JBCS

13:59, Sat Nov 29

Open Access/APCs

First slide
Second slide
Third slide
Third slide
Fifth slide
Sixth slide

vol. 20, No. 1, 2009, p. 1-200




Editorial J. Braz. Chem. Soc. 2009, 20(1), 0

The dream is still alive...

Jailson B. de Andrade

How to cite this article

 

https://dx.doi.org/10.1590/S0103-50532009000100001

Total access: 1768


Articles J. Braz. Chem. Soc. 2009, 20(1), 1-4

Oscillatory Behaviour of Isomers of Hydroxybenzoic Acid with and without Catalyst

Masood A. Nath; R. P. Rastogi; G. M. Peerzada

How to cite this article

 

https://dx.doi.org/10.1590/S0103-50532009000100002

Published online: October 15, 2008

 

Share PDF

Total access: 1157


J. Braz. Chem. Soc. 2009, 20(1), 5-12

Experimental Design as a Tool for Optimization of C-Phycocyanin Purification by Precipitation from Spirulina platensis

Lorena A. Silva; Kátia R. Kuhn; Caroline C. Moraes; Carlos A. V. Burkert; Susana J. Kalil

How to cite this article

 

https://dx.doi.org/10.1590/S0103-50532009000100003

Published online: October 15, 2008

 

Share PDF

Total access: 1144


J. Braz. Chem. Soc. 2009, 20(1), 13-18

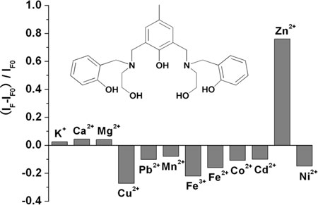
A Phenol-Based Compartmental Ligand as a Potential Chemosensor for Zinc(II) Cations

Jingwen Chen; Shuhong Cao; Dandan Wang; Shengde Wu; Xiaoyong Wang

How to cite this article

 

https://dx.doi.org/10.1590/S0103-50532009000100004

Published online: October 15, 2008

 

Share PDF

Total access: 1125


J. Braz. Chem. Soc. 2009, 20(1), 19-30

The Performance of Urea-Intercalated and Delaminated Kaolinites-Adsorption Kinetics Involving Copper and Lead

Denis L. Guerra; Claudio Airoldi

How to cite this article

 

https://dx.doi.org/10.1590/S0103-50532009000100005

Published online: October 16, 2008

 

Share PDF

Total access: 1125


J. Braz. Chem. Soc. 2009, 20(1), 31-36

Singlet Oxygen Quantum Yields (ΦΔ) in Water using Beetroot Extract and an Array of LEDs

Juliano A. Bonacin; Fábio M. Engelmann; Divinomar Severino; Henrique E. Toma; Mauricio S. Baptista

How to cite this article

 

https://dx.doi.org/10.1590/S0103-50532009000100006

Published online: October 16, 2008

 

Share PDF

Total access: 1217


J. Braz. Chem. Soc. 2009, 20(1), 37-41

New volatile constituents from leaves of Stemodia trifoliata (Link.) Reichb. (Schrophulariaceae)

Wildson Max B. da Silva; João Carlos da C. Assunção; Renata M. Araújo; Edilberto R. Silveira; Otília D. L. Pessoa

How to cite this article

 

https://dx.doi.org/10.1590/S0103-50532009000100007

Published online: October 21, 2008

 

Share PDF   Supplementary Information 

Total access: 2161


J. Braz. Chem. Soc. 2009, 20(1), 42-45

SiO2·p-TSA: A Green Catalyst for Solvent-free Tetrahydropyranylation of Alcohols and Thiols

Alcindo A. Dos Santos; Gilmar A. Brito Jr.; Marcos V. L. Archilha; Tiago G. A. Bele; Guilherme P. Dos Santos; Murilo B. M. de Mello

How to cite this article

 

https://dx.doi.org/10.1590/S0103-50532009000100008

Published online: October 24, 2008

 

Share PDF   Supplementary Information 

Total access: 2001


J. Braz. Chem. Soc. 2009, 20(1), 46-50

Modification of Spherical SiO2 Particles via Electrolyte for High Zeta Potential and Self-Assembly of SiO2 Photonic Crystal

Li-ying Liu; Xiu-feng Wang; Bing Cheng; Chun-xiang Zhang

How to cite this article

 

https://dx.doi.org/10.1590/S0103-50532009000100009

Published online: October 31, 2008

 

Share PDF

Total access: 1186


J. Braz. Chem. Soc. 2009, 20(1), 51-56

Degradation of the Insecticides Thiamethoxam and Imidacloprid in Aqueous Solution as Promoted by an Innovative Feº/Fe3O4 Composite

Ana P. F. M. de Urzedo; Clésia C. Nascentes; Rodinei Augusti

How to cite this article

 

https://dx.doi.org/10.1590/S0103-50532009000100010

Published online: October 31, 2008

 

Share PDF

Total access: 1087


J. Braz. Chem. Soc. 2009, 20(1), 57-63

Characterization of Salt Efflorescence using Target Factor Analysis. Development of the Method

Lidija Čukovska; Orhideja Grupče; Biljana Minčeva-Šukarova; Igor Kuzmanovski

How to cite this article

 

https://dx.doi.org/10.1590/S0103-50532009000100011

Published online: October 31, 2008

 

Share PDF

Total access: 1097


J. Braz. Chem. Soc. 2009, 20(1), 64-73

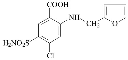
Potentiometric Sensor for Furosemide Determination in Pharmaceuticals, Urine, Blood Serum and Bovine Milk

Alberto O. Santini; Helena R. Pezza; Rodrigo Sequinel; José L. Rufino; Leonardo Pezza

How to cite this article

 

https://dx.doi.org/10.1590/S0103-50532009000100012

Published online: November 12, 2008

 

Share PDF

Total access: 1285


J. Braz. Chem. Soc. 2009, 20(1), 74-79

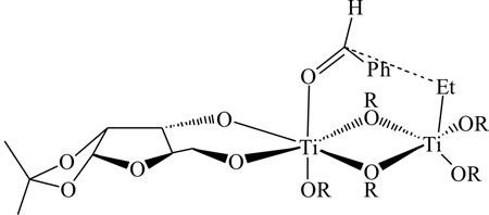
Enantioselective Addition of Diethylzinc to Benzaldehyde Catalyzed by an Organometallic Ti(IV) Compound and a Xylose Derivative

José Parada; Juan Herrera; A. Pedraza

How to cite this article

 

https://dx.doi.org/10.1590/S0103-50532009000100013

Published online: November 12, 2008

 

Share PDF

Total access: 1110


J. Braz. Chem. Soc. 2009, 20(1), 80-87

Electrochemical and Photocatalytic Reactions of Polycyclic Aromatic Hydrocarbons Investigated by Raman Spectroscopy

Denise S. Cordeiro; Paola Corio

How to cite this article

 

https://dx.doi.org/10.1590/S0103-50532009000100014

Published online: November 14, 2008

 

Share PDF

Total access: 1119


J. Braz. Chem. Soc. 2009, 20(1), 88-92

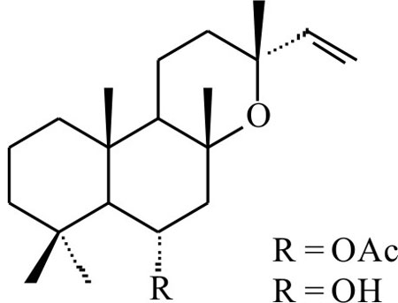
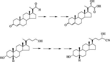
Synthesis of Hydroxy Acids of Dinorcholane and 5β-Cholane

L. Nahar; A. B. Turner; S. D. Sarker

How to cite this article

 

https://dx.doi.org/10.1590/S0103-50532009000100015

Published online: November 14, 2008

 

Share PDF

Total access: 1138


J. Braz. Chem. Soc. 2009, 20(1), 93-99

Green Michael Addition of Thiols to Electron Deficient Alkenes using KF/Alumina and Recyclable Solvent or Solvent-free Conditions

Eder J. Lenardão; Danusia O. Trecha; Patrícia da C. Ferreira; Raquel G. Jacob; Gelson Perin

How to cite this article

 

https://dx.doi.org/10.1590/S0103-50532009000100016

Published online: November 14, 2008

 

Share PDF

Total access: 1158


J. Braz. Chem. Soc. 2009, 20(1), 100-106

Screen-Printed Carbon Electrode Modified with Poly-L-histidine Applied to Gold(III) Determination

Márcio F. Bergamini; Daniela P. Santos; Maria Valnice B. Zanoni

How to cite this article

 

https://dx.doi.org/10.1590/S0103-50532009000100017

Published online: November 18, 2008

 

Share PDF

Total access: 1205


J. Braz. Chem. Soc. 2009, 20(1), 107-116

Determination of Ametryn in River Water, River Sediment and Bivalve Mussels by Liquid Chromatography-Tandem Mass Spectrometry

Analu E. Jacomini; Plinio B. de Camargo; Wagner E. P. Avelar; Pierina S. Bonato

How to cite this article

 

https://dx.doi.org/10.1590/S0103-50532009000100018

Published online: November 18, 2008

 

Share PDF

Total access: 1408


J. Braz. Chem. Soc. 2009, 20(1), 117-124

Enzymatic Hydrolysis of Salmon Oil by Native Lipases: Optimization of Process Parameters

Patrícia de O. Carvalho; Paula R. B. Campos; Maximiliano D'Addio Noffs; Patrícia B. L. Fregolente; Leonardo V. Fregolente

How to cite this article

 

https://dx.doi.org/10.1590/S0103-50532009000100019

Published online: November 26, 2008

 

Share PDF

Total access: 1221


J. Braz. Chem. Soc. 2009, 20(1), 125-132

Validation of a Method using Solid Phase Extraction and Liquid Chromatography for the Determination of Pesticide Residues in Groundwaters

Sergiane S. Caldas; Adriana Demoliner; Ednei G. Primel

How to cite this article

 

https://dx.doi.org/10.1590/S0103-50532009000100020

Published online: November 26, 2008

 

Share PDF

Total access: 1299


J. Braz. Chem. Soc. 2009, 20(1), 133-140

Determination of pKa Values of Some Auxins in Methanol-Water Mixtures by Reversed Phase Liquid Chromatography and Potentiometric Methods

Mustafa Kelen; Nurullah Sanli

How to cite this article

 

https://dx.doi.org/10.1590/S0103-50532009000100021

Published online: November 26, 2008

 

Share PDF

Total access: 1131


J. Braz. Chem. Soc. 2009, 20(1), 141-151

Kinetic Study of Electrocatalytic Oxidation of Carbohydrates on Cobalt Hydroxide Modified Glassy Carbon Electrode

Ghasem Karim-Nezhad; Mohammad Hasanzadeh; Lotfali Saghatforoush; Nasrin Shadjou; Sohrab Earshad; Balal Khalilzadeh

How to cite this article

 

https://dx.doi.org/10.1590/S0103-50532009000100022

Published online: November 26, 2008

 

Share PDF

Total access: 1037


J. Braz. Chem. Soc. 2009, 20(1), 152-159

Photocatalytic Degradation of the Insecticide Acetamiprid on TiO2 Catalyst

Valéria J. Guzsvány; János J. Csanádi; Sanja D. Lazić; Ferenc F. Gaál

How to cite this article

 

https://dx.doi.org/10.1590/S0103-50532009000100023

Published online: November 26, 2008

 

Share PDF

Total access: 1191


J. Braz. Chem. Soc. 2009, 20(1), 160-166

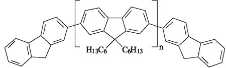
Photophysical Properties and Quantum Chemical Studies of Poly(2,7-9,9'-dihexylfluorene-dyil)

Hueder P. M. Oliveira; Tatiana D. Martins; Kathia M. Honório; Paula C. Rodrigues; Leni Akcelrud; Albérico B. F. Silva; Teresa D. Z. Atvars

How to cite this article

 

https://dx.doi.org/10.1590/S0103-50532009000100024

Published online: November 28, 2008

 

Share PDF

Total access: 1219


J. Braz. Chem. Soc. 2009, 20(1), 167-175

Structural, Morphological and Vibrational Properties of Titanate Nanotubes and Nanoribbons

Bartolomeu C. Viana; Odair P. Ferreira; Antonio G. Souza Filho; Josue Mendes Filho; Oswaldo L. Alves

How to cite this article

 

https://dx.doi.org/10.1590/S0103-50532009000100025

Published online: November 28, 2008

 

Share PDF

Total access: 1229


J. Braz. Chem. Soc. 2009, 20(1), 176-182

Antitumoral, Antileishmanial and Antimalarial Activity of Pentacyclic 1,4-Naphthoquinone Derivatives

Alcides J.M. da Silva; Chaquip D. Netto; Wallace Pacienza-Lima; Eduardo Caio Torres-Santos; Bartira Rossi-Bergmann; Severine Maurel; Alexis Valentin; Paulo R.R. Costa

How to cite this article

 

https://dx.doi.org/10.1590/S0103-50532009000100026

Published online: November 28, 2008

 

Share PDF   Supplementary Information 

Total access: 2391


Short Reports J. Braz. Chem. Soc. 2009, 20(1), 183-187

Direct Determination of Plant-Growth Related Metabolites by Capillary Electrophoresis with Spectrophotometric UV Detection

Nilson A. Assunção; Sandra C. C. Arruda; Adriana P. Martinelli; Emanuel Carrilho

How to cite this article

 

https://dx.doi.org/10.1590/S0103-50532009000100027

Published online: November 17, 2008

 

Share PDF

Total access: 1087


J. Braz. Chem. Soc. 2009, 20(1), 188-194

A Simple Method for the Quantitative Analysis of Tyrosol by HPLC in Liquid Czapek Cultures from Endophytic Fungi

Denise O. Guimarães; Keyller B. Borges; Pierina S. Bonato; Mônica T. Pupo

How to cite this article

 

https://dx.doi.org/10.1590/S0103-50532009000100028

Published online: November 18, 2008

 

Share PDF

Total access: 1115


J. Braz. Chem. Soc. 2009, 20(1), 195-200

Biotransformation of a Tetrahydrofuran Lignan by the Endophytic Fungus Phomopsis Sp.

Michelle Verza; Nilton S. Arakawa; Norberto P. Lopes; Massuo J. Kato; Mônica T. Pupo; Suraia Said; Ivone Carvalho

How to cite this article

 

https://dx.doi.org/10.1590/S0103-50532009000100029

Published online: November 28, 2008

 

Share PDF   Supplementary Information 

Total access: 2239

Online version ISSN 1678-4790 Printed version ISSN 0103-5053
Journal of the Brazilian Chemical Society
JBCS Editorial and Publishing Office
University of Campinas - UNICAMP
13083-970 Campinas-SP, Brazil

Free access

GN1