JBCS

13:23, Sat Nov 29

Open Access/APCs

First slide
Second slide
Third slide
Third slide
Fifth slide
Sixth slide

vol. 21, No. 8, 2010, p. 1399-1592




Editorial J. Braz. Chem. Soc. 2010, 21(8), 1399-1400

The Blue Amazon

Luiz Drude de Lacerda

How to cite this article

 

https://dx.doi.org/10.1590/S0103-50532010000800001

Total access: 1580


Review J. Braz. Chem. Soc. 2010, 21(8), 1401-1423

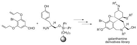
Highlights in the Solid-Phase Organic Synthesis of Natural Products and Analogues

Vera Lucia Eifler-Lima; Cedric S. Graebin; Flavia De Toni Uchoa; Patrícia D. Duarte; Arlene G. Corrêa

How to cite this article

 

https://dx.doi.org/10.1590/S0103-50532010000800002

Published online: May 27, 2010

 

Share PDF

Total access: 1304


Articles J. Braz. Chem. Soc. 2010, 21(8), 1424-1433

Development and Validation of a Method using SPE and LC-ESI-MS-MS for the Determination of Multiple Classes of Pesticides and Metabolites in Water Samples

Adriana Demoliner; Sergiane S. Caldas; Fabiane P. Costa; Fábio F. Gonçalves; Rosilene M. Clementin; Márcio R. Milani; Ednei G. Primel

How to cite this article

 

https://dx.doi.org/10.1590/S0103-50532010000800003

Published online: March 22, 2010

 

Share PDF

Total access: 1305


J. Braz. Chem. Soc. 2010, 21(8), 1434-1438

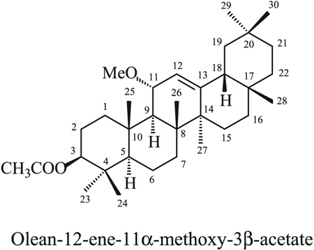
Chemical Constituents from Aspidosperma illustre (Apocynaceae)

Lara F. Barbosa; Leda Mathias; Raimundo Braz-Filho; Ivo J. Curcino Vieira

How to cite this article

 

https://dx.doi.org/10.1590/S0103-50532010000800004

Published online: March 22, 2010

 

Share PDF   Supplementary Information 

Total access: 2154


J. Braz. Chem. Soc. 2010, 21(8), 1439-1445

A Simple Synthesis of Aminopyridines: Use of Amides as Amine Source

Arumugam Kodimuthali; Anitha Mungara; Padala Lakshmi Prasunamba; Manojit Pal

How to cite this article

 

https://dx.doi.org/10.1590/S0103-50532010000800005

Published online: March 25, 2010

 

Share PDF

Total access: 1239


J. Braz. Chem. Soc. 2010, 21(8), 1446-1450

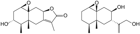
Two Novel Eremophilane Sesquiterpenes from an Endophytic Xylariaceous Fungus Isolated from Leaves of Cupressus lusitanica

Luciana S. Amara; Edson Rodrigues-Filho

How to cite this article

 

https://dx.doi.org/10.1590/S0103-50532010000800006

Published online: March 25, 2010

 

Share PDF   Supplementary Information 

Total access: 2244


J. Braz. Chem. Soc. 2010, 21(8), 1451-1458

Biosensors of Laccase Based on Hydrophobic Ionic Liquids Derived from Imidazolium Cation

Ana Cristina Franzoi; Iolanda Cruz Vieira; Jairton Dupont

How to cite this article

 

https://dx.doi.org/10.1590/S0103-50532010000800007

Published online: March 29, 2010

 

Share PDF

Total access: 1135


J. Braz. Chem. Soc. 2010, 21(8), 1459-1467

Genetic and Environmental Influence on Essential Oil Composition of Eugenia dysenterica

Alessandra R. Duarte; Ronaldo R. Naves; Suzana C. Santos; José C. Seraphin; Pedro H. Ferri

How to cite this article

 

https://dx.doi.org/10.1590/S0103-50532010000800008

Published online: April 8, 2010

 

Share PDF   Supplementary Information 

Total access: 2644


J. Braz. Chem. Soc. 2010, 21(8), 1468-1476

Comparative Study of Metal Contents in Brazilian Coffees Cultivated by Conventional and Organic Agriculture Applying Principal Component Analysis

José S. dos Santos; Maria Lúcia P. dos Santos; Melina M. Conti

How to cite this article

 

https://dx.doi.org/10.1590/S0103-50532010000800009

Published online: April 8, 2010

 

Share PDF

Total access: 1201


J. Braz. Chem. Soc. 2010, 21(8), 1477-1483

Antioxidant and Antimicrobial Properties of 2-(4,5-Dihydro-1H-pyrazol-1-yl)-pyrimidine and 1-Carboxamidino-1H-pyrazole Derivatives

Vanessa Gressler; Sidnei Moura; Alex F. C. Flores; Darlene C. Flores; Pio Colepicolo; Ernani Pinto

How to cite this article

 

https://dx.doi.org/10.1590/S0103-50532010000800010

Published online: April 8, 2010

 

Share PDF

Total access: 1503


J. Braz. Chem. Soc. 2010, 21(8), 1484-1489

Esterase Screening using Whole Cells of Brazilian Soil Microorganisms

Simone M. Mantovani; Luciana G. de Oliveira; Anita J. Marsaioli

How to cite this article

 

https://dx.doi.org/10.1590/S0103-50532010000800011

Published online: April 12, 2010

 

Share PDF   Supplementary Information 

Total access: 2179


J. Braz. Chem. Soc. 2010, 21(8), 1490-1496

pH Effect in Aquatic Fulvic Acid from a Brazilian River

Sérgio da Costa Saab; Eduarda R. Carvalho; Rubens Bernardes Filho; Márcia R. de Moura; Ladislau Martin-Neto; Luiz Henrique C. Mattoso

How to cite this article

 

https://dx.doi.org/10.1590/S0103-50532010000800012

Published online: April 12, 2010

 

Share PDF

Total access: 1151


J. Braz. Chem. Soc. 2010, 21(8), 1497-1502

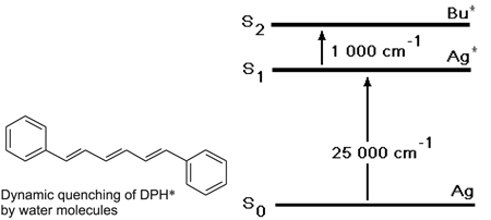
Unusual 1,6-Diphenyl-1,3,5-hexatriene (DPH) Spectrophotometric Behavior in Water/Ethanol and Water/DMSO Mixtures

Augusto C. Gracetto; Vagner R. Batistela; Wilker Caetano; Hueder P. M. de Oliveira; Willy Glen Santos; Carla C. S. Cavalheiro; Noboru Hioka

How to cite this article

 

https://dx.doi.org/10.1590/S0103-50532010000800013

Published online: April 12, 2010

 

Share PDF

Total access: 1194


J. Braz. Chem. Soc. 2010, 21(8), 1503-1508

Kinetic and Equilibrium Mechanisms of Substrate Binding to Mycobacterium tuberculosis Enoyl Reductase: Implications to Function-Based Antitubercular Agent Design

Igor B. Vasconcelos; Luiz A. Basso; Diógenes S. Santos

How to cite this article

 

https://dx.doi.org/10.1590/S0103-50532010000800014

Published online: April 12, 2010

 

Share PDF

Total access: 1101


J. Braz. Chem. Soc. 2010, 21(8), 1509-1516

Candida tropicalis CE017: a New Brazilian Enzymatic Source for the Bioreduction of Aromatic Prochiral Ketones

Gizelle A. B. Vieira; Daniel M. de Freitas Araujo; Telma L. G. Lemos; Marcos Carlos de Mattos; Maria da Conceiçao F. de Oliveira; Vânia M. M. Melo; Gonzalo de Gonzalo; Vicente Gotor-Fernández; Vicente Gotor

How to cite this article

 

https://dx.doi.org/10.1590/S0103-50532010000800015

Published online: April 15, 2010

 

Share PDF   Supplementary Information 

Total access: 2815


J. Braz. Chem. Soc. 2010, 21(8), 1517-1523

Exopolymeric Substances (EPS) Produced by Petroleum Microbial Consortia

Georgiana F. da Cruz; Célio F. F. Angolini; Eugênio V. dos Santos Neto; Watson Loh; Anita J. Marsaioli

How to cite this article

 

https://dx.doi.org/10.1590/S0103-50532010000800016

Published online: April 15, 2010

 

Share PDF

Total access: 1063


J. Braz. Chem. Soc. 2010, 21(8), 1524-1529

Excellent Combination of HPLC-RSD-DAD-ESI/MS and HSCCC Experiments to Screen and Identify Radical Scavengers from Neo-Taraxacum siphonanthun

Xinyu Jiang; Shuyun Shi; Yuping Zhang; Xiaoqing Chen

How to cite this article

 

https://dx.doi.org/10.1590/S0103-50532010000800017

Published online: April 15, 2010

 

Share PDF

Total access: 1100


J. Braz. Chem. Soc. 2010, 21(8), 1530-1536

Electrochemical Behavior of Cu-9%Al-5%Ni-2%Mn Alloy in Chloride Media

Germano C. Serra; Assis V. Benedetti; Rodrigo Della Noce

How to cite this article

 

https://dx.doi.org/10.1590/S0103-50532010000800018

Published online: April 22, 2010

 

Share PDF

Total access: 1075


J. Braz. Chem. Soc. 2010, 21(8), 1537-1542

Enzymatic Kinetic Resolution of (RS)-1-(Phenyl)ethanols by Burkholderia cepacia Lipase Immobilized on Magnetic Nanoparticles

Lya P. Rebelo; Caterina G. C. M. Netto; Henrique E. Toma; Leandro H. Andrade

How to cite this article

 

https://dx.doi.org/10.1590/S0103-50532010000800019

Published online: April 22, 2010

 

Share PDF

Total access: 1299


J. Braz. Chem. Soc. 2010, 21(8), 1543-1551

Distribution and Sources of Polycyclic Aromatic Hydrocarbons in Surface Sediments from Two Brazilian Estuarine Systems

Otávio L. G. Maioli; Kamila C. Rodrigues; Bastiaan A. Knoppers; Débora A. Azevedo

How to cite this article

 

https://dx.doi.org/10.1590/S0103-50532010000800020

Published online: April 22, 2010

 

Share PDF

Total access: 1450


J. Braz. Chem. Soc. 2010, 21(8), 1552-1556

B2O3/Al2O3 as a New, Highly Efficient and Reusable Heterogeneous Catalyst for the Selective Synthesis of β-Enamino Ketones and Esters under Solvent-Free Conditions

Jiu-Xi Chen; Chang-Fu Zhang; Wen-Xia Gao; Hui-Le Jin; Jin-Chang Ding; Hua-Yue Wu

How to cite this article

 

https://dx.doi.org/10.1590/S0103-50532010000800021

Published online: April 27, 2010

 

Share PDF   Supplementary Information 

Total access: 2050


J. Braz. Chem. Soc. 2010, 21(8), 1557-1562

Determination of Picloram in Waters by Sequential Injection Chromatography with UV Detection

Luciana B. O. dos Santos; Carlos M. C. Infante; Jorge C. Masini

How to cite this article

 

https://dx.doi.org/10.1590/S0103-50532010000800022

Published online: April 27, 2010

 

Share PDF

Total access: 1211


J. Braz. Chem. Soc. 2010, 21(8), 1563-1571

Solvent-free Catalysed Synthesis of Tetrahydropyran Odorants: the Role of SiO2.p-TSA Catalyst on the Prins-Cyclization Reaction

Alexandra Macedo; Edison P. Wendler; Alcindo A. Dos Santos; Julio Zukerman-Schpector; Edward R. T. Tiekink

How to cite this article

 

https://dx.doi.org/10.1590/S0103-50532010000800023

Published online: May 4, 2010

 

Share PDF

Total access: 1150


J. Braz. Chem. Soc. 2010, 21(8), 1572-1580

Sequential Determination of Benserazide and Levodopa by Voltammetric Method using Chloranil as a Mediator

Ali A. Ensafi; A. Arabzadeh; H. Karimi-Maleh

How to cite this article

 

https://dx.doi.org/10.1590/S0103-50532010000800024

Published online: May 4, 2010

 

Share PDF

Total access: 1156


Short Reports J. Braz. Chem. Soc. 2010, 21(8), 1581-1586

Diterpene and other Constituents from Stemodia maritima (Scrophulariaceae)

Francisco E. A. Rodrigues; Jefferson Q. Lima; Maria da Conceiçao F. de Oliveira; Jackson N. Vasconcelos; Gilvandete M. P. Santiago; Jair Mafezoli; Raimundo Braz-Filho; Angela M. C. Arriaga

How to cite this article

 

https://dx.doi.org/10.1590/S0103-50532010000800025

Published online: March 25, 2010

 

Share PDF   Supplementary Information 

Total access: 2348


J. Braz. Chem. Soc. 2010, 21(8), 1587-1592

Boric Acid as Cost-Effective and Recyclable Catalyst for Trimethylsilyl Protection and Deprotection of Alcohols and Phenols

Amin Rostami; Jamal Akradi; Firoz Ahmad-Jangi

How to cite this article

 

https://dx.doi.org/10.1590/S0103-50532010000800026

Published online: April 27, 2010

 

Share PDF   Supplementary Information 

Total access: 2128

Online version ISSN 1678-4790 Printed version ISSN 0103-5053
Journal of the Brazilian Chemical Society
JBCS Editorial and Publishing Office
University of Campinas - UNICAMP
13083-970 Campinas-SP, Brazil

Free access

GN1