JBCS

14:40, Sat Nov 29

Open Access/APCs

First slide
Second slide
Third slide
Third slide
Fifth slide
Sixth slide

vol. 19, No. 7, 2008, p. 1239-1435




Editorial J. Braz. Chem. Soc. 2008, 19(7), 0

Challenges, Plans and Action

Fernando Galembeck

How to cite this article

 

https://dx.doi.org/10.1590/S0103-50532008000700001

Total access: 1713


Communication J. Braz. Chem. Soc. 2008, 19(7), 1239-1243

Triiodoisocyanuric Acid: a New and Convenient Reagent for Regioselective Iodination of Activated Arenes

Rodrigo da S. Ribeiro; Pierre M. Esteves; Marcio C. S. de Mattos

How to cite this article

 

https://dx.doi.org/10.1590/S0103-50532008000700002

Published online: August 5, 2008

 

Share PDF

Total access: 1872


J. Braz. Chem. Soc. 2008, 19(7), 1244-1247

Synthesis of Ferrocenyl Oxindole Compounds with Potential Anticancer Activity

Bárbara V. Silva; Núbia M. Ribeiro; Angelo C. Pinto; Maria D. Vargas; Luiz C. Dias

How to cite this article

 

https://dx.doi.org/10.1590/S0103-50532008000700003

Published online: August 27, 2008

 

Share PDF   Supplementary Information 

Total access: 3304


Review J. Braz. Chem. Soc. 2008, 19(7), 1248-1257

Nanochromics: Old Materials, New Structures and Architectures for High Performance Devices

Marcio Vidotti; Susana I. Córdoba de Torresi

How to cite this article

 

https://dx.doi.org/10.1590/S0103-50532008000700004

Published online: August 22, 2008

 

Share PDF

Total access: 1233


Articles J. Braz. Chem. Soc. 2008, 19(7), 1258-1263

Synthesis of Racemic and Chiral Albicanol, Albicanyl Acetate and Cyclozonarone: Cytotoxic Activity of ent-Cyclozonarone

Virginia Delgado; Veronica Armstrong; Manuel Cortés; Alejandro F. Barrero

How to cite this article

 

https://dx.doi.org/10.1590/S0103-50532008000700005

Published online: August 1, 2008

 

Share PDF   Supplementary Information 

Total access: 2155


J. Braz. Chem. Soc. 2008, 19(7), 1264-1269

Microwave-Promoted Synthesis of Novel N-Arylanthranilic Acids

Mauro A. Bueno; Larissa R. S. P. Silva; Arlene G. Corrêa

How to cite this article

 

https://dx.doi.org/10.1590/S0103-50532008000700006

Published online: August 1, 2008

 

Share PDF

Total access: 1110


J. Braz. Chem. Soc. 2008, 19(7), 1270-1276

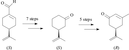
Enantioselective Synthesis of (R)-Isocarvone from (S)-Perillaldehyde

Douglas Gamba; Diego S. Pisoni; Jessie S. da Costa; Cesar L. Petzhold; Antonio C. A. Borges; Marco A. Ceschi

How to cite this article

 

https://dx.doi.org/10.1590/S0103-50532008000700007

Published online: August 5, 2008

 

Share PDF   Supplementary Information 

Total access: 2264


J. Braz. Chem. Soc. 2008, 19(7), 1277-1283

Black Carbon Contents and Distribution in Sediments from the Southeastern Brazilian Coast (Guanabara Bay)

Letícia G. L. Ribeiro; Renato S. Carreira; Angela L. R. Wagener

How to cite this article

 

https://dx.doi.org/10.1590/S0103-50532008000700008

Published online: August 6, 2008

 

Share PDF

Total access: 1122


J. Braz. Chem. Soc. 2008, 19(7), 1284-1289

Development of a Digestion Method for the Determination of Inorganic Contaminants in Polyvinyl Acetate (PVAc)

Erika Matoso; Solange Cadore

How to cite this article

 

https://dx.doi.org/10.1590/S0103-50532008000700009

Published online: August 6, 2008

 

Share PDF

Total access: 1078


J. Braz. Chem. Soc. 2008, 19(7), 1290-1297

Methodology Optimization and Application for Measurement of Gaseous Elemental Mercury in the Amazon Atmosphere

Marcelo D. Almeida; Rozane V. Marins; Heloisa H. M. Paraquetti; Luiz D. Lacerda

How to cite this article

 

https://dx.doi.org/10.1590/S0103-50532008000700010

Published online: August 8, 2008

 

Share PDF

Total access: 1183


J. Braz. Chem. Soc. 2008, 19(7), 1298-1305

Physicochemical Characterization of a Hydrophilic Model Drug-Loaded PHBV Microparticles Obtained by the Double Emulsion/Solvent Evaporation Technique

Paulo V. Farago; Renata P. Raffin; Adriana R. Pohlmann; Sílvia S. Guterres; Sônia F. Zawadzki

How to cite this article

 

https://dx.doi.org/10.1590/S0103-50532008000700011

Published online: August 8, 2008

 

Share PDF

Total access: 1203


J. Braz. Chem. Soc. 2008, 19(7), 1306-1310

Time Resolved Emission Spectroscopy of Poly(2,5-dicyano-p-phenylene-vinylene) Films

Jarem R. Garcia; Marcelo H. Gehlen; Hueder P. M. de Oliveira; Francisco C. Nart

How to cite this article

 

https://dx.doi.org/10.1590/S0103-50532008000700012

Published online: August 8, 2008

 

Share PDF

Total access: 1097


J. Braz. Chem. Soc. 2008, 19(7), 1311-1320

Type II Photooxidation Mechanism of Biomolecules using Chloro(5,10,15,20-Tetraphenylporphyrinato)indium(III) as a Photosensitizer

André Romero da Silva; Joselito Nardy Ribeiro; Daniel Rettori; Renato Atilio Jorge

How to cite this article

 

https://dx.doi.org/10.1590/S0103-50532008000700013

Published online: August 11, 2008

 

Share PDF

Total access: 1130


J. Braz. Chem. Soc. 2008, 19(7), 1321-1325

A New Guaiane Mannoside from a Eutypa-like Fungus Isolated from Murraya paniculata in Brazil

Afonso D. L. Souza; Edson Rodrigues-Filho; Antonia Q. L. Souza; Flavio Henrique-Silva; José O. Pereira

How to cite this article

 

https://dx.doi.org/10.1590/S0103-50532008000700014

Published online: August 11, 2008

 

Share PDF   Supplementary Information 

Total access: 2416


J. Braz. Chem. Soc. 2008, 19(7), 1326-1335

Determination of Liquefied Petroleum Flame Temperatures using Emission Spectroscopy

Dermeval Carinhana Jr.; Luiz G. Barreta; Cláudio J. Rocha; Alberto M. dos Santos; Celso A. Bertran

How to cite this article

 

https://dx.doi.org/10.1590/S0103-50532008000700015

Published online: August 11, 2008

 

Share PDF

Total access: 1199


J. Braz. Chem. Soc. 2008, 19(7), 1336-1346

Rheology of Decane/Water and Triglyceride/Water Emulsions Stabilized by β-Casein and Sodium Caseinate

Eliane N. Figueiredo; José A. G. Arêas; Elizabeth P. G. Arêas

How to cite this article

 

https://dx.doi.org/10.1590/S0103-50532008000700016

Published online: August 13, 2008

 

Share PDF

Total access: 1120


J. Braz. Chem. Soc. 2008, 19(7), 1347-1354

Rapid and Low Cost Determination of Cadmium in Whole Blood by Hydride Generation Atomic Fluorescence Spectrometry after Ultrasound-Assisted Sample Preparation

Zhongxi Li; Liping Zhou

How to cite this article

 

https://dx.doi.org/10.1590/S0103-50532008000700017

Published online: August 20, 2008

 

Share PDF

Total access: 1228


J. Braz. Chem. Soc. 2008, 19(7), 1355-1360

Palladium Polypyridyl Complexes: Synthesis, Characterization, DNA Interaction and Biological Activity on Leishmania (L.) mexicana

Maribel Navarro; Adelmo Betancourt; Clara Hernández; Edgar Marchán

How to cite this article

 

https://dx.doi.org/10.1590/S0103-50532008000700018

Published online: August 20, 2008

 

Share PDF

Total access: 1246


J. Braz. Chem. Soc. 2008, 19(7), 1361-1368

Reaction of β-Alkoxyvinyl Halomethyl Ketones with Cyanoacetohydrazide

Marcos A. P. Martins; Dayse N. Moreira; Clarissa P. Frizzo; Kelvis Longhi; Nilo Zanatta; Helio G. Bonacorso

How to cite this article

 

https://dx.doi.org/10.1590/S0103-50532008000700019

Published online: August 22, 2008

 

Share PDF

Total access: 1101


J. Braz. Chem. Soc. 2008, 19(7), 1369-1373

Theoretical Study of the Gas-Phase Reaction between Formyl Cation and Aromatics

André A. S. T. Ribeiro; Claudio J. A. Mota

How to cite this article

 

https://dx.doi.org/10.1590/S0103-50532008000700020

Published online: August 22, 2008

 

Share PDF   Supplementary Information 

Total access: 2040


J. Braz. Chem. Soc. 2008, 19(7), 1374-1380

Detailed Study of Brazil Nut (Bertholletia excelsa) Oil Micro-Compounds: Phospholipids, Tocopherols and Sterols

Thavarith Chunhieng; Abdel Hafidi; Daniel Pioch; José Brochier; Montet Didier

How to cite this article

 

https://dx.doi.org/10.1590/S0103-50532008000700021

Published online: August 27, 2008

 

Share PDF

Total access: 1255


J. Braz. Chem. Soc. 2008, 19(7), 1381-1387

Enhanced Optical Nonlinearities in Push-Pull Organic Systems with Polyenic-Mesoionic Ring Mixed Bridges

Ana Elizabete de A. Machado; Alfredo Arnóbio de S. da Gama

How to cite this article

 

https://dx.doi.org/10.1590/S0103-50532008000700022

Published online: August 28, 2008

 

Share PDF

Total access: 1183


J. Braz. Chem. Soc. 2008, 19(7), 1388-1393

Analysis of the Chemical Composition of the Essential Oils Extracted from Lippia lacunosa Mart. & Schauer and Lippia rotundifolia Cham. (Verbenaceae) by Gas Chromatography and Gas Chromatography-Mass Spectrometry

Suzana G. Leitão; Danilo R. de Oliveira; Valeria Sülsen; Virginia Martino; Ymira Galico Barbosa; Humberto R. Bizzo; Daíse Lopes; Lyderson F. Viccini; Fatima R. G. Salimena; Paulo H. P. Peixoto; Gilda G. Leitão

How to cite this article

 

https://dx.doi.org/10.1590/S0103-50532008000700023

Published online: August 27, 2008

 

Share PDF   Supplementary Information 

Total access: 2529


J. Braz. Chem. Soc. 2008, 19(7), 1394-1398

HPLC Determination of Oxadiazon in Commercial Pesticide Formulations

Guillermo Quintás; Sergio Armenta; Javier Moros; Salvador Garrigues; Agustín Pastor; Miguel de la Guardia

How to cite this article

 

https://dx.doi.org/10.1590/S0103-50532008000700024

Published online: August 27, 2008

 

Share PDF

Total access: 1387


J. Braz. Chem. Soc. 2008, 19(7), 1399-1404

Multivariate Analysis of Metal Contamination in Street Dusts of Istanbul D-100 Highway

Ece K. Yetimoğlu; Özgen Ercan

How to cite this article

 

https://dx.doi.org/10.1590/S0103-50532008000700025

Published online: August 27, 2008

 

Share PDF

Total access: 1144


J. Braz. Chem. Soc. 2008, 19(7), 1405-1412

Th(IV)-Hexacyanoferrate Modified Carbon Paste Electrode as a New Electrocatalytic Probe for Simultaneous Determination of Ascorbic Acid and Dopamine from Acidic Media

Khalil Farhadi; Farshad Kheiri; Mirmaqsoud Golzan

How to cite this article

 

https://dx.doi.org/10.1590/S0103-50532008000700026

Published online: August 28, 2008

 

Share PDF

Total access: 1128


J. Braz. Chem. Soc. 2008, 19(7), 1413-1417

The Effect of using Mixed Initiator Systems on the Efficiency of Photopolymerization of Dental Resins

Miguel G. Neumann; Carla C. Schmitt; Ivo C. Correa; Beatriz E. Goi

How to cite this article

 

https://dx.doi.org/10.1590/S0103-50532008000700027

Published online: August 29, 2008

 

Share PDF

Total access: 1046


Short Reports J. Braz. Chem. Soc. 2008, 19(7), 1418-1422

Fluorimetric Method for the Determination of Erythromycin using a Photochemical Derivatization Approach

Virginia de L. M. Finete; Márcia Arissawa; Ricardo Q. Aucélio

How to cite this article

 

https://dx.doi.org/10.1590/S0103-50532008000700028

Published online: August 6, 2008

 

Share PDF

Total access: 1414


J. Braz. Chem. Soc. 2008, 19(7), 1423-1428

New Flavonoids and other Constituents from Ouratea hexasperma (Ochnaceae)

Mário G. de Carvalho; Luciano R. Suzart; Lorena C. Cavatti; Maria Auxiliadora C. Kaplan

How to cite this article

 

https://dx.doi.org/10.1590/S0103-50532008000700029

Published online: August 20, 2008

 

Share PDF

Total access: 1141


J. Braz. Chem. Soc. 2008, 19(7), 1429-1432

Determination of Oleanolic and Ursolic Acids in Different Parts of Perilla frutescens by High-Performance Liquid Chromatography

Shengqin Zou; Wu Chen

How to cite this article

 

https://dx.doi.org/10.1590/S0103-50532008000700030

Published online: August 22, 2008

 

Share PDF

Total access: 1103


J. Braz. Chem. Soc. 2008, 19(7), 1433-1435

MKTOP: a Program for Automatic Construction of Molecular Topologies

André A. S. T. Ribeiro; Bruno A. C. Horta; Ricardo B. de Alencastro

How to cite this article

 

https://dx.doi.org/10.1590/S0103-50532008000700031

Published online: August 27, 2008

 

Share PDF

Total access: 1152

Online version ISSN 1678-4790 Printed version ISSN 0103-5053
Journal of the Brazilian Chemical Society
JBCS Editorial and Publishing Office
University of Campinas - UNICAMP
13083-970 Campinas-SP, Brazil

Free access

GN1