JBCS

14:36, Sat Nov 29

Open Access/APCs

First slide
Second slide
Third slide
Third slide
Fifth slide
Sixth slide

vol. 19, No. 3, 2008, p. 357-610




Editorial J. Braz. Chem. Soc. 2008, 19(3), 0

A Scientific and Technological Revolution for the Brazilian Amazon

Carlos A. Nobre

How to cite this article

 

https://dx.doi.org/10.1590/S0103-50532008000300001

Total access: 1508


Review J. Braz. Chem. Soc. 2008, 19(3), 357-379

Ionic Liquids: A Versatile Medium for Palladium-Catalyzed Reactions

Ram Singh; Mukul Sharma; Ritu Mamgain; Diwan S. Rawat

How to cite this article

 

https://dx.doi.org/10.1590/S0103-50532008000300002

Published online: March 28, 2008

 

Share PDF

Total access: 1142


Articles J. Braz. Chem. Soc. 2008, 19(3), 380-388

99Mo/99mTc Generators Performances Prepared from Zirconium Molybate Gels

Fabiola Monroy-Guzman; Laura Verónica Díaz-Archundia; Sabino Hernández-Cortés

How to cite this article

 

https://dx.doi.org/10.1590/S0103-50532008000300003

Published online: February 7, 2008

 

Share PDF

Total access: 1268


J. Braz. Chem. Soc. 2008, 19(3), 389-396

Validation of a Capillary Zone Electrophoresis Method for the Determination of Ciprofloxacin, Gatifloxacin, Moxifloxacin and Ofloxacin in Pharmaceutical Formulations

Adriana F. Faria; Marcus V. N. de Souza; Marcone A. L. de Oliveira

How to cite this article

 

https://dx.doi.org/10.1590/S0103-50532008000300004

Published online: February 7, 2008

 

Share PDF

Total access: 1166


J. Braz. Chem. Soc. 2008, 19(3), 397-404

Isolation and Characterization of Process Related Impurities in Anastrozole Active Pharmaceutical Ingredient

S. G. Hiriyanna; K. Basavaiah

How to cite this article

 

https://dx.doi.org/10.1590/S0103-50532008000300005

Published online: February 7, 2008

 

Share PDF

Total access: 1154


J. Braz. Chem. Soc. 2008, 19(3), 405-412

Simultaneous Determination of Captopril and Thioguanine in Pharmaceutical Compounds and Blood using Cathodic Adsorptive Stripping Voltammetry

Ali Asghar Ensafi; Reza Hajian

How to cite this article

 

https://dx.doi.org/10.1590/S0103-50532008000300006

Published online: February 7, 2008

 

Share PDF

Total access: 1148


J. Braz. Chem. Soc. 2008, 19(3), 413-417

Characterization by Electron Paramagnetic Resonance of Organic Matter in Whole Soil (Gleysoil) and Organic-Mineral Fractions

Sérgio Costa Saab; Ladislau Martin-Neto

How to cite this article

 

https://dx.doi.org/10.1590/S0103-50532008000300007

Published online: February 8, 2008

 

Share PDF

Total access: 1066


J. Braz. Chem. Soc. 2008, 19(3), 418-425

Acid and Enzymatic Hydrolysis of the Residue from Castor Bean (Ricinus communis L.) Oil Extraction for Ethanol Production: Detoxification and Biodiesel Process Integration

Walber C. Melo; Alexandre S. dos Santos; Lídia Maria M. Santa Anna; Nei Pereira Jr.

How to cite this article

 

https://dx.doi.org/10.1590/S0103-50532008000300008

Published online: February 8, 2008

 

Share PDF

Total access: 1188


J. Braz. Chem. Soc. 2008, 19(3), 426-433

Preparation, Cation-Anion Interactions and Physicochemical Properties of Ether-Functionalized Imidazolium Ionic Liquids

Henri S. Schrekker; Dagoberto O. Silva; Marcos A. Gelesky; Marcelo P. Stracke; Clarissa M. L. Schrekker; Reinaldo S. Gonçalves; Jairton Dupont

How to cite this article

 

https://dx.doi.org/10.1590/S0103-50532008000300009

Published online: February 20, 2008

 

Share PDF   Supplementary Information 

Total access: 4347


J. Braz. Chem. Soc. 2008, 19(3), 434-444

Application of Haar and Mexican Hat Wavelets to Double Divisor-Ratio Spectra for the Multicomponent Determination of Ascorbic Acid, Acetylsalicylic Acid and Paracetamol in Effervescent Tablets

Erdal Dinç; Dumitru Baleanu

How to cite this article

 

https://dx.doi.org/10.1590/S0103-50532008000300010

Published online: February 20, 2008

 

Share PDF

Total access: 1117


J. Braz. Chem. Soc. 2008, 19(3), 445-457

N-Acyl-3,3-difluoro-2-oxoindoles as Versatile Intermediates for the Preparation of Different 2,2-Difluorophenylacetic Derivatives

Núbia Boechat; Warner B. Kover; Mônica M. Bastos; Angelo C. Pinto; Lindalva C. Maciel; Lúcia M. U. Mayer; Filipe S. Q. da Silva; Paula M. Sá; Jorge S. Mendonça; Solange M. S. V. Wardell; Monique S. L. Arruda

How to cite this article

 

https://dx.doi.org/10.1590/S0103-50532008000300011

Published online: February 20, 2008

 

Share PDF

Total access: 1037


J. Braz. Chem. Soc. 2008, 19(3), 458-462

Novel Lipid Constituents Identified in Seeds of Nigella sativa (Linn)

B. K. Mehta; Manjul Verma; Meenal Gupta

How to cite this article

 

https://dx.doi.org/10.1590/S0103-50532008000300012

Published online: February 27, 2008

 

Share PDF

Total access: 1410


J. Braz. Chem. Soc. 2008, 19(3), 463-470

Lipid Fraction Quality Evaluation of Brazilian Meat-based Products

Sueli R. Baggio; Neura Bragagnolo

How to cite this article

 

https://dx.doi.org/10.1590/S0103-50532008000300013

Published online: February 27, 2008

 

Share PDF

Total access: 1037


J. Braz. Chem. Soc. 2008, 19(3), 471-477

Sequential Cloud Point Extraction of Trace Elements from Biological Samples and Determination by Inductively Coupled Plasma Mass Spectrometry

Maria Fernanda Giné; Aparecida F. Patreze; Edson L. Silva; Jorge E. S. Sarkis; Maurício H. Kakazu

How to cite this article

 

https://dx.doi.org/10.1590/S0103-50532008000300014

Published online: February 29, 2008

 

Share PDF

Total access: 1039


J. Braz. Chem. Soc. 2008, 19(3), 478-482

A New Eremophilane-type Sesquiterpene from the Phytopatogen Fungus Lasiodiplodia theobromae (Sphaeropsidaceae)

Fátima M. Nunes; Maria da Conceiçao F. de Oliveira; Angela M. C. Arriaga; Telma L. G. Lemos; Manoel Andrade-Neto; Marcos C. de Mattos; Jair Mafezoli; Francisco M. P. Viana; Viviane M. Ferreira; Edson Rodrigues-Filho; Antônio G. Ferreira

How to cite this article

 

https://dx.doi.org/10.1590/S0103-50532008000300015

Published online: February 29, 2008

 

Share PDF   Supplementary Information 

Total access: 1970


J. Braz. Chem. Soc. 2008, 19(3), 483-490

Study of C- and O-glycosylflavones in Sugarcane Extracts using Liquid Chromatography - Exact Mass Measurement Mass Spectrometry

Renata Colombo; Janete H. Yariwake; Michael McCullagh

How to cite this article

 

https://dx.doi.org/10.1590/S0103-50532008000300016

Published online: February 29, 2008

 

Share PDF   Supplementary Information 

Total access: 2109


J. Braz. Chem. Soc. 2008, 19(3), 491-501

Photodynamic Activity of Chloro(5,10,15,20-tetraphenylporphyrinato)indium(III)

André R. da Silva; Alessandra C. Pelegrino; Antonio C. Tedesco; Renato A. Jorge

How to cite this article

 

https://dx.doi.org/10.1590/S0103-50532008000300017

Published online: March 5, 2008

 

Share PDF

Total access: 1013


J. Braz. Chem. Soc. 2008, 19(3), 502-508

Honey Classification from Semi-Arid, Atlantic and Transitional Forest Zones in Bahia, Brazil

José Soares dos Santos; Núbia Soares dos Santos; Maria Lúcia Pires dos Santos; Sabrina Novaes dos Santos; Julian Júnio de Jesus Lacerda

How to cite this article

 

https://dx.doi.org/10.1590/S0103-50532008000300018

Published online: March 5, 2008

 

Share PDF

Total access: 1024


J. Braz. Chem. Soc. 2008, 19(3), 509-515

Derivatization of Enolic OH of Piroxicam: a Comparative Study on Esters and Sulfonates

J. Jayaselli; J. Manila Sagar Cheemala; Geetha Rani D. P.; Sarbani Pal

How to cite this article

 

https://dx.doi.org/10.1590/S0103-50532008000300019

Published online: March 5, 2008

 

Share PDF

Total access: 1001


J. Braz. Chem. Soc. 2008, 19(3), 516-527

Non-Aromatic Hydrocarbons in Recent Sediments of Sepetiba and Ilha Grande Bays, Brazil

Luis H. M. Figueiredo; Angela de L. R. Wagener; Jacques Dagaut; Alain Saliot

How to cite this article

 

https://dx.doi.org/10.1590/S0103-50532008000300020

Published online: March 7, 2008

 

Share PDF

Total access: 1219


J. Braz. Chem. Soc. 2008, 19(3), 528-531

Study of Endogenous Profile of hCG in Male Brazilian Athletes

Henrique M. G. Pereira; Sandra B. Ramos; Marco Aurélio Dal Sasso; Elisa S. C. Poças; Mônica C. Padilha; Luis Nelson F. Gomes; Francisco R. de Aquino Neto

How to cite this article

 

https://dx.doi.org/10.1590/S0103-50532008000300021

Published online: March 7, 2008

 

Share PDF

Total access: 1139


J. Braz. Chem. Soc. 2008, 19(3), 532-535

Flavonoids and Triterpenes from the Nest of the Stingless Bee Trigona spinipes

Marinalva O. Freitas; Flávio A. F. Ponte; Mary Anne S. Lima; Edilberto R. Silveira

How to cite this article

 

https://dx.doi.org/10.1590/S0103-50532008000300022

Published online: March 10, 2008

 

Share PDF   Supplementary Information 

Total access: 2336


J. Braz. Chem. Soc. 2008, 19(3), 536-542

A Comparative Study between Least-Squares Support Vector Machines and Partial Least Squares in Simultaneous Spectrophotometric Determination of Cypermethrin, Permethrin and Tetramethrin

Ali Niazi; Mohammad Goodarzi; Ateesa Yazdanipour

How to cite this article

 

https://dx.doi.org/10.1590/S0103-50532008000300023

Published online: March 13, 2008

 

Share PDF

Total access: 1077


J. Braz. Chem. Soc. 2008, 19(3), 543-548

Eugenol and its Synthetic Analogues Inhibit Cell Growth of Human Cancer Cells (Part I)

H. Carrasco A.; L. Espinoza C.; V. Cardile; C. Gallardo; W. Cardona; L. Lombardo; K. Catalán M.; M. Cuellar F.; A. Russo

How to cite this article

 

https://dx.doi.org/10.1590/S0103-50532008000300024

Published online: March 13, 2008

 

Share PDF   Supplementary Information 

Total access: 2129


J. Braz. Chem. Soc. 2008, 19(3), 549-556

Study of Silver Adsorption on Montmorillonite

Petr Praus; Martina Turicová; Marta Valásková

How to cite this article

 

https://dx.doi.org/10.1590/S0103-50532008000300025

Published online: March 14, 2008

 

Share PDF

Total access: 1026


J. Braz. Chem. Soc. 2008, 19(3), 557-562

Enantioseparation of Racemic α-Cyclohexyl-Mandelic Acid across Hollow Fiber Supported Liquid Membrane

Dushu Huang; Kelong Huang; Shiping Chen; Suqin Liu; Jingang Yu

How to cite this article

 

https://dx.doi.org/10.1590/S0103-50532008000300026

Published online: March 14, 2008

 

Share PDF

Total access: 990


J. Braz. Chem. Soc. 2008, 19(3), 563-568

Determination of Metoprolol, Acebutolol and Propranolol in Pharmaceutical Formulations using the Same SIA System

Marieta L. C. Passos; M. Lúcia M. F. S. Saraiva; José L. F. C. Lima; M. Graças A. Korn

How to cite this article

 

https://dx.doi.org/10.1590/S0103-50532008000300027

Published online: March 14, 2008

 

Share PDF

Total access: 1131


J. Braz. Chem. Soc. 2008, 19(3), 569-575

Mercury Accumulation in Sediments along an Eutrophication Gradient in Guanabara Bay, Southeast Brazil

Wilson Machado; Ricardo E. Santelli; Daniel D. Loureiro; Eliane P. Oliveira; Anderson C. Borges; Viviane K. Ma; Luiz D. Lacerda

How to cite this article

 

https://dx.doi.org/10.1590/S0103-50532008000300028

Published online: March 17, 2008

 

Share PDF

Total access: 1017


J. Braz. Chem. Soc. 2008, 19(3), 576-582

Influence of Dietary Vitamin E Supplementation on Fatty Acid Composition of the Biceps Femoris Muscle and Cooked Ham during Storage

V. L. F. Souza; R. S. S. F. Silva; N. Bragagnolo

How to cite this article

 

https://dx.doi.org/10.1590/S0103-50532008000300029

Published online: March 17, 2007

 

Share PDF

Total access: 1067


J. Braz. Chem. Soc. 2008, 19(3), 583-599

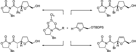
Stereoselective Addition of Chiral Titanium Enolates to 5-Substituted Five-Membered Oxocarbenium Ions

Ronaldo A. Pilli; Valéria B. Riatto

How to cite this article

 

https://dx.doi.org/10.1590/S0103-50532008000300030

Published online: March 19, 2008

 

Share PDF   Supplementary Information 

Total access: 2094


Short Reports J. Braz. Chem. Soc. 2008, 19(3), 600-603

Unusual Coordination of Tetraphenylborate to Silver(I): Synthesis and X-ray Crystal Structure of the Complex N,N'-bis[3-(2-nitrophenyl)allylidene]ethane-1,2-diamine(tetraphenylborato)silver(I)

Saeed Dehghanpour, Ali Mahmoudi and Ramin Hadjikhani

How to cite this article

 

https://dx.doi.org/10.1590/S0103-50532008000300031

Published online: February 7, 2008

 

Share PDF

Total access: 1077


J. Braz. Chem. Soc. 2008, 19(3), 604-610

Solubility Prediction of Solutes in Non-Aqueous Binary Solvent Mixtures

Abolghasem Jouyban; Maryam Khoubnasabjafari; Somaieh Soltani; Shahla Soltanpour; Elnaz Tamizi; William E. Acree Jr.

How to cite this article

 

https://dx.doi.org/10.1590/S0103-50532008000300032

Published online: February 29, 2008

 

Share PDF   Supplementary Information 

Total access: 3915

Online version ISSN 1678-4790 Printed version ISSN 0103-5053
Journal of the Brazilian Chemical Society
JBCS Editorial and Publishing Office
University of Campinas - UNICAMP
13083-970 Campinas-SP, Brazil

Free access

GN1