JBCS

13:59, Sat Nov 29

Open Access/APCs

First slide
Second slide
Third slide
Third slide
Fifth slide
Sixth slide

vol. 19, No. 5, 2008, p. 811-1058




Editorial J. Braz. Chem. Soc. 2008, 19(5), 0

The Post-Graduate Level, CAPES, and High School Science Teaching in Brazil

Angelo C. Pinto

How to cite this article

 

https://dx.doi.org/10.1590/S0103-50532008000500001

Total access: 1717


Communication J. Braz. Chem. Soc. 2008, 19(5), 811-812

A Concise Enantioselective Synthesis of (+)-endo-Brevicomin Accomplished by a Tellurium/Metal Exchange Reaction

Renan S. Ferrarini; Jefferson L. Princival; João V. Comasseto; Alcindo A. Dos Santos

How to cite this article

 

https://dx.doi.org/10.1590/S0103-50532008000500002

Published online: June 2, 2008

 

Share PDF

Total access: 1224


Review J. Braz. Chem. Soc. 2008, 19(5), 813-830

Catalytic Enantioselective Arylations: Boron to Zinc Exchange as a Powerful Tool for the Generation of Transferable Aryl Groups

Márcio W. Paixão; Antonio L. Braga; Diogo S. Lüdtke

How to cite this article

 

https://dx.doi.org/10.1590/S0103-50532008000500003

Published online: June 2, 2008

 

Share PDF

Total access: 1290


Articles J. Braz. Chem. Soc. 2008, 19(5), 831-835

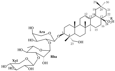
Hydroxylation of a Hederagenin Derived Saponin by a Xylareaceous Fungus Found in Fruits of Sapindus saponaria

Michael Murgu; Luiz F. Arruda Santos; Gezimar D. de Souza; Cristina Daolio; Bernd Schneider; Antônio Gilberto Ferreira; Edson Rodrigues-Filho

How to cite this article

 

https://dx.doi.org/10.1590/S0103-50532008000500004

Published online: March 25, 2008

 

Share PDF   Supplementary Information 

Total access: 2369


J. Braz. Chem. Soc. 2008, 19(5), 836-841

Determination of Paracetamol at a Graphite-Polyurethane Composite Electrode as an Amperometric Flow Detector

Priscila Cervini; Éder Tadeu Gomes Cavalheiro

How to cite this article

 

https://dx.doi.org/10.1590/S0103-50532008000500005

Published online: March 25, 2008

 

Share PDF

Total access: 1303


J. Braz. Chem. Soc. 2008, 19(5), 842-848

Infraspecific Variability in the Essential Oil Composition of Lychnophora ericoides

Cynthia C. G. V. Lyra; Roberto F. Vieira; Carolina B. A. de Oliveira; Suzana C. Santos; José C. Seraphin; Pedro H. Ferri

How to cite this article

 

https://dx.doi.org/10.1590/S0103-50532008000500006

Published online: March 31, 2008

 

Share PDF   Supplementary Information 

Total access: 2619


J. Braz. Chem. Soc. 2008, 19(5), 849-855

Characterization of Carbon Nanotubes-Gold Nanoparticles Composite Film Modified Electrode and Voltammetric Determination of Mefenamic Acid

Jingjing Yu; Jiangwen Li; Faqiong Zhao; Baizhao Zeng

How to cite this article

 

https://dx.doi.org/10.1590/S0103-50532008000500007

Published online: March 31, 2008

 

Share PDF

Total access: 1252


J. Braz. Chem. Soc. 2008, 19(5), 856-861

Determination of Na and K in Biodiesel by Flame Atomic Emission Spectrometry and Microemulsion Sample Preparation

Eduardo Sidinei Chaves; Tatiana Dillenburg Saint' Pierre; Eder José dos Santos; Luciano Tormen; Vera Lúcia Azzolin Frescura Bascuñan; Adilson José Curtius

How to cite this article

 

https://dx.doi.org/10.1590/S0103-50532008000500008

Published online: March 31, 2008

 

Share PDF

Total access: 1292


J. Braz. Chem. Soc. 2008, 19(5), 862-871

Zeolite Activation of Organometallics: Revisiting Substitution Kinetics of [Mo(CO)6] with Chemisorbed PMe3 in Dehydrated Na56Y Zeolite

Anthony L. Fernandez; Jianbin Hao; Roberta L. Parkes; Anthony J. Poë; Eduardo J. S. Vichi

How to cite this article

 

https://dx.doi.org/10.1590/S0103-50532008000500009

Published online: April 15, 2008

 

Share PDF   Supplementary Information 

Total access: 2072


J. Braz. Chem. Soc. 2008, 19(5), 872-876

Photoluminescence, Photoabsorption and Photoemission Studies of Hydrazone Thin Film used as Hole Transporting Material in OLEDs

W. G. Quirino; C. Legnani; M. Cremona; R. Reyes; G. V. Mota; D. E. Weibel; M. L. M. Rocco

How to cite this article

 

https://dx.doi.org/10.1590/S0103-50532008000500010

Published online: April 18, 2008

 

Share PDF

Total access: 1121


J. Braz. Chem. Soc. 2008, 19(5), 877-883

Indium(III)-Catalyzed Synthesis of N-Substituted Pyrroles under Solvent-Free Conditions

Jiu-Xi Chen; Miao-Chang Liu; Xiao-Liang Yang; Jin-Chang Ding; Hua-Yue Wu

How to cite this article

 

https://dx.doi.org/10.1590/S0103-50532008000500011

Published online: April 18, 2008

 

Share PDF   Supplementary Information 

Total access: 2282


J. Braz. Chem. Soc. 2008, 19(5), 884-893

Structural and Energetic Analysis of Copper Clusters: MD Study of Cun (n = 2-45)

Mustafa Böyükata; Jadson C. Belchior

How to cite this article

 

https://dx.doi.org/10.1590/S0103-50532008000500012

Published online: April 18, 2008

 

Share PDF

Total access: 1173


J. Braz. Chem. Soc. 2008, 19(5), 894-902

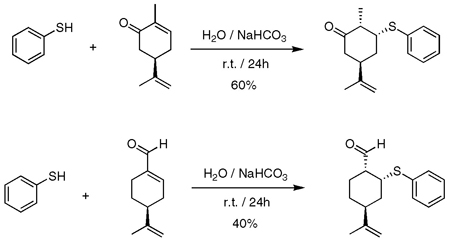
Michael Additions of Thiocompounds to α,β-Unsaturated Carbonyl Compounds in Aqueous Media: Stereoselectivity with Unambiguous Characterization by NMR

Queli Aparecida Rodrigues de Almeida; Maria Luiza de Oliveira Pereira; Ricardo Bezerra Coelho; Erika Martins de Carvalho; Carlos Roland Kaiser; Joel Jones Junior; Flavia Martins da Silva

How to cite this article

 

https://dx.doi.org/10.1590/S0103-50532008000500013

Published online: April 18, 2008

 

Share PDF   Supplementary Information 

Total access: 2260


J. Braz. Chem. Soc. 2008, 19(5), 903-908

HPLC Microfractionation of Flavones and Antioxidant (Radical Scavenging) Activity of Saccharum officinarum L.

Fabiana C. Vila; Renata Colombo; Tatiana O. de Lira; Janete H. Yariwake

How to cite this article

 

https://dx.doi.org/10.1590/S0103-50532008000500014

Published online: April 18, 2008

 

Share PDF

Total access: 1255


J. Braz. Chem. Soc. 2008, 19(5), 909-913

The Use of Benzil to Obtain Functionalized N-Heterocycles

Mara E. F. Braibante; Hugo T. S. Braibante; Marciana P. Uliana; Carla C. Costa; Marcelo Spenazzatto

How to cite this article

 

https://dx.doi.org/10.1590/S0103-50532008000500015

Published online: April 23, 2008

 

Share PDF

Total access: 1217


J. Braz. Chem. Soc. 2008, 19(5), 914-921

Effect of Preparation Conditions on Morphology, Drug Content and Release Profiles of Poly(hydroxybutyrate) Microparticles Containing Piroxicam

G. C. Bazzo; E. Lemos-Senna; M. C. Gonçalves; A. T. N. Pires

How to cite this article

 

https://dx.doi.org/10.1590/S0103-50532008000500016

Published online: April 23, 2008

 

Share PDF

Total access: 1535


J. Braz. Chem. Soc. 2008, 19(5), 922-928

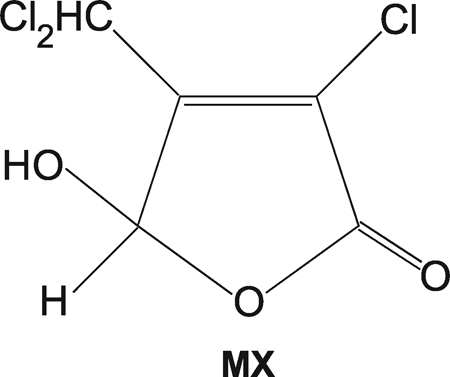
Solid-Phase Microextraction for Determination of 3-Chloro-4-(dichloromethyl)-5-hydroxy-2[5H]-furanone in Water

Andrea L. Rezemini; Jorge M. Vaz; Lilian R. F. Carvalho

How to cite this article

 

https://dx.doi.org/10.1590/S0103-50532008000500017

Published online: April 29, 2008

 

Share PDF

Total access: 1157


J. Braz. Chem. Soc. 2008, 19(5), 929-934

A Novel Approach to Cold Vapor Generation for the Determination of Mercury in Biological Samples

Eder José dos Santos; Amanda Beatriz Herrmann; Vera Lúcia Azzolin Frescura; Ralph Edward Sturgeon; Adilson José Curtius

How to cite this article

 

https://dx.doi.org/10.1590/S0103-50532008000500018

Published online: April 25, 2008

 

Share PDF

Total access: 1208


J. Braz. Chem. Soc. 2008, 19(5), 935-942

Mineral Composition of Wheat Flour Consumed in Brazilian Cities

Rennan G. O. Araujo; Samuel M. Macedo; Maria das Graças A. Korn; Maria Fernanda Pimentel; Roy E. Bruns; Sergio L. C. Ferreira

How to cite this article

 

https://dx.doi.org/10.1590/S0103-50532008000500019

Published online: April 25, 2008

 

Share PDF

Total access: 1113


J. Braz. Chem. Soc. 2008, 19(5), 943-949

Methylene Blue Immobilized on Cellulose Acetate with Titanium Dioxide: an Application as Sensor for Ascorbic Acid

Andrea A. Hoffmann; Silvio L. P. Dias; Jordana R. Rodrigues; Flavio A. Pavan; Edilson V. Benvenutti; Eder C. Lima

How to cite this article

 

https://dx.doi.org/10.1590/S0103-50532008000500020

Published online: April 25, 2008

 

Share PDF

Total access: 1156


J. Braz. Chem. Soc. 2008, 19(5), 950-955

Chloroform Formation by Chlorination of Aqueous Algae Suspensions: Online Monitoring via Membrane Introduction Mass Spectrometry

João T. Borges; Regina Sparrapan; José R. Guimarães; Marcos N. Eberlin; Rodinei Augusti

How to cite this article

 

https://dx.doi.org/10.1590/S0103-50532008000500021

Published online: May 5, 2008

 

Share PDF

Total access: 1162


J. Braz. Chem. Soc. 2008, 19(5), 956-962

Stripping Voltammetric Determination of Copper (II) on an Overoxidized Polypyrrole Functionalized with Nitroso-R

Alireza Mohadesi; Ashraf Salmanipour; Sayed Ziae Mohammadi; Ali Pourhatami; Mohammad Ali Taher

How to cite this article

 

https://dx.doi.org/10.1590/S0103-50532008000500022

Published online: May 9, 2008

 

Share PDF

Total access: 1164


J. Braz. Chem. Soc. 2008, 19(5), 963-970

Synthesis, Characterization and Biological Activity of 2-Methyl-3-aminoquinazolin-4(3H)-ones Schiff Bases

S. K. Sahu; Md. Afzal Azam; M. Banerjee; S. Acharrya; C. C. Behera; S. Si

How to cite this article

 

https://dx.doi.org/10.1590/S0103-50532008000500023

Published online: May 9, 2008

 

Share PDF

Total access: 1117


J. Braz. Chem. Soc. 2008, 19(5), 971-977

A Validated Method to Quantify Folic Acid in Wheat Flour Samples using Liquid Chromatography - Tandem Mass Spectrometry

Helio A. Martins-Júnior; Alexandre Y. Wang; Janete Alabourda; Maria A. F. Pires; Oscar B. Vega; Daniel T. Lebre

How to cite this article

 

https://dx.doi.org/10.1590/S0103-50532008000500024

Published online: May 29, 2008

 

Share PDF

Total access: 1301


J. Braz. Chem. Soc. 2008, 19(5), 978-986

Trace Element Distributions in Biodegraded Crude Oils and Fractions from the Potiguar Basin, Brazil

Christiane Duyck; Norbert Miekeley; Teresa C. O. Fonseca; Peter Szatmari; Eugênio Vaz dos Santos Neto

How to cite this article

 

https://dx.doi.org/10.1590/S0103-50532008000500025

Published online: May 29, 2008

 

Share PDF

Total access: 3623


J. Braz. Chem. Soc. 2008, 19(5), 987-995

Study of the Degradation of the Herbicide Clomazone in Distilled and in Irrigated Rice Field Waters using HPLC-DAD and GC-MS

Renato Zanella; Ednei G. Primel; Fábio F. Gonçalves; Manoel L. Martins; Martha B. Adaime; Enio Marchesan; Sérgio L. O. Machado

How to cite this article

 

https://dx.doi.org/10.1590/S0103-50532008000500026

Published online: May 30, 2008

 

Share PDF

Total access: 1385


J. Braz. Chem. Soc. 2008, 19(5), 996-1009

Copper Adsorption as a Function of Solution Parameters of Variable Charge Soils

Ernesto R. Mouta; Marcio R. Soares; José C. Casagrande

How to cite this article

 

https://dx.doi.org/10.1590/S0103-50532008000500027

Published online: May 30, 2008

 

Share PDF

Total access: 1218


J. Braz. Chem. Soc. 2008, 19(5), 1010-1016

Electrochemical Study of β-Cyclodextrin Binding with Ferrocene Tethered onto a Gold Surface via PAMAM Dendrimers

E. Bustos; J. Manríquez; E. Juaristi; Thomas W. Chapman; Luis A. Godínez

How to cite this article

 

https://dx.doi.org/10.1590/S0103-50532008000500028

Published online: May 30, 2008

 

Share PDF

Total access: 1146


J. Braz. Chem. Soc. 2008, 19(5), 1017-1022

Electrochemistry of Deferiprone as an Orally Active Iron Chelator and HIV-1 Replication Inhibitor and its Determination

H. Yadegari; A. Jabbari; H. Heli; A. A. Moosavi-Movahedi; S. Majdi

How to cite this article

 

https://dx.doi.org/10.1590/S0103-50532008000500029

Published online: June 5, 2008

 

Share PDF

Total access: 1143


J. Braz. Chem. Soc. 2008, 19(5), 1023-1032

Liquid Phase Photooxidation of Toluene in the Presence of Transition Metal Oxide Doped Titania

S. Riyas; G. Krishnan; P. N. Mohan Das

How to cite this article

 

https://dx.doi.org/10.1590/S0103-50532008000500030

Published online: June 9, 2008

 

Share PDF

Total access: 1207


J. Braz. Chem. Soc. 2008, 19(5), 1033-1040

Theoretical Study of α-CD Based [3]Pseudorotaxanes: the Role Played by Threadlike Polymer on the Stability of Cyclodextrin Dimers

Cleber P. A. Anconi; Clebio S. Nascimento Jr.; Wagner B. De Almeida; Hélio F. Dos Santos

How to cite this article

 

https://dx.doi.org/10.1590/S0103-50532008000500031

Published online: June 13, 2008

 

Share PDF

Total access: 1213


J. Braz. Chem. Soc. 2008, 19(5), 1041-1047

Isolation and Quantification of Dialkylmercury Species by Headspace Solid Phase Microextraction and Gas Chromatography with Atomic Emission Detection

Ana M. Oliveira; Gilmare A. Silva; Ronei J. Poppi; Fabio Augusto

How to cite this article

 

https://dx.doi.org/10.1590/S0103-50532008000500032

Published online: June 13, 2008

 

Share PDF

Total access: 1130


Short Reports J. Braz. Chem. Soc. 2008, 19(5), 1048-1052

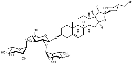
Steroidal Glycoalkaloids and Molluscicidal Activity of Solanum asperum Rich. Fruits

Tania M. S. Silva; Celso A. Camara; Kristerson R. L. Freire; Thiago G. da Silva; Maria de F. Agra; Jnanabrata Bhattacharyya

How to cite this article

 

https://dx.doi.org/10.1590/S0103-50532008000500033

Published online: April 29, 2008

 

Share PDF   Supplementary Information 

Total access: 2138


J. Braz. Chem. Soc. 2008, 19(5), 1053-1058

Ferric Hydrogensulfate Catalyzed Synthesis of Aryl 14H-Dibenzo[a,j]xanthene Derivatives under Thermal and Solvent-Free Conditions

Hamid Reza Shaterian; Majid Ghashang

How to cite this article

 

https://dx.doi.org/10.1590/S0103-50532008000500034

Published online: June 5, 2008

 

Share PDF   Supplementary Information 

Total access: 2183

Online version ISSN 1678-4790 Printed version ISSN 0103-5053
Journal of the Brazilian Chemical Society
JBCS Editorial and Publishing Office
University of Campinas - UNICAMP
13083-970 Campinas-SP, Brazil

Free access

GN1