JBCS

13:24, Sat Nov 29

Open Access/APCs

First slide
Second slide
Third slide
Third slide
Fifth slide
Sixth slide

vol. 20, No. 10, 2009, p. 1759-1944




Editorial J. Braz. Chem. Soc. 2009, 20(10), 0

Editorial

Maria D. Vargas

How to cite this article

 

https://dx.doi.org/10.1590/S0103-50531997000100001

Total access: 1733


Review J. Braz. Chem. Soc. 2009, 20(10), 1759-1781

Analytical Chemistry in Brazil: Healthy and Growing

Fábio R. P. Rocha; Edenir R. Pereira-Filho; Joaquim A. Nóbrega

How to cite this article

 

https://dx.doi.org/10.1590/S0103-50532009001000002

Published online: December 3, 2009

 

Share PDF

Total access: 1367


Articles J. Braz. Chem. Soc. 2009, 20(10), 1782-1789

Effects of Temperature and Chromium (III) Ion on the Structure of Bovine β-Lactoglobulin-A

Adeleh Divsalar; Ali Akbar Saboury; Faizan Ahmad; Ali Akbar Moosavi-Movahedi

How to cite this article

 

https://dx.doi.org/10.1590/S0103-50532009001000003

Published online: September 28, 2009

 

Share PDF

Total access: 1155


J. Braz. Chem. Soc. 2009, 20(10), 1790-1799

Stability Indicating Square-Wave Stripping Voltammetric Method for Determination of Gatifloxacin in Pharmaceutical Formulation and Human Blood

Hanaa Salah El-Desoky

How to cite this article

 

https://dx.doi.org/10.1590/S0103-50532009001000004

Published online: October 9, 2009

 

Share PDF

Total access: 1103


J. Braz. Chem. Soc. 2009, 20(10), 1800-1804

Development of a Flow through Photo-Reactor to Study Degradation of Organic Compounds by Sequential Injection Analysis (SIA)

Allan C. V. dos Santos; Jorge C. Masini

How to cite this article

 

https://dx.doi.org/10.1590/S0103-50532009001000005

Published online: October 9, 2009

 

Share PDF

Total access: 1051


J. Braz. Chem. Soc. 2009, 20(10), 1805-1810

Composition and Antimicrobial Activity of Essential Oils from Poiretia bahiana C. Müller (Papilionoideae-Leguminosae)

Floricéa M. Araújo; Maria das Graças V. M. Passos; Edeltrudes de O. Lima; Nídia F. Roque; Maria L. S. Guedes; Lourdes C. de Souza-Neta; Frederico Guaré Cruz; Dirceu Martins

How to cite this article

 

https://dx.doi.org/10.1590/S0103-50532009001000006

Published online: October 16, 2009

 

Share PDF   Supplementary Information 

Total access: 2097


J. Braz. Chem. Soc. 2009, 20(10), 1811-1820

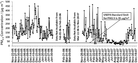
Particulate Matter (PM2.5) Concentration and Source Apportionment in Lahore

Arifa Lodhi; Badar Ghauri; M. Rafiq Khan; S. Rahman; Shoaib Shafique

How to cite this article

 

https://dx.doi.org/10.1590/S0103-50532009001000007

Published online: October 16, 2009

 

Share PDF

Total access: 1051


J. Braz. Chem. Soc. 2009, 20(10), 1821-1826

Cadmium Sulfide Photocatalysed Reduction of Malachite Green by Ascorbic Acid and EDTA as Reductants

Shilpa Kothari; Anil Kumar; Ritu Vyas; Rakshit Ameta; Pinki B. Punjabi

How to cite this article

 

https://dx.doi.org/10.1590/S0103-50532009001000008

Published online: October 16, 2009

 

Share PDF

Total access: 1049


J. Braz. Chem. Soc. 2009, 20(10), 1827-1832

Determination of L-aspartic Acid by using the Cu(II)-Catalyzed Oscillating Reaction

Jinzhang Gao; Dongyu Lv; Houtan Sun; Wu Yang

How to cite this article

 

https://dx.doi.org/10.1590/S0103-50532009001000009

Published online: October 23, 2009

 

Share PDF

Total access: 1069


J. Braz. Chem. Soc. 2009, 20(10), 1833-1840

Evaluation of Capillaries with Different Inner Coatings for DNA Analysis using Dilute Polymer Solutions by Capillary Electrophoresis

Patrícia de F. M. Eugênio; Emanuel Carrilho

How to cite this article

 

https://dx.doi.org/10.1590/S0103-50532009001000010

Published online: October 29, 2009

 

Share PDF

Total access: 1300


J. Braz. Chem. Soc. 2009, 20(10), 1841-1848

Study of the Copper Corrosion Mechanism in the Presence of Propionic Acid Vapors

Alejandro Echavarría; Felix Echeverría; Carlos Arroyave; Harveth Gil

How to cite this article

 

https://dx.doi.org/10.1590/S0103-50532009001000011

Published online: November 6, 2009

 

Share PDF

Total access: 1216


J. Braz. Chem. Soc. 2009, 20(10), 1849-1855

Solid Phase Microextraction - Gas Chromatography for the Evaluation of Secondary Lipid Oxidation Products in Chicken Patties during Long-Term Storage

Lilian R. B. Mariutti; Gislaine C. Nogueira; Neura Bragagnolo

How to cite this article

 

https://dx.doi.org/10.1590/S0103-50532009001000012

Published online: November 12, 2009

 

Share PDF

Total access: 1168


J. Braz. Chem. Soc. 2009, 20(10), 1856-1861

Bioactive Compounds from Several Tropical Fruits and Correlation by Multivariate Analysis to Free Radical Scavenger Activity

Gisela P.M. Barreto; Marta T. Benassi; Adriana Z. Mercadante

How to cite this article

 

https://dx.doi.org/10.1590/S0103-50532009001000013

Published online: November 12, 2009

 

Share PDF

Total access: 1184


J. Braz. Chem. Soc. 2009, 20(10), 1862-1869

A Sensitive Simultaneous Determination of Epinephrine and Tyrosine using an Iron(III) Doped Zeolite-Modified Carbon Paste Electrode

Ali Babaei; Somaieh Mirzakhani; Balal Khalilzadeh

How to cite this article

 

https://dx.doi.org/10.1590/S0103-50532009001000014

Published online: November 12, 2009

 

Share PDF

Total access: 1079


J. Braz. Chem. Soc. 2009, 20(10), 1870-1877

Synthesis and Antiretroviral Evaluation of Derivatives of Zidovudine

Mónica A. Raviolo; Juan S. Trinchero-Hernández; Gabriela Turk; Margarita C. Briñón

How to cite this article

 

https://dx.doi.org/10.1590/S0103-50532009001000015

Published online: November 12, 2009

 

Share PDF

Total access: 1063


J. Braz. Chem. Soc. 2009, 20(10), 1878-1886

Quantification of Selenium Species in Petroleum Refinery Wastewaters using Ion Chromatography Coupled to Post-Column Isotope Dilution Analysis ICP-MS

H. Laura Reyes; Silvia García-Ruiz; B. Gisele Tonietto; J. Marcus Godoy; J. Ignacio García Alonso; Alfredo Sanz-Medel

How to cite this article

 

https://dx.doi.org/10.1590/S0103-50532009001000016

Published online: November 19, 2009

 

Share PDF

Total access: 1097


J. Braz. Chem. Soc. 2009, 20(10), 1887-1894

Gunshot Residues: Screening Analysis by Laser-Induced Breakdown Spectroscopy

Maria José Silva; Juliana Cortez; Celio Pasquini; Ricardo S. Honorato; Ana Paula S. Paim, Maria Fernanda Pimentel

How to cite this article

 

https://dx.doi.org/10.1590/S0103-50532009001000017

Published online: November 12, 2009

 

Share PDF

Total access: 1119


J. Braz. Chem. Soc. 2009, 20(10), 1895-1900

A Green, Inexpensive and Efficient Organocatalyzed Procedure for Aqueous Aldol Condensations

M. Saeed Abaee; Mohammad M. Mojtahedi; Soudabeh Forghani; Nafiseh M. Ghandchi; Mehdi Forouzani; Roholah Sharifi; Behnam Chaharnazm

How to cite this article

 

https://dx.doi.org/10.1590/S0103-50532009001000018

Published online: November 12, 2009

 

Share PDF

Total access: 1234


J. Braz. Chem. Soc. 2009, 20(10), 1901-1907

Determination of Nitrofurazone in Topical Pharmaceutical Preparations: Comparison of the UV-Visible Diffuse Reflectance versus Transmittance versus HPLC Methods

Matthieu Tubino; Marta Maria D. C. Vila; Marcio N. Palumbo

How to cite this article

 

https://dx.doi.org/10.1590/S0103-50532009001000019

Published online: October 29, 2009

 

Share PDF

Total access: 1120


J. Braz. Chem. Soc. 2009, 20(10), 1908-1915

Encapsulation of Blackberry Anthocyanins by Thermal Gelation of Curdlan

Daniela S. Ferreira; Adelia F. Faria; Carlos R. F. Grosso; Adriana Z. Mercadante

How to cite this article

 

https://dx.doi.org/10.1590/S0103-50532009001000020

Published online: November 19, 2009

 

Share PDF

Total access: 1139


Short Reports J. Braz. Chem. Soc. 2009, 20(10), 1916-1920

Iodination of Phenols in Water using Easy to Handle Amine-Iodine Complexes

Lívia C. R. M. da Frota; Raquel C. P. Canavez; Sara L. da Silva Gomes; Paulo R. R. Costa; Alcides J. M. da Silva

How to cite this article

 

https://dx.doi.org/10.1590/S0103-50532009001000021

Published online: September 25, 2009

 

Share PDF

Total access: 1166


J. Braz. Chem. Soc. 2009, 20(10), 1921-1924

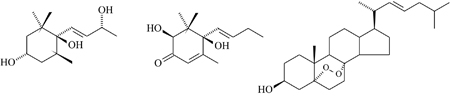
Megastimanes and Ergostane Type Steroid from Leaves Cratylia mollis (Leguminosae)

Luciano S. Lima; Marcos V. B. Lima; Juceni P. David; Ana M. Giulietti; Luciano P. de Queiroz; Jorge M. David

How to cite this article

 

https://dx.doi.org/10.1590/S0103-50532009001000022

Published online: September 28, 2009

 

Share PDF

Total access: 1061


J. Braz. Chem. Soc. 2009, 20(10), 1925-1930

A Microdigestion Procedure Directly Performed in the Autosampler Cups for the Determination of Trace Elements in Biological Samples by GF AAS

Reinaldo C. Campos; Sergio F. Jerez Vegueria; Rodrigo A. Gonçalves; Ângela L. R. Wagener

How to cite this article

 

https://dx.doi.org/10.1590/S0103-50532009001000023

Published online: October 29, 2009

 

Share PDF

Total access: 1006


J. Braz. Chem. Soc. 2009, 20(10), 1931-1938

New Optically Active and Thermally Stable Poly(amide-imide)s Containing N,N'-(Bicyclo[2,2,2]oct-7-ene-2,3,5,6-tetracarboxylic)-bis-L-Alanine and Aromatic Diamines: Synthesis and Characterization

Khalil Faghihi; Morteza Absalar; Mohsen Hajibeygi

How to cite this article

 

https://dx.doi.org/10.1590/S0103-50532009001000024

Published online: November 6, 2009

 

Share PDF

Total access: 1046


J. Braz. Chem. Soc. 2009, 20(10), 1939-1943

Synthesis of 12-Aryl or 12-Alkyl-8,9,10,12-tetrahydrobenzo[a]xanthen-11-one Derivatives Catalyzed by Dodecatungstophosphoric Acid

Hong-Juan Wang; Xiao-Qian Ren; Yan-Yan Zhang; Zhan-Hui Zhang

How to cite this article

 

https://dx.doi.org/10.1590/S0103-50532009001000025

Published online: November 12, 2009

 

Share PDF

Total access: 1463


Errata J. Braz. Chem. Soc. 2009, 20(10), 1944-1944

Amazonian Biodiversity: A View of Drug Development for Leishmaniasis and Malaria

Leonardo de Azevedo Calderon, Izaltina Silva-Jardim, Juliana Pavan Zuliani, Alexandre de Almeida e Silva, Pietro Ciancaglini, Luiz Hildebrando Pereira da Silva, Rodrigo Guerino Stábeli

How to cite this article

 

https://dx.doi.org/10.1590/S0103-50532009001000026

Share PDF

Total access: 1100

Online version ISSN 1678-4790 Printed version ISSN 0103-5053
Journal of the Brazilian Chemical Society
JBCS Editorial and Publishing Office
University of Campinas - UNICAMP
13083-970 Campinas-SP, Brazil

Free access

GN1