JBCS

13:25, Sat Nov 29

Open Access/APCs

First slide
Second slide
Third slide
Third slide
Fifth slide
Sixth slide

vol. 19, No. 6, 2008, p. 1059-1238




Editorial J. Braz. Chem. Soc. 2008, 19(6), 0

Peer and non-peer evaluation

Jailson B. de Andrade

How to cite this article

 

https://dx.doi.org/10.1590/S0103-50532008000600001

Total access: 1462


Articles J. Braz. Chem. Soc. 2008, 19(6), 1059-1064

Fabrication and Photoluminiscent Properties of Titanium Oxide Nanotube Arrays

Dong Fang; Kelong Huang; Shuqin Liu; Jianhan Huang

How to cite this article

 

https://dx.doi.org/10.1590/S0103-50532008000600002

Published online: June 16, 2008

 

Share PDF

Total access: 1227


J. Braz. Chem. Soc. 2008, 19(6), 1065-1072

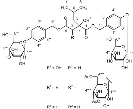
Synthesis and Antimicrobial Activity of Amphiphilic Carbohydrate Derivatives

Roberta C. N. Reis; Simone C. Oda; Mauro V. De Almeida; Maria C. S. Lourenço; Felipe R. C. Vicente; Nadia R. Barbosa; Rafael Trevizani; Priscila L. C. Santos; Mireille Le Hyaric

How to cite this article

 

https://dx.doi.org/10.1590/S0103-50532008000600003

Published online: June 23, 2008

 

Share PDF

Total access: 1107


J. Braz. Chem. Soc. 2008, 19(6), 1073-1077

16,17-Seco- and 2,3:16,17-di-Seco-pregnanes from Guarea guidonia

Walmir Silva Garcez; Fernanda Rodrigues Garcez; Luzinátia Ramos Soares

How to cite this article

 

https://dx.doi.org/10.1590/S0103-50532008000600004

Published online: July 8, 2008

 

Share PDF   Supplementary Information 

Total access: 2080


J. Braz. Chem. Soc. 2008, 19(6), 1078-1083

Improvement of Electrochemical Performance of LiMn2O4 Composite Cathode by ox-MWCNT addition for Li-ion Battery

Su-qin Liu; Jian-feng Zhang; Ke-long Huang; Jin-gang Yu

How to cite this article

 

https://dx.doi.org/10.1590/S0103-50532008000600005

Published online: July 11, 2008

 

Share PDF

Total access: 1109


J. Braz. Chem. Soc. 2008, 19(6), 1084-1097

Analysis of Polynuclear Aromatic Hydrocarbons by SPME-GC-FID in Environmental and Tap Waters

Emanuel Coelho; Célia Ferreira; Cristina M. M. Almeida

How to cite this article

 

https://dx.doi.org/10.1590/S0103-50532008000600006

Published online: July 11, 2008

 

Share PDF

Total access: 1174


J. Braz. Chem. Soc. 2008, 19(6), 1098-1104

Chemical Constituents of Habenaria petalodes Lindl. (Orchidaceae)

Betania B. Cota; Alviclér Magalhães; Adriano M. C. Pimenta; Ezequias P. Siqueira; Tânia M. A. Alves; Carlos L. Zani

How to cite this article

 

https://dx.doi.org/10.1590/S0103-50532008000600007

Published online: July 11, 2008

 

Share PDF   Supplementary Information 

Total access: 2274


J. Braz. Chem. Soc. 2008, 19(6), 1105-1110

The Iodide-Catalyzed Decomposition of Hydrogen Peroxide: Mechanistic Details of an Old Reaction as Revealed by Electrospray Ionization Mass Spectrometry Monitoring

Ilza Dalmázio; Flávia C. C. Moura; Maria H. Araújo; Tânia M. A. Alves; Rochel M. Lago; Guilherme F. de Lima; Hélio A. Duarte; Rodinei Augusti

How to cite this article

 

https://dx.doi.org/10.1590/S0103-50532008000600008

Published online: July 11, 2008

 

Share PDF

Total access: 1059


J. Braz. Chem. Soc. 2008, 19(6), 1111-1117

Determination of Pesticides Multiresidues in Shallow Groundwater in a Cotton-growing Region of Mato Grosso, Brazil

Carbo Leandro; Valéria Souza; Eliana F. G. C. Dores; Maria L. Ribeiro

How to cite this article

 

https://dx.doi.org/10.1590/S0103-50532008000600009

Published online: July 11, 2008

 

Share PDF

Total access: 1211


J. Braz. Chem. Soc. 2008, 19(6), 1118-1124

Synthesis, Screening for Antiacetylcholinesterase Activity and Binding Mode Prediction of a New Series of [3-(Disubstituted-phosphate)-4,4,4-trifluoro-butyl]-Carbamic Acid Ethyl Esters

Nilo Zanatta; Deise M. Borchhardt; Adriana D. Carpes; Tiago M. Marchi; Adriano D. Andricopulo; Lívia B. Salum; Maria R. C. Schetinger; Helio G. Bonacorso; Marcos A. P. Martins; Alex F. C. Flores

How to cite this article

 

https://dx.doi.org/10.1590/S0103-50532008000600010

Published online: July 11, 2008

 

Share PDF

Total access: 1054


J. Braz. Chem. Soc. 2008, 19(6), 1125-1128

An Alternative and Convenient Synthesis of Oct-7-enal, a Naturally-Occurring Aldehyde Isolated from the Japanese Thistle Cirsium Dipsacolepis

Andrea B. J. Bracca; Teodoro S. Kaufman

How to cite this article

 

https://dx.doi.org/10.1590/S0103-50532008000600011

Published online: July 14, 2008

 

Share PDF

Total access: 1034


J. Braz. Chem. Soc. 2008, 19(6), 1129-1135

A Gas Chromatographic Method for the Determination of the Fungicide Chlorothalonil in Tomatoes and Cucumbers and its Application to Dissipation Studies in Experimental Greenhouses

Márcia H. S. Kurz; Fábio F. Gonçalves; Martha B. Adaime; Ivan F. D. da Costa; Ednei G. Primel; Renato Zanella

How to cite this article

 

https://dx.doi.org/10.1590/S0103-50532008000600012

Published online: July 14, 2008

 

Share PDF

Total access: 1018


J. Braz. Chem. Soc. 2008, 19(6), 1136-1143

Molecularly Imprinted Sol-Gel Silica for Solid Phase Extraction of Phenobarbital

Eduardo J. Pilau; Raquel G. C. Silva; Isabel C. F. S. Jardim; Fabio Augusto

How to cite this article

 

https://dx.doi.org/10.1590/S0103-50532008000600013

Published online: July 18, 2008

 

Share PDF

Total access: 1000


J. Braz. Chem. Soc. 2008, 19(6), 1144-1152

Study of the Electrochemical Reduction of Amoebicide Teclozan and its Amperometric Determination in Pharmaceutical Formulations

André L. Santos; Regina M. Takeuchi; Nelson R. Stradiotto; Ana Paula Esteves; Maria José Medeiros

How to cite this article

 

https://dx.doi.org/10.1590/S0103-50532008000600014

Published online: July 18, 2008

 

Share PDF

Total access: 1127


J. Braz. Chem. Soc. 2008, 19(6), 1153-1157

Chemical Characterization of BiFeO3 Obtained by Pechini Method

Elídia A. Vetter Ferri; Ivair A. Santos; Eduardo Radovanovic; Rafaelle Bonzanini; Emerson Marcelo Girotto

How to cite this article

 

https://dx.doi.org/10.1590/S0103-50532008000600015

Published online: July 23, 2008

 

Share PDF

Total access: 1244


J. Braz. Chem. Soc. 2008, 19(6), 1158-1164

Development and Validation of a HPLC Method for the Determination of Aldicarb, Aldicarb Sulfoxide and Aldicarb Sulfone in Liquid Samples from Anaerobic Reactors

Leonardo H. S. Damasceno; M. Angela T. Adorno; Julia S. Hirasawa; M. Bernadete A. Varesche; Marcelo Zaiat

How to cite this article

 

https://dx.doi.org/10.1590/S0103-50532008000600016

Published online: July 23, 2008

 

Share PDF

Total access: 1030


J. Braz. Chem. Soc. 2008, 19(6), 1165-1170

Evaluation of a Simple Hyphenated System for Flow Injection Solid-Phase pre-Concentration and Capillary Electrophoresis

Nilson A. Assunção; Carlos E. S. Miranda; Fernando M. Lanças; Maria Fernanda G. G. Rosias; Emanuel Carrilho

How to cite this article

 

https://dx.doi.org/10.1590/S0103-50532008000600017

Published online: July 23, 2008

 

Share PDF

Total access: 1020


J. Braz. Chem. Soc. 2008, 19(6), 1171-1179

Development of Sequential Injection Methodologies for the Spectrophotometric Direct and Kinetic Determination of Aluminium in Natural and Waste Waters

Raquel B. R. Mesquita; António O. S. S. Rangel

How to cite this article

 

https://dx.doi.org/10.1590/S0103-50532008000600018

Published online: July 23, 2008

 

Share PDF

Total access: 1053


J. Braz. Chem. Soc. 2008, 19(6), 1180-1185

Chemiluminescence Determination of Mezlocillin by the Luminol-Potassium Periodate System

Wen Bing Shi; Ji Dong Yang

How to cite this article

 

https://dx.doi.org/10.1590/S0103-50532008000600019

Published online: July 25, 2008

 

Share PDF

Total access: 1016


J. Braz. Chem. Soc. 2008, 19(6), 1186-1192

The Ti-Influence on the Tourmaline Color

Warde A. da Fonseca-Zang; Joachim W. Zang; Wolfgang Hofmeister

How to cite this article

 

https://dx.doi.org/10.1590/S0103-50532008000600020

Published online: July 25, 2008

 

Share PDF

Total access: 1066


J. Braz. Chem. Soc. 2008, 19(6), 1193-1200

In Vitro Cultivated Uncaria tomentosa and Uncaria guianensis with Determination of the Pentacyclic Oxindole Alkaloid Contents and Profiles

Rita de C. A. Pereira; Ligia M. M. Valente; José E. B. P. Pinto; Suzan K. V. Bertolucci; Giselle M. Bezerra; Flaviane F. Alves; Priscila F. P. dos Santos; Paulo J. C. Benevides; Antônio C. Siani; Sandra L. Rosario; José L. Mazzei; Luiz A. d'Avila; Luiz N. F. Gomes; Francisco R. de Aquino-Neto; Isabel C. M. Emmerick; Sergio F. Carvalhaes

How to cite this article

 

https://dx.doi.org/10.1590/S0103-50532008000600021

Published online: July 25, 2008

 

Share PDF

Total access: 1194


J. Braz. Chem. Soc. 2008, 19(6), 1201-1206

Headspace Solid-Phase Microextraction Procedure for Gas-Chromatography Analysis of Toluene in Urine

Diego C. Netto; Rafael M. Reis; Camila B. Mendes; Paulo C. F. L. Gomes; Isarita Martins; Maria Elisa P. B. Siqueira

How to cite this article

 

https://dx.doi.org/10.1590/S0103-50532008000600022

Published online: July 25, 2008

 

Share PDF

Total access: 1227


J. Braz. Chem. Soc. 2008, 19(6), 1207-1214

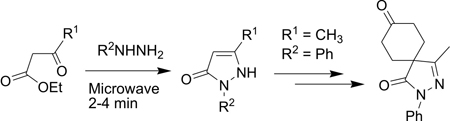
High Speed Synthesis of Pyrazolones using Microwave-Assisted Neat Reaction Technology

Sarbani Pal; Jyoti Mareddy; Nalla Suneetha Devi

How to cite this article

 

https://dx.doi.org/10.1590/S0103-50532008000600023

Published online: July 30, 2008

 

Share PDF

Total access: 1084


J. Braz. Chem. Soc. 2008, 19(6), 1215-1223

Determination of Catechin in Green Tea using a Catechol Oxidase Biomimetic Sensor

Suellen C. Fernandes; Renata El-Hage M. de Barros Osório; Ademir dos Anjos; Ademir Neves; Gustavo Amadeu Micke; Iolanda C. Vieira

How to cite this article

 

https://dx.doi.org/10.1590/S0103-50532008000600024

Published online: July 31, 2008

 

Share PDF

Total access: 1089


J. Braz. Chem. Soc. 2008, 19(6), 1224-1229

Synthesis of Ag-PVA and Ag-PVA/PET-s20 Composites by Supercritical CO2 Method and Study of Silver Nanoparticle Growth

Rafael Silva; Marcos H. Kunita; Emerson M. Girotto; Eduardo Radovanovic; Edvani C. Muniz; Gizilene M. Carvalho; Adley F. Rubira

How to cite this article

 

https://dx.doi.org/10.1590/S0103-50532008000600025

Published online: July 31, 2008

 

Share PDF

Total access: 1015


Short Reports J. Braz. Chem. Soc. 2008, 19(6), 1230-1233

Synthesis of Imidazole Derivatives from β-Lapachone and Related Compounds using Microwave and Supported Reagents

Andrea Rosane da Silva; Ari Miranda da Silva; Aurélio Baird Buarque Ferreira; Bauer de Oliveira Bernardes; Roberta Lindolfo da Costa

How to cite this article

 

https://dx.doi.org/10.1590/S0103-50532008000600026

Published online: July 18, 2008

 

Share PDF

Total access: 979


J. Braz. Chem. Soc. 2008, 19(6), 1234-1237

Real-Time Monitoring of the Heat of Transfer of a Homologous Series of m-Alkoxy Phenols from Isotonic Aqueous Solution to Bacterial Cells

P. L. O. Volpe; A. E. Beezer

How to cite this article

 

https://dx.doi.org/10.1590/S0103-50532008000600027

Published online: July 25, 2008

 

Share PDF

Total access: 954


Additions and Corrections J. Braz. Chem. Soc. 2008, 19(6), 1238

Analyzing the n→π* Electronic Transition of Formaldehyde in Water. A Sequential Monte Carlo/Time-Dependent Density Functional Theory

Thaciana Malaspina; Kaline Coutinho; Sylvio Canuto

How to cite this article

 

https://dx.doi.org/10.1590/S0103-50532008000600028

Share PDF

Total access: 1001

Online version ISSN 1678-4790 Printed version ISSN 0103-5053
Journal of the Brazilian Chemical Society
JBCS Editorial and Publishing Office
University of Campinas - UNICAMP
13083-970 Campinas-SP, Brazil

Free access

GN1