JBCS

13:59, Sat Nov 29

Open Access/APCs

First slide
Second slide
Third slide
Third slide
Fifth slide
Sixth slide

vol. 20, No. 5, 2009, p. 813-1002




Editorial J. Braz. Chem. Soc. 2009, 20(5), 0

Brazil, an emerged power

Luiz Henrique Catalani; Vanderlan da Silva Bolzani

How to cite this article

 

https://dx.doi.org/10.1590/S0103-50532009000500001

Total access: 1884


Communication J. Braz. Chem. Soc. 2009, 20(5), 813-819

Studies towards the Construction of Quaternary Indolizidines by [2,3]-Sigmatropic Rearrangement Cocatalyzed by Ionic Liquid

Esteban F. Duran-Lara; Nagula Shankaraiah; Daniela Geraldo; Leonardo S. Santos

How to cite this article

 

https://dx.doi.org/10.1590/S0103-50532009000500002

Published online: April 17, 2009

 

Share PDF

Total access: 1146


Articles J. Braz. Chem. Soc. 2009, 20(5), 820-825

Synthesis, Characterization and Kinetics of Catalytically Active Molecularly Imprinted Polymers for the Selective Recognition of 4-Aminophenol

Wilney J. R. Santos; Phabyanno R. Lima; César R. T. Tarley; Lauro T. Kubota

How to cite this article

 

https://dx.doi.org/10.1590/S0103-50532009000500003

Published online: March 13, 2009

 

Share PDF

Total access: 1050


J. Braz. Chem. Soc. 2009, 20(5), 826-831

Design, Synthesis and Anticonvulsant Activity Evaluation of 7-Substituted-4H-[1,2,4]triazino[3,4-a]phthalazin-4-one Derivatives

Xian-Yu Sun; Li-Ping Guan; Lei Zhang; Cheng-Xi Wei; Hu-Ri Piao; Zhe-Shan Quan

How to cite this article

 

https://dx.doi.org/10.1590/S0103-50532009000500004

Published online: March 13, 2009

 

Share PDF

Total access: 1171


J. Braz. Chem. Soc. 2009, 20(5), 832-838

Flame Atomic Absorption Spectrometric Determination of Trace Amounts of Cobalt after Cloud Point Extraction as 2-[(2-Mercaptophenylimino)methyl]phenol Complex

Neda Baghban; Ali Mohammad H. Shabani; Shayessteh Dadfarnia; Abbas A. Jafari

How to cite this article

 

https://dx.doi.org/10.1590/S0103-50532009000500005

Published online: March 13, 2009

 

Share PDF

Total access: 1217


J. Braz. Chem. Soc. 2009, 20(5), 839-845

Long Alkyl Chain bis-Quaternary Ammonium-based Ionic Liquids as Biologically Active Xanthenes Dyes

Juliusz Pernak; Anna Świerczyńska; Filip Walkiewicz; Ewa Krystkowiak; Andrzej Maciejewski

How to cite this article

 

https://dx.doi.org/10.1590/S0103-50532009000500006

Published online: March 13, 2009

 

Share PDF   Supplementary Information 

Total access: 2216


J. Braz. Chem. Soc. 2009, 20(5), 846-852

Speeding up HCl Extractions by Employing Ultrasound Energy to Evaluate Trace Elements Bioavailability in Sediments

Vanessa Hatje; Letícia M. Costa; Maria Graças A. Korn; Gabriel Cotrim

How to cite this article

 

https://dx.doi.org/10.1590/S0103-50532009000500007

Published online: March 20, 2009

 

Share PDF

Total access: 1110


J. Braz. Chem. Soc. 2009, 20(5), 853-859

Neolignans and Sesquiterpenes from Leaves and Embryogenic Cultures of Ocotea catharinensis (Lauraceae)

Mariko Funasaki; Ana Luísa L. Lordello; Ana Maria Viana; Claudete Santa-Catarina; Eny I. S. Floh; Massayoshi Yoshida; Massuo J. Kato

How to cite this article

 

https://dx.doi.org/10.1590/S0103-50532009000500008

Published online: March 20, 2009

 

Share PDF   Supplementary Information 

Total access: 2572


J. Braz. Chem. Soc. 2009, 20(5), 860-865

Application of H-Point Standard Addition Method for Simultaneous Spectrophotometric Determination of Hydrochlorothiazide and Propranolol

Reza Hajian; Nafiseh Shams; Ardeshir Rad

How to cite this article

 

https://dx.doi.org/10.1590/S0103-50532009000500009

Published online: March 27, 2009

 

Share PDF

Total access: 1091


J. Braz. Chem. Soc. 2009, 20(5), 866-872

Microwave-assisted Photocatalytic Degradation of Dimethyl Phthalate using a Microwave Discharged Electrodeless Lamp

Wenchao Liao; Peng Wang

How to cite this article

 

https://dx.doi.org/10.1590/S0103-50532009000500010

Published online: March 27, 2009

 

Share PDF

Total access: 1153


J. Braz. Chem. Soc. 2009, 20(5), 873-879

Pd-W and Pd-Mo Catalysts for NO Decomposition and NO/CO Reduction Reactions

Rogério M. Dallago; Ione M. Baibich

How to cite this article

 

https://dx.doi.org/10.1590/S0103-50532009000500011

Published online: March 27, 2009

 

Share PDF

Total access: 1100


J. Braz. Chem. Soc. 2009, 20(5), 880-887

Ferrocenedicarboxylic Acid Modified Carbon Paste Electrode: A Sensor for Electrocatalytic Determination of Hydrochlorothiazide

H. Karimi-Maleh; Ali A. Ensafi; Hamid R. Ensafi

How to cite this article

 

https://dx.doi.org/10.1590/S0103-50532009000500012

Published online: March 31, 2009

 

Share PDF

Total access: 1139


J. Braz. Chem. Soc. 2009, 20(5), 888-894

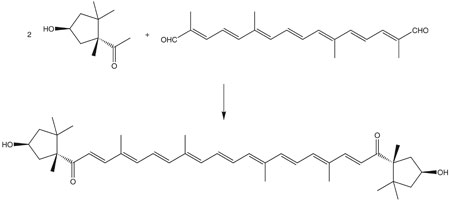
Total Synthesis of (3S, 5R, 3'S, 5'R)-Capsorubin

Daniel Frederico; Mauricio G. Constantino; Paulo M. Donate

How to cite this article

 

https://dx.doi.org/10.1590/S0103-50532009000500013

Published online: March 31, 2009

 

Share PDF   Supplementary Information 

Total access: 2253


J. Braz. Chem. Soc. 2009, 20(5), 895-906

Hydrocarbon Oxidation Catalyzed by Iron and Manganese Porphyrins Anchored on Aminofunctionalized Supports

André L. Faria; Tatiana O. C. Mac Leod; Valéria P. Barros; Marilda D. Assis

How to cite this article

 

https://dx.doi.org/10.1590/S0103-50532009000500014

Published online: April 3, 2009

 

Share PDF

Total access: 1094


J. Braz. Chem. Soc. 2009, 20(5), 907-912

Synthesis of Novel 6-(Substituted benzyl)imidazo[2,1-b][1,3]thiazole Catalyzed by Polystyrene-Supported Palladium(II) Ethylenediamine Complex

Mohammad Bakherad; Ali Keivanloo; Bahram Bahramian; Taghi A. Kamali

How to cite this article

 

https://dx.doi.org/10.1590/S0103-50532009000500015

Published online: April 3, 2009

 

Share PDF

Total access: 1181


J. Braz. Chem. Soc. 2009, 20(5), 913-917

Design, Construction and Evaluation of a Simple Pressurized Solvent Extraction System

J. S. S. Pinto; F. M. Lanças

How to cite this article

 

https://dx.doi.org/10.1590/S0103-50532009000500016

Published online: April 17, 2009

 

Share PDF

Total access: 984


J. Braz. Chem. Soc. 2009, 20(5), 918-925

Multiresidue Determination of Pesticides in Drinking Water by Gas Chromatography-Mass Spectrometry after Solid-Phase Extraction

Guilherme P. Sabin; Osmar D. Prestes; Martha B. Adaime; Renato Zanella

How to cite this article

 

https://dx.doi.org/10.1590/S0103-50532009000500017

Published online: April 17, 2009

 

Share PDF

Total access: 1305


J. Braz. Chem. Soc. 2009, 20(5), 926-934

A New Homatropine Potentiometric Membrane Sensor as a Useful Device for Homatropine Hydrobromide Analysis in Pharmaceutical Formulation and Urine: a Computational Study

Mohammad Reza Ganjali; Zahra Memari; Siavash Riahi; Farnoush Faridbod; Parviz Norouzi; Manesha A. K. Sian

How to cite this article

 

https://dx.doi.org/10.1590/S0103-50532009000500018

Published online: April 17, 2009

 

Share PDF

Total access: 1070


J. Braz. Chem. Soc. 2009, 20(5), 935-938

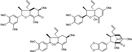
Pterocarpans and a Novel Flavanone from Harpalyce brasiliana Roots

Renata M. de Araújo; Mary Anne S. Lima; Edilberto R. Silveira

How to cite this article

 

https://dx.doi.org/10.1590/S0103-50532009000500019

Published online: April 17, 2009

 

Share PDF   Supplementary Information 

Total access: 2365


J. Braz. Chem. Soc. 2009, 20(5), 939-946

Determination of Protonation Constants of Some Tetracycline Antibiotics by Potentiometry and LC Methods in Water and Acetonitrile-Water Binary Mixtures

Senem Şanli; Nurullah Şanli; Güleren Alsancak

How to cite this article

 

https://dx.doi.org/10.1590/S0103-50532009000500020

Published online: April 17, 2009

 

Share PDF

Total access: 1230


J. Braz. Chem. Soc. 2009, 20(5), 947-953

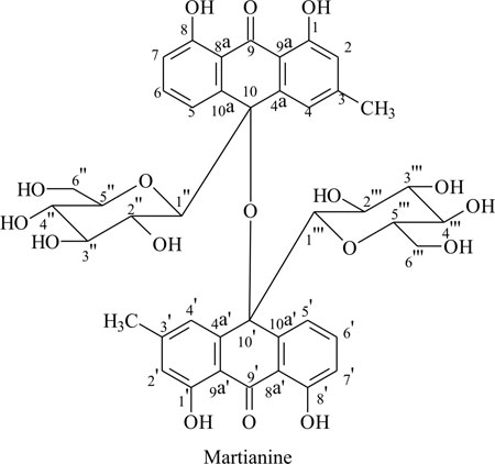
A New Bianthron Glycoside as Inhibitor of Trypanosoma cruzi Glyceraldehyde 3-Phosphate Dehydrogenase Activity

Edângelo M. S. de Macedo; Helton J. Wiggers; Maria G. V. Silva; Raimundo Braz-Filho; Adriano D. Andricopulo; Carlos A. Montanari

How to cite this article

 

https://dx.doi.org/10.1590/S0103-50532009000500021

Published online: April 24, 2009

 

Share PDF   Supplementary Information 

Total access: 2307


J. Braz. Chem. Soc. 2009, 20(5), 954-966

Synthesis, Characterization and use of Nb2O5 based Catalysts in Producing Biofuels by Transesterification, Esterification and Pyrolysis

Rodrigo F. Brandão; Rafael L. Quirino; Vinicius M. Mello; André P. Tavares; Antônio C. Peres; Flávia Guinhos; Joel C. Rubim; Paulo A. Z. Suarez

How to cite this article

 

https://dx.doi.org/10.1590/S0103-50532009000500022

Published online: April 24, 2009

 

Share PDF

Total access: 1346


J. Braz. Chem. Soc. 2009, 20(5), 967-974

Seasonal Influence on the Essential Oil Variability of Eugenia dysenterica

Alessandra R. Duarte; Ronaldo R. Naves; Suzana C. Santos; José C. Seraphin; Pedro H. Ferri

How to cite this article

 

https://dx.doi.org/10.1590/S0103-50532009000500023

Published online: April 30, 2009

 

Share PDF   Supplementary Information 

Total access: 2437


J. Braz. Chem. Soc. 2009, 20(5), 975-987

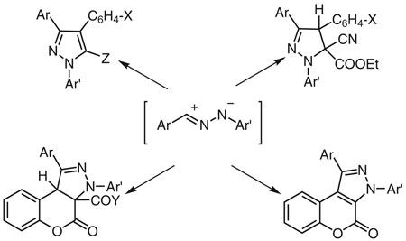
Synthesis and Antimicrobial Evaluation of some New Pyrazole, Pyrazoline and Chromeno[3,4-c]pyrazole Derivatives

Nada M. Abunada; Hamdi M. Hassaneen; Ahmed S. M. Abu Samaha; Omar A. Miqdad

How to cite this article

 

https://dx.doi.org/10.1590/S0103-50532009000500024

Published online: April 30, 2009

 

Share PDF

Total access: 1166


Short Reports J. Braz. Chem. Soc. 2009, 20(5), 988-992

Copper Catalyzed Cross-Coupling Reactions of Diaryl Ditellurides with Potassium Aryltrifluoroborate Salts

Diego Alves; Jesus M. Pena; Adriano S. Vieira; Giancarlo V. Botteselle; Rafael C. Guadagnin; Hélio A. Stefani

How to cite this article

 

https://dx.doi.org/10.1590/S0103-50532009000500025

Published online: March 20, 2009

 

Share PDF   Supplementary Information 

Total access: 2138


J. Braz. Chem. Soc. 2009, 20(5), 993-998

Development of a Derivative Spectrophotometric Method for the Determination of Fungicide Zinc Ethylenebisdithiocarbamate using Sodium Molybdate

Manpreet Kaur; Varinder Kaur; Ashok K. Malik; Neelam Verma; Baldev Singh; A. L. J. Rao

How to cite this article

 

https://dx.doi.org/10.1590/S0103-50532009000500026

Published online: March 31, 2009

 

Share PDF

Total access: 1057


J. Braz. Chem. Soc. 2009, 20(5), 999-1002

Microwave-Assisted Reaction of 2,3-Dichloronaphthoquinone with Aminopyridines

Ricardo A. Tapia; Lorena Cantuarias; Mauricio Cuéllar; Joan Villena

How to cite this article

 

https://dx.doi.org/10.1590/S0103-50532009000500027

Published online: April 3, 2009

 

Share PDF

Total access: 1081

Online version ISSN 1678-4790 Printed version ISSN 0103-5053
Journal of the Brazilian Chemical Society
JBCS Editorial and Publishing Office
University of Campinas - UNICAMP
13083-970 Campinas-SP, Brazil

Free access

GN1