JBCS

13:24, Sat Nov 29

Open Access/APCs

First slide
Second slide
Third slide
Third slide
Fifth slide
Sixth slide

vol. 20, No. 9, 2009, p. 1565-1757




Editorial J. Braz. Chem. Soc. 2009, 20(9), 0-0

Change to go toward the future

Angelo C. Pinto; Jailson Bittencourt de Andrade

How to cite this article

 

https://dx.doi.org/10.1590/S0103-50532009000900001

Total access: 1693


Articles J. Braz. Chem. Soc. 2009, 20(9), 1565-1573

Particle-Associated Polycyclic Aromatic Hydrocarbons and their Dry Deposition Fluxes from a Bus-Station in the Rio de Janeiro Metropolitan Area, Brazil

Mauro C. S. Machado; Josiane Loyola; Simone L. Quiterio; Gisele O. da Rocha; Jailson B. de Andrade; Graciela Arbilla

How to cite this article

 

https://dx.doi.org/10.1590/S0103-50532009000900002

Published online: August 31, 2009

 

Share PDF

Total access: 987


J. Braz. Chem. Soc. 2009, 20(9), 1574-1579

On-line Identification of Minor Flavones from Sugarcane Juice by LC/UV/MS and Post-Column Derivatization

Renata Colombo; Janete H. Yariwake; Emerson F. Queiroz; Karine Ndjoko; Kurt Hostettmann

How to cite this article

 

https://dx.doi.org/10.1590/S0103-50532009000900003

Published online: August 31, 2009

 

Share PDF   Supplementary Information 

Total access: 2261


J. Braz. Chem. Soc. 2009, 20(9), 1580-1588

Phosphorus and Nitrogen in Waters of the Ocoí River Sub-basin, Itaipu Reservoir Tributary

Gilmar S. da Silva; Gilberto S. da Silva; Eliane R. de Sousa; Cristiane Konrad; Carla C. Bem; Janaína Pauli; Adilson Pereira

How to cite this article

 

https://dx.doi.org/10.1590/S0103-50532009000900004

Published online: August 31, 2008

 

Share PDF

Total access: 2778


J. Braz. Chem. Soc. 2009, 20(9), 1589-1597

Evolutive Follow-up of the Photocatalytic Degradation of Real Textile Effluents in TiO2 and TiO2/H2O2 Systems and their Toxic Effects on Lactuca sativa Seedlings

Juliana C. Garcia; Juliana I. Simionato; Vitor de Cinque Almeida; Soraya M. Palácio; Fábio L. Rossi; Mariane V. Schneider; Nilson E. de Souza

How to cite this article

 

https://dx.doi.org/10.1590/S0103-50532009000900005

Published online: August 31, 2009

 

Share PDF

Total access: 1063


J. Braz. Chem. Soc. 2009, 20(9), 1598-1608

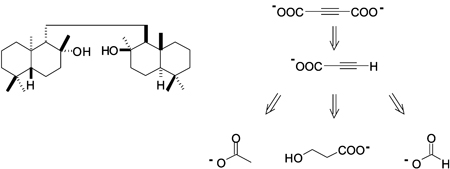
Chemical constituents of Aristolochia giberti

Alessandra M. Marchesini; Giovana G. Prado; Gisele B. Messiano; Marcos B. Machado; Lucia M. X. Lopes

How to cite this article

 

https://dx.doi.org/10.1590/S0103-50532009000900006

Published online: August 31, 2009

 

Share PDF   Supplementary Information 

Total access: 2556


J. Braz. Chem. Soc. 2009, 20(9), 1609-1616

Comparison of Diode Array and Electrochemical Detection in the C30 Reverse Phase HPLC Analysis of Algae Carotenoids

Thais Guaratini; Karina H. M. Cardozo; Ernani Pinto; Pio Colepicolo

How to cite this article

 

https://dx.doi.org/10.1590/S0103-50532009000900007

Published online: September 4, 2009

 

Share PDF

Total access: 1113


J. Braz. Chem. Soc. 2009, 20(9), 1617-1624

Can Factor Analysis be Applied to Spectra Taken in Binary Solvent Mixtures?

Thalyta S. Thurler; Raquel G. S. da Souza; Marcel Maeder; Sarah E. Norman; Ira M. Brinn

How to cite this article

 

https://dx.doi.org/10.1590/S0103-50532009000900008

Published online: September 4, 2009

 

Share PDF

Total access: 980


J. Braz. Chem. Soc. 2009, 20(9), 1625-1631

A Fragmentation Study of Di-Acidic Mycosporine-like Amino Acids in Electrospray and Nanospray Mass Spectrometry

Karina H. M. Cardozo; Ricardo Vessecchi; Sérgio E. Galembeck; Thais Guaratini; Paul J. Gates; Ernani Pinto; Norberto P. Lopes; Pio Colepicolo

How to cite this article

 

https://dx.doi.org/10.1590/S0103-50532009000900009

Published online: September 4, 2009

 

Share PDF

Total access: 1136


J. Braz. Chem. Soc. 2009, 20(9), 1632-1637

Influences of Heat Treatment on the Structure and Electrochemical Properties of Mg0.9Ti0.1Ni Hydrogen Storage Alloys

HongXia Huang; KeLong Huang; SuQin Liu; DongYang Chen; ShuXin Zhuang

How to cite this article

 

https://dx.doi.org/10.1590/S0103-50532009000900010

Published online: September 11, 2009

 

Share PDF

Total access: 975


J. Braz. Chem. Soc. 2009, 20(9), 1638-1645

Sparkle/PM3 for the Modeling of Europium(III), Gadolinium(III), and Terbium(III) Complexes

Ricardo O. Freire; Gerd B. Rocha; Alfredo M. Simas

How to cite this article

 

https://dx.doi.org/10.1590/S0103-50532009000900011

Published online: September 11, 2009

 

Share PDF   Supplementary Information 

Total access: 2640


J. Braz. Chem. Soc. 2009, 20(9), 1646-1652

Exploiting Iminoquinone Free Radical Production for Thiol Based Drugs Determination in Pharmaceutical Formulations

Manoel P. Chagas; Josué C. C. Santos; Eduardo B. G. N. Santos; Tiago D. Oliveira; Mauro Korn

How to cite this article

 

https://dx.doi.org/10.1590/S0103-50532009000900012

Published online: September 11, 2009

 

Share PDF

Total access: 999


J. Braz. Chem. Soc. 2009, 20(9), 1653-1658

Metallochlorophylls of Magnesium, Copper and Zinc: Evaluation of the Influence of the First Coordination Sphere on their Solvatochromism and Aggregation Properties

Leonardo M. Moreira; Adriana Lima; Rafael R. S. Soares; Vagner R. Batistela; Adriana P. Gerola; Noboru Hioka; Juliano A. Bonacin; Divinomar Severino; Mauricio S. Baptista; Antônio E. da Hora Machado; Máira R. Rodrigues; Lúcia Codognoto; Hueder P. M. de Oliveira

How to cite this article

 

https://dx.doi.org/10.1590/S0103-50532009000900013

Published online: September 11, 2009

 

Share PDF

Total access: 1068


J. Braz. Chem. Soc. 2009, 20(9), 1659-1666

Mercury Speciation in Urban Landfill Leachate by Cold Vapor Generation Atomic Absorption Spectrometry using Ion Exchange and Amalgamation

Éder L. M. Flores; José N. G. Paniz; Érico M. M. Flores; Dirce Pozebon; Valderi L. Dressler

How to cite this article

 

https://dx.doi.org/10.1590/S0103-50532009000900014

Published online: September 11, 2009

 

Share PDF

Total access: 987


J. Braz. Chem. Soc. 2009, 20(9), 1667-1673

Acid-Catalyzed Oligomerization of Glycerol Investigated by Electrospray Ionization Mass Spectrometry

Miguel A. Medeiros; Maria H. Araujo; Rodinei Augusti; Luiz C. A. de Oliveira; Rochel M. Lago

How to cite this article

 

https://dx.doi.org/10.1590/S0103-50532009000900015

Published online: September 11, 2009

 

Share PDF

Total access: 1032


J. Braz. Chem. Soc. 2009, 20(9), 1674-1679

An Efficient Catalyst-Free Protocol for the Synthesis of Quinoxaline Derivatives under Ultrasound Irradiation

Wen-Xue Guo; Hui-Le Jin; Jiu-Xi Chen; Fan Chen; Jin-Chang Ding; Hua-Yue Wu

How to cite this article

 

https://dx.doi.org/10.1590/S0103-50532009000900016

Published online: September 11, 2009

 

Share PDF   Supplementary Information 

Total access: 2275


J. Braz. Chem. Soc. 2009, 20(9), 1680-1686

Development and Validation of a Multivariate Calibration Model for Determination of Dipyrone in Oral Solutions by Near Infrared Spectroscopy

Marcus H. Ferreira; Jorge F. F. Gomes; Marcelo M. Sena

How to cite this article

 

https://dx.doi.org/10.1590/S0103-50532009000900017

Published online: September 18, 2009

 

Share PDF

Total access: 1073


J. Braz. Chem. Soc. 2009, 20(9), 1687-1697

Synthesis of Novel Kavain-like Derivatives and Evaluation of their Cytotoxic Activity

Patricia de A. Amaral; Julien Petrignet; Nicolas Gouault; Taciane Agustini; Françoise Lohézic-Ledévéhat; Alexandre Cariou; René Grée; Vera L. Eifler-Lima; Michèle David

How to cite this article

 

https://dx.doi.org/10.1590/S0103-50532009000900018

Published online: September 19, 2009

 

Share PDF

Total access: 1068


J. Braz. Chem. Soc. 2009, 20(9), 1698-1704

Electrochemical Behavior of Metribuzin on a Glassy Carbon Electrode in an Aqueous Medium including Quantitative Studies by Anodic Stripping Voltammetry

Augusto César de Andrade Lima; Emanuella Gomes da Silva; Marília Oliveira Fonseca Goulart; Josealdo Tonholo; Tiago Terto da Silva; Fabiane Caxico de Abreu

How to cite this article

 

https://dx.doi.org/10.1590/S0103-50532009000900019

Published online: September 18, 2009

 

Share PDF

Total access: 992


J. Braz. Chem. Soc. 2009, 20(9), 1705-1714

Dynamic Light Scattering and Viscosimetry of Aqueous Solutions of Pectin, Sodium Alginate and their Mixtures: Effects of Added Salt, Concentration, Counterions, Temperature and Chelating Agent

Aline M. F. Lima; Valdir Soldi; Redouane Borsali

How to cite this article

 

https://dx.doi.org/10.1590/S0103-50532009000900020

Published online: September 18, 2009

 

Share PDF

Total access: 1008


J. Braz. Chem. Soc. 2009, 20(9), 1715-1723

Potentiometric Acidity Determination in Humic Substances Influenced by Different Analytical Procedures

Andreia N. Fernandes; Cristiano Giacomelli; Marcelo Giovanela; Denise O. Vaz; Bruno Szpoganicz; Maria M. D. Sierra

How to cite this article

 

https://dx.doi.org/10.1590/S0103-50532009000900021

Published online: September 25, 2009

 

Share PDF

Total access: 987


J. Braz. Chem. Soc. 2009, 20(9), 1724-1731

Iron, Copper and Zinc in Substitute Foods for Maternal Milk: Comparison with Infant Nutritional Requirements

Milena L. Moraes; Márcia B. S. Feijó; Fabiana M. Melo; Reinaldo C. Campos; Rachel Ann Hauser- Davis

How to cite this article

 

https://dx.doi.org/10.1590/S0103-50532009000900022

Published online: September 25, 2009

 

Share PDF

Total access: 1060


J. Braz. Chem. Soc. 2009, 20(9), 1732-1737

Nanosized and Reusable SiO2/ZrO2 Catalyst for Highly Efficient Biodiesel Production by Soybean Transesterification

Elaine A. Faria; Jéssica S. Marques; Ingrid M. Dias; Rômulo D. A. Andrade; Paulo A. Z. Suarez; Alexandre G. S. Prado

How to cite this article

 

https://dx.doi.org/10.1590/S0103-50532009000900023

Published online: September 25, 2009

 

Share PDF

Total access: 1094


J. Braz. Chem. Soc. 2009, 20(9), 1738-1741

Two New Oleanane Saponins from Chiococca alba (L.) Hitch.

Ricardo M. Borges; Luzineide W. Tinoco; José D. de Souza Filho; Nancy dos Santos Barbi; Antonio Jorge R. da Silva

How to cite this article

 

https://dx.doi.org/10.1590/S0103-50532009000900024

Published online: September 25, 2009

 

Share PDF   Supplementary Information 

Total access: 2162


J. Braz. Chem. Soc. 2009, 20(9), 1742-1752

3-Arylisoxazolyl-5-Carboxylic Acid and 5-(Hydroxymethyl)-3-Aryl-2-Isoxazoline as Molecular Platforms for Liquid-Crystalline Materials

Aline Tavares; Paolo R. Livotto; Paulo F. B. Gonçalves; Aloir A. Merlo

How to cite this article

 

https://dx.doi.org/10.1590/S0103-50532009000900025

Published online: September 25, 2009

 

Share PDF   Supplementary Information 

Total access: 1965


Short Reports J. Braz. Chem. Soc. 2009, 20(9), 1753-1757

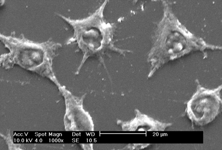
Adhesion of L929 Mouse Fibroblast Cells on Poly(Styrene)/Poly(Methyl Methacrylate) Films

Adriana de Melo; Ângela Cristina Bet; Jamil Assreuy; Nito Angelo Debacher; Valdir Soldi

How to cite this article

 

https://dx.doi.org/10.1590/S0103-50532009000900026

Published online: September 11, 2009

 

Share PDF

Total access: 993

Online version ISSN 1678-4790 Printed version ISSN 0103-5053
Journal of the Brazilian Chemical Society
JBCS Editorial and Publishing Office
University of Campinas - UNICAMP
13083-970 Campinas-SP, Brazil

Free access

GN1