JBCS

13:24, Sat Nov 29

Open Access/APCs

First slide
Second slide
Third slide
Third slide
Fifth slide
Sixth slide

vol. 21, No. 12, 2010, p. 2173-2372




Editorial J. Braz. Chem. Soc. 2010, 21(12), 2173-2174

How to get to the green-yellow (Brazilian) pharmaceuticals?

Angelo C. Pinto; Eliezer Jesus de Lacerda Barreiro

How to cite this article

 

https://dx.doi.org/10.1590/S0103-50532010001200001

Total access: 1752


Communication J. Braz. Chem. Soc. 2010, 21(12), 2175-2179

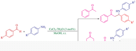
Cerium Chloride (CeCl3∙7H2O) as a Highly Efficient Catalyst for One-Pot Three-Component Mannich Reaction

Mazaahir Kidwai; Anwar Jahan

How to cite this article

 

https://dx.doi.org/10.1590/S0103-50532010001200002

Published online: August 24, 2010

 

Share PDF   Supplementary Information 

Total access: 2432


J. Braz. Chem. Soc. 2010, 21(12), 2180-2183

A Theoretical Study of the Hydride Transfer between 1-Adamantyl Cation and Isopentane

Patrícia D. de Oliveira; Nilton Rosenbach Jr.; Alex P. A. dos Santos; Claudio J. A. Mota

How to cite this article

 

https://dx.doi.org/10.1590/S0103-50532010001200003

Published online: September 2, 2010

 

Share PDF

Total access: 1131


J. Braz. Chem. Soc. 2010, 21(12), 2184-2188

Magnetic Amphiphilic Composites Based on Carbon Nanotubes and Nanofibers Grown on an Inorganic Matrix: Effect on Water-Oil Interfaces

Aline A. S. Oliveira; Ivo F. Teixeira; Leandro P. Ribeiro; Juliana C. Tristão; Anderson Dias; Rochel M. Lago

How to cite this article

 

https://dx.doi.org/10.1590/S0103-50532010001200004

Published online: October 7, 2010

 

Share PDF   Supplementary Information 

Total access: 2313


Review J. Braz. Chem. Soc. 2010, 21(12), 2189-2204

Ultrafast Dynamics of Solvation: the Story so far

René A. Nome

How to cite this article

 

https://dx.doi.org/10.1590/S0103-50532010001200005

Published online: September 2, 2010

 

Share PDF

Total access: 1148


Articles J. Braz. Chem. Soc. 2010, 21(12), 2205-2210

Spectroscopic and Photochemical Properties of some Annulated Boldine Derivatives

María E Hidalgo; Myriam G. Alarcón; Juan R. Ojeda; Ernesto C. Fernández; Eduardo M. Sobarzo-Sánchez; Julio R. De la Fuent

How to cite this article

 

https://dx.doi.org/10.1590/S0103-50532010001200006

Published online: September 23, 2010

 

Share PDF

Total access: 1109


J. Braz. Chem. Soc. 2010, 21(12), 2211-2219

Other Chemical Constituents Isolated from Solanum crinitum Lam. (Solanaceae)

Marli T. F. Cornelius; Mário G. de Carvalho; Tania M. S. da Silva; Cassia C. F. Alves; Ana P. N. Siston; Kelly Z. Alves; Carlos M. R. Sant'Anna; Mario B. Neto; Marcos N. Eberlin; Raimundo Braz-Filho

How to cite this article

 

https://dx.doi.org/10.1590/S0103-50532010001200007

Published online: August 12, 2010

 

Share PDF   Supplementary Information 

Total access: 2426


J. Braz. Chem. Soc. 2010, 21(12), 2220-2225

Excretion Study of Clomiphene in Human Urine. Evaluation of Endogenous Steroids Profile after Multiple Oral Doses

Dayamín Martínez Brito; Rodny Montes de Oca Porto; Margarita Teresa Correa Vidal; Roberto Socarrás Ojeda; Arístides Rosado Pérez

How to cite this article

 

https://dx.doi.org/10.1590/S0103-50532010001200008

Published online: September 21, 2010

 

Share PDF

Total access: 1433


J. Braz. Chem. Soc. 2010, 21(12), 2226-2237

In Vitro Evaluation of Triazenes: DNA Cleavage, Antibacterial Activity and Cytotoxicity against Acute Myeloid Leukemia Cells

Vanessa O. Domingues; Rosmari Hörner; Luiz G. B. Reetz; Fábio Kuhn; Virgínia M. Coser; Jacqueline N. Rodrigues; Rita Bauchspiess; Waldir V. Pereira; Gustavo L. Paraginski; Aline Locatelli; Juliana de O. Fank; Vinícius F. Giglio; Manfredo Hörner

How to cite this article

 

https://dx.doi.org/10.1590/S0103-50532010001200009

Published online: August 10, 2010

 

Share PDF

Total access: 1313


J. Braz. Chem. Soc. 2010, 21(12), 2238-2245

Surface Modification of Alumina Nanoparticles with Silane Coupling Agents

Luis A. S. A. Prado; Montira Sriyai; Marcos Ghislandi; Ana Barros-Timmons; Karl Schulte

How to cite this article

 

https://dx.doi.org/10.1590/S0103-50532010001200010

Published online: September 2, 2010

 

Share PDF

Total access: 1240


J. Braz. Chem. Soc. 2010, 21(12), 2246-2253

Potentiometric Sensor for Betahistine Determination in Pharmaceuticals, Urine and Blood Serum

Ali A. Ensafi; Fatemeh Doozandeh; Ali R. Allafchian

How to cite this article

 

https://dx.doi.org/10.1590/S0103-50532010001200011

Published online: September 14, 2010

 

Share PDF

Total access: 1227


J. Braz. Chem. Soc. 2010, 21(12), 2254-2261

Comparative Study on the Catalytic Properties of Amino-Functionalized Silica Materials for the Transesterification of Dimethyl Oxalate with Phenol

Yan Liu; Guoming Zhao; Wanchun Zhu; Jing Wang; Gang Liu; Wenxiang Zhang; Mingjun Jia

How to cite this article

 

https://dx.doi.org/10.1590/S0103-50532010001200012

Published online: September 21, 2010

 

Share PDF

Total access: 1246


J. Braz. Chem. Soc. 2010, 21(12), 2262-2271

A Method for Dextruxin Analysis by HPLC-PDA-ELSD-MS

Raquel P. Morais; Simone P. Lira; Mirna H. R. Seleghim; Roberto G. S. Berlinck

How to cite this article

 

https://dx.doi.org/10.1590/S0103-50532010001200013

Published online: September 8, 2010

 

Share PDF   Supplementary Information 

Total access: 2396


J. Braz. Chem. Soc. 2010, 21(12), 2272-2277

Simultaneous Determination and Pharmacokinetics of Four Coumarins in Rat Plasma after Oral Administration of Traditional Chinese Medicine "YIGONG" Capsule by SPE-HPLC

Chao Feng; Jin-Lan Ruan; Ya-Ling Cai

How to cite this article

 

https://dx.doi.org/10.1590/S0103-50532010001200014

Published online: September 21, 2010

 

Share PDF   Supplementary Information 

Total access: 2756


J. Braz. Chem. Soc. 2010, 21(12), 2278-2284

Evaluation of Digestion Procedures for Simultaneous Determination of Ca, P, Mg, K and Na in Biodiesel by Inductively Coupled Plasma Optical Emission Spectrometry

Maria Graças A. Korn; Daniele Cristina M. B. Santos; Mauro Agildo B. Guida; Isa S. Barbosa; Marieta L. C. Passos; Maria Lúcia M. F. S. Saraiva; José Luis F. C. Lima

How to cite this article

 

https://dx.doi.org/10.1590/S0103-50532010001200015

Published online: August 10, 2010

 

Share PDF

Total access: 1374


J. Braz. Chem. Soc. 2010, 21(12), 2285-2293

A Kinetic Study of Candida rugosa Lipase-Catalyzed Synthesis of 4,6-Dimethyl-3-cyano-2-pyridone

Nevena Ž. Prlainović; Dejan I. Bezbradica; Zorica D. Knežević-Jugović; Roksana T. Kozlowska; Dušan Ž. Mijin

How to cite this article

 

https://dx.doi.org/10.1590/S0103-50532010001200016

Published online: August 24, 2010

 

Share PDF

Total access: 1080


J. Braz. Chem. Soc. 2010, 21(12), 2294-2301

Significant Anti-Inflammatory Properties of a Copper(II) Fenoprofenate Complex Compared with its Parent Drug. Physical and Chemical Characterization of the Complex

Mariela A. Agotegaray; Mónica A. Boeris; Oscar V. Quinzani

How to cite this article

 

https://dx.doi.org/10.1590/S0103-50532010001200017

Published online: September 2, 2010

 

Share PDF   Supplementary Information 

Total access: 2148


J. Braz. Chem. Soc. 2010, 21(12), 2302-2307

Electron Paramagnetic Resonance Characterization of a Humic Acid-Type Polymer Model

Marcilene F. Barriquello; Sergio da Costa Saab; Nelson Consolin Filho; Ladislau Martin-Neto

How to cite this article

 

https://dx.doi.org/10.1590/S0103-50532010001200018

Published online: September 14, 2010

 

Share PDF

Total access: 1084


J. Braz. Chem. Soc. 2010, 21(12), 2308-2318

Geochemical Markers as a Tool to Assess Sedimentary Organic Matter Sources of the Laguna Estuarine System, South Brazil: Aliphatic and Polycyclic Aromatic Hydrocarbons

Rafael Tarozo; Morgana Frena; Luiz Augusto S. Madureira

How to cite this article

 

https://dx.doi.org/10.1590/S0103-50532010001200019

Published online: September 30, 2010

 

Share PDF   Supplementary Information 

Total access: 2125


J. Braz. Chem. Soc. 2010, 21(12), 2319-2326

Average Mass Scan of the Total Ion Chromatogram versus Percentage Chemical Composition in Multivariate Statistical Comparison of Complex Volatile Mixtures

Niko S. Radulović; Polina D. Blagojević; Danielle Skropeta

How to cite this article

 

https://dx.doi.org/10.1590/S0103-50532010001200020

Published online: August 10, 2010

 

Share PDF   Supplementary Information 

Total access: 3495


J. Braz. Chem. Soc. 2010, 21(12), 2327-2339

Diastereoselective Synthesis of β-Piperonyl-γ-Butyrolactones from Morita-Baylis-Hillman Adducts. Highly Efficient Synthesis of (±)-Yatein, (±)-Podorhizol and (±)-epi-Podorhizol

Giordano Trazzi; Marcelo Fabiano André; Fernando Coelho

How to cite this article

 

https://dx.doi.org/10.1590/S0103-50532010001200021

Published online: August 10, 2010

 

Share PDF

Total access: 1095


J. Braz. Chem. Soc. 2010, 21(12), 2340-2346

Application of Simplex Optimization in the Development of an Automated online Preconcentration System for Manganese Determination

Queila O. dos Santos; Cléber G. Novaes; Marcos A. Bezerra; Valfredo A. Lemos; Islania Moreno; Douglas G. da Silva; Leandro dos Santos

How to cite this article

 

https://dx.doi.org/10.1590/S0103-50532010001200022

Published online: July 22, 2010

 

Share PDF

Total access: 1105


J. Braz. Chem. Soc. 2010, 21(12), 2347-2352

Degradation of Herbicide Diuron in Water Employing the Fe0/H2O2 System

Liziara C. Cabrera; Sergiane S. Caldas; Sandra Rodrigues; Adalto Bianchini; Fábio A. Duarte; Ednei G. Primel

How to cite this article

 

https://dx.doi.org/10.1590/S0103-50532010001200023

Published online: August 31, 2010

 

Share PDF

Total access: 1220


J. Braz. Chem. Soc. 2010, 21(12), 2353-2358

Selective Cloud Point Extraction and Preconcentration of Trace Amounts of Cadmium Prior to Flame Atomic Absorption Spectrometric Determination

Shayesteh Dadfarnia; Ali Mohammad Haji Shabani; Ellahe Kamranzadeh

How to cite this article

 

https://dx.doi.org/10.1590/S0103-50532010001200024

Published online: July 29, 2010

 

Share PDF

Total access: 1158


J. Braz. Chem. Soc. 2010, 21(12), 2359-2366

Lippia sidoides Essential Oil Encapsulation by Angico Gum/Chitosan Nanoparticles

Haroldo C. B. Paula; Fernanda M. Sombra; Flávia O. M. S Abreu; Regina C. M. de Paul

How to cite this article

 

https://dx.doi.org/10.1590/S0103-50532010001200025

Published online: September 28, 2010

 

Share PDF

Total access: 1308


J. Braz. Chem. Soc. 2010, 21(12), 2367-2372

Spectroscopic Evidence of Photodegradation by Ultraviolet Exposure of Tris(8-hydroxyquinoline) Aluminum (Alq3) Thin Films

W. R. Brito; G. Aráujo; W. G. Quirino; C. Legnani; Y. Angulo; M. Cremona; M. L. M. Rocco

How to cite this article

 

https://dx.doi.org/10.1590/S0103-50532010001200026

Published online: October 14, 2010

 

Share PDF

Total access: 1127

Online version ISSN 1678-4790 Printed version ISSN 0103-5053
Journal of the Brazilian Chemical Society
JBCS Editorial and Publishing Office
University of Campinas - UNICAMP
13083-970 Campinas-SP, Brazil

Free access

GN1