1, 2010

 

Share PDF

Total access: 1193


J. Braz. Chem. Soc. 2010, 21(5), 909-913

Resveratrol May Protect Plasma Proteins from Oxidation under Conditions of Oxidative Stress In Vitro

Kanti Bhooshan Pandey; Syed Ibrahim Rizvi

How to cite this article

 

https://dx.doi.org/10.1590/S0103-50532010000500020

Published online: March 1, 2010

 

Share PDF

Total access: 1158


J. Braz. Chem. Soc. 2010, 21(5), 914-920

Transition Metal-based Bimetallic Catalysts for the Chemoselective Hydrogenation of Furfuraldehyde

Virginia Vetere; Andrea B. Merlo; José F. Ruggera; Mónica L. Casella

How to cite this article

 

https://dx.doi.org/10.1590/S0103-50532010000500021

Published online: March 1, 2010

 

Share PDF

Total access: 1244


J. Braz. Chem. Soc. 2010, 21(5), 921-926

Extraction and Purification of C-phycocyanin from Spirulina platensis in Conventional and Integrated Aqueous Two-Phase Systems

Francine S. Antelo; Andréia Anschau; Jorge A. V. Costa; Susana J. Kalil

How to cite this article

 

https://dx.doi.org/10.1590/S0103-50532010000500022

Published online: March 11, 2010

 

Share PDF

Total access: 1088


J. Braz. Chem. Soc. 2010, 21(5), 927-933

Triterpenoid Saponins from Lippia alba (Mill.) N. E. Brown

Mareni R. Farias; Roberto Pértile; Melissa M. Correa; Maria Tereza R. de Almeida; Jorge A. Palermo; Eloir P. Schenkel

How to cite this article

 

https://dx.doi.org/10.1590/S0103-50532010000500023

Published online: March 11, 2010

 

Share PDF   Supplementary Information 

Total access: 2209


Short Reports J. Braz. Chem. Soc. 2010, 21(5), 934-940

1,3-Thiazolium-5-thiolates Mesoionic Compounds: Semiempirical Evaluation of their First Static Hyperpolarizabilities and Synthesis of New Examples

Bruno F. Lyra; Soraya A. de Morais; Gerd B. Rocha; Joseph Miller; Gustavo L. C. Moura; Alfredo M. Simas; Clovis Peppe; Petrônio F. de Athayde-Filho

How to cite this article

 

https://dx.doi.org/10.1590/S0103-50532010000500024

Published online: February 4, 2010

 

Share PDF   Supplementary Information 

Total access: 2320


J. Braz. Chem. Soc. 2010, 21(5), 941-945

Silica Supported Perchloric Acid: An Efficient Catalyst for the Synthesis of 14-Aryl-14H-dibenzo[a,i]xanthene-8,13-diones

Li Qiang Wu; Yan Fang Wu; Chun Guang Yang; Li Min Yang; Li Juan Yang

How to cite this article

 

https://dx.doi.org/10.1590/S0103-50532010000500025

Published online: March 11, 2010

 

Share PDF   Supplementary Information 

Total access: 2184


Additions and Corrections J. Braz. Chem. Soc. 2010, 21(5), 946

Chemical Transformations of Eremanthine. Synthesis of Micheliolide and 1(R),10(R)-Dihydromicheliolide

José C. F. Alves; Edna C. Fantini

How to cite this article

 

https://dx.doi.org/10.1590/S0103-50532010000500026

Share PDF

Total access: 973

Online version ISSN 1678-4790 Printed version ISSN 0103-5053
Journal of the Brazilian Chemical Society
JBCS Editorial and Publishing Office
University of Campinas - UNICAMP
13083-970 Campinas-SP, Brazil

Free access

GN1