JBCS

12:55, Sat Nov 29

Open Access/APCs

First slide
Second slide
Third slide
Third slide
Fifth slide
Sixth slide

vol. 18, No. 1, 2007, p. 11-242




Editorial J. Braz. Chem. Soc. 2007, 18(1), 0-0

Editorial

Watson Loh; Luiz Carlos Dias

How to cite this article

 

https://dx.doi.org/10.1590/S0103-50532007000100001

Total access: 1652


Review J. Braz. Chem. Soc. 2007, 18(1), 11-33

Traditional uses, Chemistry and Pharmacology of Croton species (Euphorbiaceae)

Antonio Salatino; Maria L. Faria Salatino; Giuseppina Negri

How to cite this article

 

https://dx.doi.org/10.1590/S0103-50532007000100002

Published online: January 26, 2007

 

Share PDF

Total access: 2829


Articles J. Braz. Chem. Soc. 2007, 18(1), 34-40

A Comparative Evaluation on the Oxidative Approaches for Extraction of Humic Acids from Low Rank Coal of Mukah, Sarawak

Sim Siong Fong; Lau Seng; Norrafidah Bt Majri; Haslinda Bt Mat

How to cite this article

 

https://dx.doi.org/10.1590/S0103-50532007000100003

Published online: October 3, 2006

 

Share PDF

Total access: 1119


J. Braz. Chem. Soc. 2007, 18(1), 41-46

Reuse of Nitric Acid in the Oxidative Pretreatment Step for Preparation of Humic Acids from Low Rank Coal of Mukah, Sarawak

Sim Siong Fong; Lau Seng; Haslinda Bt Mat

How to cite this article

 

https://dx.doi.org/10.1590/S0103-50532007000100004

Published online: October 3, 2006

 

Share PDF

Total access: 1195


J. Braz. Chem. Soc. 2007, 18(1), 47-53

Comparative Studies of the Sample Decomposition of Green and Roasted Coffee for Determination of Nutrients and Data Exploratory Analysis

Volnei R. Amorim Filho; Wagner L. Polito; José A. Gomes Neto

How to cite this article

 

https://dx.doi.org/10.1590/S0103-50532007000100005

Published online: October 10, 2006

 

Share PDF   Supplementary Information 

Total access: 2521


J. Braz. Chem. Soc. 2007, 18(1), 54-64

EIS and Microstructural Characterization of Artificial Nitrate Patina Layers Produced at Room Temperature on Copper and Bronze

R. del P. Bendezú H.; R. P. Gonçalves; A. C. Neiva; H. G. de Melo

How to cite this article

 

https://dx.doi.org/10.1590/S0103-50532007000100006

Published online: October 19, 2006

 

Share PDF   Supplementary Information 

Total access: 29086


J. Braz. Chem. Soc. 2007, 18(1), 65-73

High-Solid Systems of Partially Hydrolysed Waxy Maize Starch: Rheological and Structural Characterisations

G. K. Lopes; E. G. Azero; M. Vázquez da Silva; M. P. Gonçalves; C. T. Andrade

How to cite this article

 

https://dx.doi.org/10.1590/S0103-50532007000100007

Published online: October 19, 2006

 

Share PDF

Total access: 1172


J. Braz. Chem. Soc. 2007, 18(1), 74-84

Isotropic and Anisotropic NMR Chemical Shifts in Liquid Water: A Sequential QM/MM Study

Eudes E. Fileti; Herbert C. Georg; Kaline Coutinho; Sylvio Canuto

How to cite this article

 

https://dx.doi.org/10.1590/S0103-50532007000100008

Published online: October 19, 2006

 

Share PDF

Total access: 1168


J. Braz. Chem. Soc. 2007, 18(1), 85-92

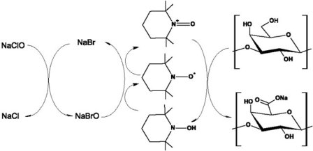
Oxidation of Cashew Tree Gum Exudate Polysaccharide with TEMPO Reagent

Pablyana L. R. Cunha; Jeanny S. Maciel; Maria Rita Sierakowski; Regina C. M. de Paula; Judith P. A. Feitosa

How to cite this article

 

https://dx.doi.org/10.1590/S0103-50532007000100009

Published online: November 7, 2006

 

Share PDF

Total access: 1263


J. Braz. Chem. Soc. 2007, 18(1), 93-99

Simultaneous Voltammetric Determination of Dopamine and Ascorbic Acid using Multivariate Calibration Methodology Performed on a Carbon Paste Electrode Modified by a mer-[RuCl3(dppb)(4-pic)] Complex

Poliana M. Santos; Bianca Sandrino; Tiago F. Moreira; Karen Wohnrath; Noemi Nagata; Christiana A. Pessoa

How to cite this article

 

https://dx.doi.org/10.1590/S0103-50532007000100010

Published online: November 7, 2006

 

Share PDF

Total access: 1067


J. Braz. Chem. Soc. 2007, 18(1), 100-105

On-Line LC/UV/MS Analysis of Flavonols in the Three Apple Varieties Most Widely Cultivated in Brazil

Luciana A. Tiberti; Janete H. Yariwake; Karine Ndjoko; Kurt Hostettmann

How to cite this article

 

https://dx.doi.org/10.1590/S0103-50532007000100011

Published online: November 24, 2006

 

Share PDF   Supplementary Information 

Total access: 2192


J. Braz. Chem. Soc. 2007, 18(1), 106-115

Natural and Anthropogenic Sterols Inputs in Surface Sediments of Patos Lagoon, Brazil

César de Castro Martins; Gilberto Fillmann; Rosalinda Carmela Montone

How to cite this article

 

https://dx.doi.org/10.1590/S0103-50532007000100012

Published online: November 24, 2006

 

Share PDF

Total access: 1164


J. Braz. Chem. Soc. 2007, 18(1), 116-125

Aquatic Contamination of the Turvo Limpo River Basin at the Minas Gerais State, Brazil

Cláudio P. Jordão; Paulo Roberto da S. Ribeiro; Antônio T. de Matos; Raphael B. A. Fernandes

How to cite this article

 

https://dx.doi.org/10.1590/S0103-50532007000100013

Published online: November 24, 2006

 

Share PDF

Total access: 1224


J. Braz. Chem. Soc. 2007, 18(1), 126-134

Inactivation of Escherichia coli in Water by TiO2-assisted Disinfection using Solar Light

Cecília P. Rodrigues; Roberta L. Ziolli; José R. Guimarães

How to cite this article

 

https://dx.doi.org/10.1590/S0103-50532007000100014

Published online: January 12, 2007

 

Share PDF

Total access: 1107


J. Braz. Chem. Soc. 2007, 18(1), 135-142

GC-MS Determination of Organochlorine Pesticides in Medicinal Plants Harvested in Brazil

Marili V.N. Rodrigues; Felix G. R. Reyes; Pedro M. Magalhães; Susanne Rath

How to cite this article

 

https://dx.doi.org/10.1590/S0103-50532007000100015

Published online: January 19, 2007

 

Share PDF

Total access: 1210


J. Braz. Chem. Soc. 2007, 18(1), 143-152

Electrodeposition of Polypyrrole Films on Aluminum from Tartrate Aqueous Solution

Andréa S. Liu; Maria A. S. Oliveira

How to cite this article

 

https://dx.doi.org/10.1590/S0103-50532007000100016

Published online: January 19, 2007

 

Share PDF

Total access: 1287


J. Braz. Chem. Soc. 2007, 18(1), 153-166

Atmospheric Corrosion Performance of Carbon Steel, Galvanized Steel, Aluminum and Copper in the North Brazilian Coast

Yuri C. Sica; Elaine D. Kenny; Kleber F. Portella; Djalma F. Campos Filho

How to cite this article

 

https://dx.doi.org/10.1590/S0103-50532007000100017

Published online: January 19, 2007

 

Share PDF

Total access: 1326


J. Braz. Chem. Soc. 2007, 18(1), 167-170

A Facile Spectrophotometric Method for the Determination of Hypochlorite using Rhodamine B

Chand Pasha; B. Narayana

How to cite this article

 

https://dx.doi.org/10.1590/S0103-50532007000100018

Published online: January 19, 2007

 

Share PDF

Total access: 1162


J. Braz. Chem. Soc. 2007, 18(1), 171-178

Kinetics and Mechanism of Hydrolysis of Benzimidazolylcarbamates

F. P. Norberto; S. P. Santos; J. Iley; D. B. Silva; M. Corte Real

How to cite this article

 

https://dx.doi.org/10.1590/S0103-50532007000100019

Published online: January 19, 2007

 

Share PDF

Total access: 1164


J. Braz. Chem. Soc. 2007, 18(1), 179-183

Identification of Impact Aroma Compounds in Eugenia uniflora L. (Brazilian Pitanga) Leaf Essential Oil

Rosineia M. Melo; Vivian F. S. Corrêa; Ana Carolina L. Amorim; Ana Luisa P. Miranda; Claudia M. Rezende

How to cite this article

 

https://dx.doi.org/10.1590/S0103-50532007000100020

Published online: January 24, 2007

 

Share PDF   Supplementary Information 

Total access: 2330


J. Braz. Chem. Soc. 2007, 18(1), 184-188

Phytochemical and Antibacterial Evaluation of Essential Oils from Ottonia martiana Miq. (Piperaceae)

Miriam M. Cunico; André R. Lopes; Liliam C. Côcco; Carlos I. Yamamoto; Rubia C. B. Plocharski; Marilis D. Miguel; Albino G. Junior; Celso G. Auer; Obdulio G. Miguel

How to cite this article

 

https://dx.doi.org/10.1590/S0103-50532007000100021

Published online: January 24, 2007

 

Share PDF

Total access: 1146


J. Braz. Chem. Soc. 2007, 18(1), 189-194

Ammonium Ion Sensor Based on SiO2/ZrO2/phosphate-NH4+ Composite for Quantification of Ammonium Ions in Natural Waters

Cláudia F. B. Coutinho; Alfredo A. Muxel; Crystian G. Rocha; Débora A. de Jesus; Rení V. S. Alfaya; Flaveli A. S. Almeida; Yoshitaka Gushikem; Antonio A. S. Alfaya

How to cite this article

 

https://dx.doi.org/10.1590/S0103-50532007000100022

Published online: January 24, 2007

 

Share PDF

Total access: 1047


J. Braz. Chem. Soc. 2007, 18(1), 195-204

Effects of Composted Urban Solid Waste Addition on Yield and Metal Contents of Lettuce

Cláudio P. Jordão; Clésia C. Nascentes; Renildes L. F. Fontes; Paulo R. Cecon; José L. Pereira

How to cite this article

 

https://dx.doi.org/10.1590/S0103-50532007000100023

Published online: January 24, 2007

 

Share PDF

Total access: 1124


J. Braz. Chem. Soc. 2007, 18(1), 205-214

Multivariate Classification Based on Chemical and Stable Isotopic Profiles in Sourcing the Origin of Marijuana Samples Seized in Brazil

Elisa K. Shibuya; Jorge E. S. Sarkis; Osvaldo Negrini-Neto; Jean P. H. B. Ometto

How to cite this article

 

https://dx.doi.org/10.1590/S0103-50532007000100024

Published online: January 24, 2007

 

Share PDF

Total access: 1105


J. Braz. Chem. Soc. 2007, 18(1), 215-222

Fabrication of a New Samarium(III) Ion-Selective Electrode Based on 3-{[2-Oxo-1(2H)-acenaphthylenyliden]amino}-2-thioxo-1,3-thiazolidin-4-one

Hassan Ali Zamani; Mohammad Reza Ganjali; Mehdi Adib

How to cite this article

 

https://dx.doi.org/10.1590/S0103-50532007000100025

Published online: January 26, 2007

 

Share PDF

Total access: 1016


J. Braz. Chem. Soc. 2007, 18(1), 223-230

Effect of the Ion-Protein Dispersion Interactions on the Protein-Surface and Protein-Protein Interactions

Livia A. Moreira; Mathias Boström; Barry W. Ninham; Evaristo C. Biscaia; Frederico W. Tavares

How to cite this article

 

https://dx.doi.org/10.1590/S0103-50532007000100026

Published online: January 26, 2007

 

Share PDF

Total access: 1114


J. Braz. Chem. Soc. 2007, 18(1), 231-238

Novel Method for Determination of Trace Amounts of Citalopram in Tablets by Fast Fourier Continuous Cyclic Voltammetry at Au Microelectrode in Flowing Solutions

Parviz Norouzi; Parandis Daneshgar; Mohammad Reza Ganjali; Aliakbar Moosavi-Movahedi

How to cite this article

 

https://dx.doi.org/10.1590/S0103-50532007000100027

Published online: January 26, 2007

 

Share PDF

Total access: 1157


Short Reports J. Braz. Chem. Soc. 2007, 18(1), 239-242

Mono and Dibromo-5,5-diethylbarbituric Acids for Cleavage of Trimethylsilyl Ethers

Ardeshir Khazaei; Mohammad Ali Zolfigol; Zahra Tanbakouchian; Morteza Shiri; Amin Rostami; Hossein Iloukhani

How to cite this article

 

https://dx.doi.org/10.1590/S0103-50532007000100028

Published online: October 19, 2006

 

Share PDF

Total access: 1112

Online version ISSN 1678-4790 Printed version ISSN 0103-5053
Journal of the Brazilian Chemical Society
JBCS Editorial and Publishing Office
University of Campinas - UNICAMP
13083-970 Campinas-SP, Brazil

Free access

GN1