JBCS

13:24, Sat Nov 29

Open Access/APCs

First slide
Second slide
Third slide
Third slide
Fifth slide
Sixth slide

vol. 20, No. 2, 2009, p. 201-386




Editorial J. Braz. Chem. Soc. 2009, 20(2), 0-0

Editorial

Watson Loh

How to cite this article

 

https://dx.doi.org/10.1590/S0103-50532009000200001

Total access: 3208


Communication J. Braz. Chem. Soc. 2009, 20(2), 201-204

Etherification of Glycerol with Benzyl Alcohol Catalyzed by Solid Acids

Camila R. B. da Silva; Válter L. C. Gonçalves; Elizabeth R. Lachter; Claudio J. A. Mota

How to cite this article

 

https://dx.doi.org/10.1590/S0103-50532009000200002

Published online: December 18, 2008

 

Share PDF

Total access: 1205


Articles J. Braz. Chem. Soc. 2009, 20(2), 205-213

2-Methyl-7-Substituted Pyrazolo[1,5-a]pyrimidines: Highly Regioselective Synthesis and Bromination

Marcos A. P. Martins; Elisandra Scapin; Clarissa P. Frizzo; Fernanda A. Rosa; Helio G. Bonacorso; Nilo Zanatta

How to cite this article

 

https://dx.doi.org/10.1590/S0103-50532009000200003

Published online: December 4, 2008

 

Share PDF

Total access: 1318


J. Braz. Chem. Soc. 2009, 20(2), 214-221

Influence of Sources and Meteorology on Surface Concentrations of Gases and Aerosols in a Coastal Industrial Complex

Andrew G. Allen; Andrew J. S. McGonigle; Arnaldo A. Cardoso; Cristine M. D. Machado; Brian Davison; Willian C. Paterlini; Gisele O. da Rocha; Jailson B. de Andrade

How to cite this article

 

https://dx.doi.org/10.1590/S0103-50532009000200004

Published online: December 4, 2008

 

Share PDF

Total access: 1147


J. Braz. Chem. Soc. 2009, 20(2), 222-228

Polycyclic Aromatic Hydrocarbons from Asphalt Binder: Extraction and Characterization

Lucidalva S. Pinheiro; Paulo R. N. Fernandes; Rivelino M. Cavalcante; Ronaldo F. Nascimento; Jorge B. Soares; Sandra A. Soares; José A. K. Freire

How to cite this article

 

https://dx.doi.org/10.1590/S0103-50532009000200005

Published online: December 4, 2008

 

Share PDF

Total access: 1159


J. Braz. Chem. Soc. 2009, 20(2), 229-235

Effect of Synthesis Temperature and Alkoxy Side Chain Length on Molecular Structure and Photoelectrochemical Properties of Terthiophenes

Marcos J. L. Santos; Emerson M. Girotto

How to cite this article

 

https://dx.doi.org/10.1590/S0103-50532009000200006

Published online: December 4, 2008

 

Share PDF

Total access: 1043


J. Braz. Chem. Soc. 2009, 20(2), 236-242

Flow-Injection Iodimetric Determination of Captopril in Pharmaceutical Preparations

Erlando Schmidt Jr.; Wanessa R. Melchert; Fábio R. P. Rocha

How to cite this article

 

https://dx.doi.org/10.1590/S0103-50532009000200007

Published online: December 12, 2008

 

Share PDF

Total access: 1135


J. Braz. Chem. Soc. 2009, 20(2), 243-251

Trace Elements in Different Species of Cetacean from Rio de Janeiro Coast

Tércia G. Seixas; Helena A. Kehrig; Ana Paula M. Di Beneditto; Cristina M. M. Souza; Olaf Malm; Isabel Moreira

How to cite this article

 

https://dx.doi.org/10.1590/S0103-50532009000200008

Published online: December 12, 2008

 

Share PDF

Total access: 1249


J. Braz. Chem. Soc. 2009, 20(2), 252-258

Direct Electrochemistry of Hemoglobin Immobilized in Polyvinylalcohol and Clay Composite Film Modified Carbon Ionic Liquid Electrode

Ni Hui; Rui-fang Gao; Xiao-qing Li; Wei Sun; Kui Jiao

How to cite this article

 

https://dx.doi.org/10.1590/S0103-50532009000200009

Published online: December 12, 2008

 

Share PDF

Total access: 1105


J. Braz. Chem. Soc. 2009, 20(2), 259-265

A Semi-Continuous Analyzer for the Fluorimetric Determination of Atmospheric Formaldehyde

Eliane Teixeira Sousa; Fabio Santos de Oliveira; Arnaldo Cardoso Alves; Jailson B. de Andrade

How to cite this article

 

https://dx.doi.org/10.1590/S0103-50532009000200010

Published online: December 12, 2008

 

Share PDF

Total access: 970


J. Braz. Chem. Soc. 2009, 20(2), 266-276

Study on the Interaction between Morin-Bi(III) Complex and DNA with the use of Methylene Blue Dye as a Fluorophor Probe

Ali A. Ensafi; Reza Hajian; Sara Ebrahimi

How to cite this article

 

https://dx.doi.org/10.1590/S0103-50532009000200011

Published online: December 18, 2008

 

Share PDF

Total access: 1134


J. Braz. Chem. Soc. 2009, 20(2), 277-287

Volatile Compounds of Baccharis punctulata, Baccharis dracunculifolia and Eupatorium laevigatum obtained using Solid Phase Microextraction and Hydrodistillation

Patrícia Schossler; Guilherme Leal Schneider; Diego Wunsch; Geraldo Luiz Gonçalves Soares; Cláudia Alcaraz Zini

How to cite this article

 

https://dx.doi.org/10.1590/S0103-50532009000200012

Published online: December 18, 2008

 

Share PDF

Total access: 1240


J. Braz. Chem. Soc. 2009, 20(2), 288-293

Flow Injection Spectrofluorimetric Determination of Cystine and Cysteine

Ali A. Ensafi; B. Rezaei; S. Nouroozi

How to cite this article

 

https://dx.doi.org/10.1590/S0103-50532009000200013

Published online: December 18, 2008

 

Share PDF

Total access: 1121


J. Braz. Chem. Soc. 2009, 20(2), 294-298

Proposal of an EPR Based Method for Pollution Level Monitoring in Mangrove Sediments

Antonio S. Mangrich; Lenise da Silva; Betania F. Pereira; Iara Messerschmidt

How to cite this article

 

https://dx.doi.org/10.1590/S0103-50532009000200014

Published online: December 18, 2008

 

Share PDF

Total access: 1102


J. Braz. Chem. Soc. 2009, 20(2), 299-308

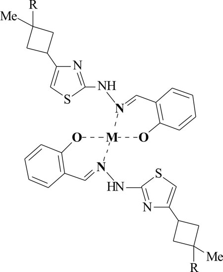
Potentiometric Studies on Nickel(II), Copper(II) and Zinc(II) Metal Complexes with New Schiff Bases Containing Cyclobutane and Thiazole Groups in 60% Dioxane-Water Mixture

Yüksel Altun; Fitnat Köseoğlu; Havva Demirelli; İbrahim Yılmaz; Alaattin Çukurovalı; Nusret Kavak

How to cite this article

 

https://dx.doi.org/10.1590/S0103-50532009000200015

Published online: January 15, 2009

 

Share PDF

Total access: 1252


J. Braz. Chem. Soc. 2009, 20(2), 309-312

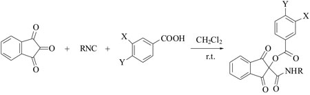
Passerini Multicomponent Reaction of Indane-1,2,3-Trione: an Efficient Route for the One-Pot Synthesis of Sterically Congested 2,2-Disubstituted Indane-1,3-Dione Derivatives

Ali Reza Kazemizadeh; Ali Ramazani

How to cite this article

 

https://dx.doi.org/10.1590/S0103-50532009000200016

Published online: January 15, 2009

 

Share PDF

Total access: 1270


J. Braz. Chem. Soc. 2009, 20(2), 313-321

Green and Roasted Arabica Coffees Differentiated by Ripeness, Process and Cup Quality via Electrospray Ionization Mass Spectrometry Fingerprinting

Ana Carolina L. Amorim; Ana Maria C. Hovell; Angelo C. Pinto; Marcos N. Eberlin; Neusa P. Arruda; Elenilda J. Pereira; Humberto R. Bizzo; Rodrigo R. Catharino; Zenildo B. Morais Filho; Claudia M. Rezende

How to cite this article

 

https://dx.doi.org/10.1590/S0103-50532009000200017

Published online: January 15, 2009

 

Share PDF

Total access: 1092


J. Braz. Chem. Soc. 2009, 20(2), 322-332

Screening of the Odour-Activity and Bioactivity of the Essential Oils of Leaves and Flowers of Hyptis Passerina Mart. from the Brazilian Cerrado

Barbara D. Zellner; Ana Carolina L. Amorim; Ana Luisa P. de Miranda; Ruy J. V. Alves; Jussara P. Barbosa; Gisela L. da Costa; Claudia M. Rezende

How to cite this article

 

https://dx.doi.org/10.1590/S0103-50532009000200018

Published online: January 15, 2009

 

Share PDF   Supplementary Information 

Total access: 2239


J. Braz. Chem. Soc. 2009, 20(2), 333-340

In situ Measurement of Trace Metals in Estuarine Waters of Patos Lagoon using Diffusive Gradients in Thin Films (DGT)

Mônica Wallner-Kersanach; Carlos Francisco F. de Andrade; Hao Zhang; Márcio R. Milani; Luis Felipe H. Niencheski

How to cite this article

 

https://dx.doi.org/10.1590/S0103-50532009000200019

Published online: January 15, 2009

 

Share PDF

Total access: 1146


J. Braz. Chem. Soc. 2009, 20(2), 341-347

Organotin(IV) Esters of 4-Maleimido-benzoic Acid: Synthesis, Characterization and in vitro Anti-leishmanial Effects

M. I. Khan; Musa Kaleem Baloch; Muhammad Ashfaq; Saima Gul

How to cite this article

 

https://dx.doi.org/10.1590/S0103-50532009000200020

Published online: January 22, 2009

 

Share PDF   Supplementary Information 

Total access: 2206


J. Braz. Chem. Soc. 2009, 20(2), 348-359

Simultaneous Quantification of Amphetamines and Ephedrines in Urine by GC/MS using Analytical-Grade Acetic Anhydride/Pyridine as Derivatizing Reagents: a Suitable Approach to Reduce Costs of Routine Analyses

Patrícia L. de Souza Bergo; Joane M. Correa; Tanus J. Nagem; Rodinei Augusti; Clésia C. Nascentes

How to cite this article

 

https://dx.doi.org/10.1590/S0103-50532009000200021

Published online: January 22, 2009

 

Share PDF

Total access: 1056


J. Braz. Chem. Soc. 2009, 20(2), 360-366

Square-Wave Voltammetric Determination of Acetylsalicylic Acid in Pharmaceutical Formulations using a Boron-Doped Diamond Electrode without the Need of Previous Alkaline Hydrolysis Step

Elen R. Sartori; Roberta A. Medeiros; Romeu C. Rocha-Filho; Orlando Fatibello-Filho

How to cite this article

 

https://dx.doi.org/10.1590/S0103-50532009000200022

Published online: January 22, 2009

 

Share PDF

Total access: 1168


J. Braz. Chem. Soc. 2009, 20(2), 367-374

A General and Efficient Synthesis of Pyrazoles Catalyzed by Sc(OTf)3 under Solvent-Free Conditions

Wei Xiong; Jiu-Xi Chen; Miao-Chang Liu; Jin-Chang Ding; Hua-Yue Wu; Wei-Ke Su

How to cite this article

 

https://dx.doi.org/10.1590/S0103-50532009000200023

Published online: January 22, 2009

 

Share PDF   Supplementary Information 

Total access: 2278


Short Reports J. Braz. Chem. Soc. 2009, 20(2), 375-378

Chemical Composition and Larvicidal Activity of Rollinia leptopetala (Annonaceae)

Edinilza M. A. Feitosa; Angela M. C. Arriaga; Gilvandete M. P. Santiago; Telma L. G. de Lemos; M. Conceição F. de Oliveira; Jackson Nunes e Vasconcelos; Jefferson Q. Lima; Grazielle T. Malcher; Ronaldo F. do Nascimento; Raimundo Braz-Filho

How to cite this article

 

https://dx.doi.org/10.1590/S0103-50532009000200024

Published online: December 4, 2008

 

Share PDF   Supplementary Information 

Total access: 2342


J. Braz. Chem. Soc. 2009, 20(2), 379-382

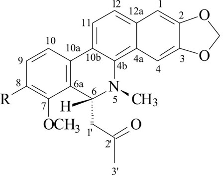
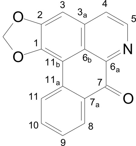
6-Acetonyl-N-methyl-dihydrodecarine, a New Alkaloid from Zanthoxylum riedelianum

Carromberth C. Fernandes; Paulo C. Vieira; Virgínia C. da Silva; Evandro L. Dall'Oglio; Luiz E. da Silva; Paulo T. de Sousa Jr.

How to cite this article

 

https://dx.doi.org/10.1590/S0103-50532009000200025

Published online: December 12, 2008

 

Share PDF   Supplementary Information 

Total access: 2304


J. Braz. Chem. Soc. 2009, 20(2), 383-386

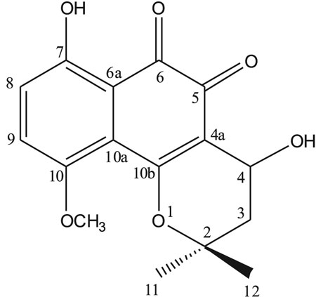
A New β-Lapachone Derivative from Distictella elongata (Vahl) Urb.

Erdal Bedir; Ana M. S. Pereira; Shabana I. Khan; Amar Chittiboyina; Rita M. Moraes; Ikhlas A. Khan

How to cite this article

 

https://dx.doi.org/10.1590/S0103-50532009000200026

Published online: December 18, 2008

 

Share PDF

Total access: 1507

Online version ISSN 1678-4790 Printed version ISSN 0103-5053
Journal of the Brazilian Chemical Society
JBCS Editorial and Publishing Office
University of Campinas - UNICAMP
13083-970 Campinas-SP, Brazil

Free access

GN1