JBCS

14:36, Sat Nov 29

Open Access/APCs

First slide
Second slide
Third slide
Third slide
Fifth slide
Sixth slide

vol. 20, No. 8, 2009, p. 1385-1564




Editorial J. Braz. Chem. Soc. 2009, 20(8), 0

Indexation, internationalization and professionalization

Angelo C. Pinto

How to cite this article

 

https://dx.doi.org/10.1590/S0103-50532009000800001

Total access: 1669


Review J. Braz. Chem. Soc. 2009, 20(8), 1385-1398

State-of-the-Art in Immobilized Polymer Stationary Phases for High-Performance Liquid Chromatography

Anizio M. Faria; Carol H. Collins; Isabel C. S. F. Jardim

How to cite this article

 

https://dx.doi.org/10.1590/S0103-50532009000800002

Published online: August 31, 2009

 

Share PDF

Total access: 1129


Articles J. Braz. Chem. Soc. 2009, 20(8), 1399-1405

Study on the Interaction between Doxorubicin and Deoxyribonucleic Acid with the use of Methylene Blue as a Probe

Reza Hajian; Nafiseh Shams; Majid Mohagheghian

How to cite this article

 

https://dx.doi.org/10.1590/S0103-50532009000800003

Published online: July 31, 2009

 

Share PDF

Total access: 1382


J. Braz. Chem. Soc. 2009, 20(8), 1406-1413

Reference Concentrations for Trace Elements in Urine for the Brazilian Population based on q-ICP-MS with a Simple Dilute-and-Shoot Procedure

Bruno L. Batista; Jairo L. Rodrigues; Luciano Tormen; Adilson J. Curtius; Fernando Barbosa Jr

How to cite this article

 

https://dx.doi.org/10.1590/S0103-50532009000800004

Published online: July 31, 2009

 

Share PDF

Total access: 1181


J. Braz. Chem. Soc. 2009, 20(8), 1414-1424

Synthesis and Structural Characterization of Block and Random Low Molecular Weight Copolymers Composed of L-lactic Acid and Isosorbide Succinate Moieties

Romeu Casarano; Denise F. S. Petri; Michael Jaffe; Luiz H. Catalani

How to cite this article

 

https://dx.doi.org/10.1590/S0103-50532009000800005

Published online: August 7, 2009

 

Share PDF

Total access: 1060


J. Braz. Chem. Soc. 2009, 20(8), 1425-1433

Synthesis, Structural and Spectral Studies of Five- and Six-Coordinate Adducts of Organotin(IV) Halides Containing Dibenzylsulfoxide (dbso) as Ligand. The Crystal Structures of fac-[MeSnCl3(dbso)2] and trans-[Ph2SnCl2(dbso)2]

Gerimário F. de Sousa; José R. Sabino; Ivo Vencato; Carlos A. L. Filgueiras; José D. Ardisson

How to cite this article

 

https://dx.doi.org/10.1590/S0103-50532009000800006

Published online: August 12, 2009

 

Share PDF

Total access: 1155


J. Braz. Chem. Soc. 2009, 20(8), 1434-1440

The Asymmetric Total Synthesis of (+)- and (-)-Trypargine via Noyori Asymmetric Transfer Hydrogenation

Ronaldo A. Pilli; Manoel Trindade Rodrigues Jr

How to cite this article

 

https://dx.doi.org/10.1590/S0103-50532009000800007

Published online: August 12, 2009

 

Share PDF   Supplementary Information 

Total access: 2247


J. Braz. Chem. Soc. 2009, 20(8), 1441-1447

Different Coordination Modes for Disulfoxides towards Diorganotin(IV) Dichlorides. X-ray Crystal Structures of 1,2-cis-bis-(phenylsulfinyl)ethene (rac-,cis-cbpse) and Adducts [{Ph2SnCl2(meso-bpse)}n] and [{n-Bu2SnCl2(pdtd)}2]

Gerimário F. de Sousa; Javier Ellena; Valéria R. S. Malta; José D. Ardisson

How to cite this article

 

https://dx.doi.org/10.1590/S0103-50532009000800008

Published online: August 14, 2009

 

Share PDF

Total access: 1118


J. Braz. Chem. Soc. 2009, 20(8), 1448-1454

Lewis Acid Promoted Friedländer Condensation Reactions between Anthranilonitrile and Ketones for the Synthesis of Tacrine and its Analogues

Jessie S. da Costa; Diego S. Pisoni; Claudia B. da Silva; Cesar L. Petzhold; Dennis Russowsky; Marco A. Ceschi

How to cite this article

 

https://dx.doi.org/10.1590/S0103-50532009000800009

Published online: August 14, 2009

 

Share PDF   Supplementary Information 

Total access: 41450


J. Braz. Chem. Soc. 2009, 20(8), 1455-1459

Cytotoxic Lipidic α-amino Acids from the Zoanthid Protopalythoa variabilis from the Northeastern Coast of Brazil

Diego Veras Wilke; Paula Christine Jimenez; Claudia Pessoa; Manoel Odorico de Moraes; Renata Mendonça Araújo; Wildson Max Barbosa da Silva; Edilberto Rocha Silveira; Otília Deusdênia Loiola Pessoa; Raimundo Braz-Filho; Norberto Peporine Lopes; Letícia Veras Costa-Lotufo

How to cite this article

 

https://dx.doi.org/10.1590/S0103-50532009000800010

Published online: August 20, 2009

 

Share PDF   Supplementary Information 

Total access: 2289


J. Braz. Chem. Soc. 2009, 20(8), 1460-1466

Cadmium and Lead Cloud Point Preconcentration and Determination in Tobacco Samples by Thermospray Flame Furnace Atomic Absorption Spectrometry

Frank P. Andrade; Clésia C. Nascentes; Letícia M. Costa

How to cite this article

 

https://dx.doi.org/10.1590/S0103-50532009000800011

Published online: August 20, 2009

 

Share PDF

Total access: 1148


J. Braz. Chem. Soc. 2009, 20(8), 1467-1472

The UV/H2O2 - Photodegradation of Poly(ethyleneglycol) and Model Compounds

Laís C. Santos; Alessandra L. Poli; Carla C. S. Cavalheiro; Miguel G. Neumann

How to cite this article

 

https://dx.doi.org/10.1590/S0103-50532009000800012

Published online: August 20, 2009

 

Share PDF

Total access: 1132


J. Braz. Chem. Soc. 2009, 20(8), 1473-1477

Chemo-Enzymatic Epoxidation of Sunflower Oil Methyl Esters

Rosana de Cassia S. Schneider; Luciano R. S. Lara; Thiago B. Bitencourt; Maria da Graça Nascimento; Marta R. dos Santos Nunes

How to cite this article

 

https://dx.doi.org/10.1590/S0103-50532009000800013

Published online: August 20, 2009

 

Share PDF

Total access: 1077


J. Braz. Chem. Soc. 2009, 20(8), 1478-1482

Synthesis of α- and β-Lapachone Derivatives from Hetero Diels-Alder Trapping of Alkyl and Aryl o-Quinone Methides

Fernando de C. da Silva; Sabrina B. Ferreira; Carlos R. Kaiser; Angelo C. Pinto; Vitor F. Ferreira

How to cite this article

 

https://dx.doi.org/10.1590/S0103-50532009000800014

Published online: August 24, 2009

 

Share PDF   Supplementary Information 

Total access: 2386


J. Braz. Chem. Soc. 2009, 20(8), 1483-1492

Antioxidant Properties of Plant Extracts: an EPR and DFT Comparative Study of the Reaction with DPPH, TEMPOL and Spin Trap DMPO

Adevailton Bernardo dos Santos; Dulce Helena Siqueira Silva; Vanderlan da Silva Bolzani; Luciana Avila Santos; Tomé Mauro Schmidt; Oswaldo Baffa

How to cite this article

 

https://dx.doi.org/10.1590/S0103-50532009000800015

Published online: August 28, 2009

 

Share PDF

Total access: 1287


J. Braz. Chem. Soc. 2009, 20(8), 1493-1498

Extractive Resolution of Racemic Mandelic Acid through a Bulk Liquid Membrane Containing Binary Chiral Carrier

Ling Yang; Xiao Qing Chen; Fei Peng Jiao

How to cite this article

 

https://dx.doi.org/10.1590/S0103-50532009000800016

Published online: August 28, 2009

 

Share PDF

Total access: 1186


J. Braz. Chem. Soc. 2009, 20(8), 1499-1503

Electrical and Magnetic Properties of Quaternary Rare Earth Thiophosphate: K4Sm2[PS4]2[P2S6]

Víctor Manríquez; Antonio Galdámez; Andrea Cerda-Monje; Octavio Peña; Ricardo E. Avila

How to cite this article

 

https://dx.doi.org/10.1590/S0103-50532009000800017

Published online: August 28, 2009

 

Share PDF

Total access: 1188


J. Braz. Chem. Soc. 2009, 20(8), 1504-1514

Tri-n-butyltin Hydride-Mediated Radical Reactions of ortho-and meta-Iodobenzamides to Synthesize Benzomacrolactams. Surprising Formation of Biphenyl Compounds from meta-Regioisomers

Renata F. P. Faraco; Grazielli C. B. de Oliveira; Gleydson D. Pinto; Ana P. C. Rocha; Ricardo J. Alves; Rosemeire B. Alves; Patrícia V. Abdelnur; Marcos N. Eberlin; Maria A. F. Prado

How to cite this article

 

https://dx.doi.org/10.1590/S0103-50532009000800018

Published online: August 28, 2009

 

Share PDF

Total access: 1067


J. Braz. Chem. Soc. 2009, 20(8), 1515-1522

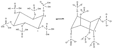
Equilibrium, Thermoanalytical and Spectroscopic Studies to Characterize Phytic Acid Complexes with Mn(II) and Co(II)

Ligia De Carli; Egon Schnitzler; Massao Ionashiro; Bruno Szpoganicz; Neiva Deliberali Rosso

How to cite this article

 

https://dx.doi.org/10.1590/S0103-50532009000800019

Published online: August 28, 2009

 

Share PDF

Total access: 1485


J. Braz. Chem. Soc. 2009, 20(8), 1523-1534

Electrosynthesis and Catalytic Activity of Polymer-Nickel Particles Composite Electrode Materials

Tahar Melki; Ahmed Zouaoui; Barkahoum Bendemagh; Ione M. F. de Oliveira; Gilver F. de Oliveira; Jean-Claude Leprêtre; Christophe Bucher; Jean-Claude Moutet

How to cite this article

 

https://dx.doi.org/10.1590/S0103-50532009000800020

Published online: August 28, 2009

 

Share PDF

Total access: 1164


J. Braz. Chem. Soc. 2009, 20(8), 1535-1540

Micelle-mediated Extraction and Determination of Tin in Soft Drink and Water Samples

Tayyebeh Madrakian; Fariba Ghazizadeh

How to cite this article

 

https://dx.doi.org/10.1590/S0103-50532009000800021

Published online: August 28, 2009

 

Share PDF

Total access: 1077


J. Braz. Chem. Soc. 2009, 20(8), 1541-1548

DIADORIM: a Monte Carlo Program for Liquid Simulations including Quantum Mechanics and Molecular Mechanics (QM/MM) Facilities: Applications to Liquid Ethanol

Luiz Carlos Gomide Freitas

How to cite this article

 

https://dx.doi.org/10.1590/S0103-50532009000800022

Published online: August 31, 2009

 

Share PDF   Supplementary Information 

Total access: 2353


J. Braz. Chem. Soc. 2009, 20(8), 1549-1555

Photochemical Dissolved Gaseous Mercury (DGM) Formation/Consumption in the Negro River Basin, Brazilian Amazon

Gilmar Silvério da Silva; Wilson F. Jardim; Pedro Sergio Fadini

How to cite this article

 

https://dx.doi.org/10.1590/S0103-50532009000800023

Published online: September 11, 2009

 

Share PDF

Total access: 1157


Short Reports J. Braz. Chem. Soc. 2009, 20(8), 1556-1560

In vitro effect of silver nanoparticles on creatine kinase activity

Marcos Marques da Silva Paula; Cláudio Sérgio da Costa; Mario César Baldin; Giselli Scaini; Gislaine Tezza Rezin; Karen Segala; Vanessa Moraes de Andrade; César Vitório Franco; Emilio Luiz Streck

How to cite this article

 

https://dx.doi.org/10.1590/S0103-50532009000800024

Published online: August 28, 2009

 

Share PDF

Total access: 1121


J. Braz. Chem. Soc. 2009, 20(8), 1561-1564

Wavelet-Based Determination of Cu and Pb in Water Samples using Potentiometric Stripping Analysis with a Lab-Made Potentiostat

Valdomiro L. Martins; Roberto K. Harrop Galvão; Mário César U. de Araújo; Edvaldo da Nóbrega Gaião

How to cite this article

 

https://dx.doi.org/10.1590/S0103-50532009000800025

Published online: August 28, 2009

 

Share PDF

Total access: 1092

Online version ISSN 1678-4790 Printed version ISSN 0103-5053
Journal of the Brazilian Chemical Society
JBCS Editorial and Publishing Office
University of Campinas - UNICAMP
13083-970 Campinas-SP, Brazil

Free access

GN1