JBCS

13:26, Sat Nov 29

Open Access/APCs

First slide
Second slide
Third slide
Third slide
Fifth slide
Sixth slide

vol. 18, No. 6, 2007, p. 1095-1291




Editorial J. Braz. Chem. Soc. 2007, 18(6), 0

Agricultural Chemistry and Bioenergy

James N. Seiber

How to cite this article

 

https://dx.doi.org/10.1590/S0103-50532007000600001

Total access: 1835


Communication J. Braz. Chem. Soc. 2007, 18(6), 1095-1099

Sonovoltammetric Determination of 4-Nitrophenol on Diamond Electrodes

Gustavo S. Garbellini; Giancarlo R. Salazar-Banda; Luis A. Avaca

How to cite this article

 

https://dx.doi.org/10.1590/S0103-50532007000600002

Published online: September 19, 2007

 

Share PDF

Total access: 1188


Review J. Braz. Chem. Soc. 2007, 18(6), 1100-1124

Insect Pheromone Synthesis in Brazil: an Overview

Paulo H. G. Zarbin; José A. F. P. Villar; Arlene G. Corrêa

How to cite this article

 

https://dx.doi.org/10.1590/S0103-50532007000600003

Published online: September 28, 2007

 

Share PDF

Total access: 1075


Articles J. Braz. Chem. Soc. 2007, 18(6), 1125-1131

Clean-up of Extracts for Nitrated Derivatives of Polycyclic Aromatic Hydrocarbons Analyses prior to their Gas Chromatography Determination

Jiří Pryček; Miroslav Ciganek; Zdeněk Šimek

How to cite this article

 

https://dx.doi.org/10.1590/S0103-50532007000600004

Published online: August 23, 2007

 

Share PDF

Total access: 1248


J. Braz. Chem. Soc. 2007, 18(6), 1132-1135

New Flavone from the Leaves of Neea theifera (Nyctaginaceae)

Daniel Rinaldo; Clenilson M. Rodrigues; Juliana Rodrigues; Miriam Sannomiya; Lourdes C. dos Santos; Wagner Vilegas

How to cite this article

 

https://dx.doi.org/10.1590/S0103-50532007000600005

Published online: September 4, 2007

 

Share PDF   Supplementary Information 

Total access: 2278


J. Braz. Chem. Soc. 2007, 18(6), 1136-1144

Assessment of Anthropogenic Influences on Copper Complexation by Aquatic Dissolved Organic Matter using Synchronous Fluorescence

Fernando F. Sodré; Marco T. Grassi

How to cite this article

 

https://dx.doi.org/10.1590/S0103-50532007000600006

Published online: September 4, 2007

 

Share PDF

Total access: 1204


J. Braz. Chem. Soc. 2007, 18(6), 1145-1149

Headspace Microextraction of Tin into an Aqueous Microdrop Containing Pd(II) and Tributyl Phosphate for its Determination by ETAAS

Payman Hashemi; Akram Rahimi; Ali Reza Ghiasvand; Mir Mehdi Abolghasemi

How to cite this article

 

https://dx.doi.org/10.1590/S0103-50532007000600007

Published online: September 4, 2007

 

Share PDF

Total access: 1165


J. Braz. Chem. Soc. 2007, 18(6), 1150-1157

Studies of Electrochemical Behavior of SWNT-film Electrodes

M. Muzibur Rahman; I. Cheol Jeon

How to cite this article

 

https://dx.doi.org/10.1590/S0103-50532007000600008

Published online: September 4, 2007

 

Share PDF

Total access: 1626


J. Braz. Chem. Soc. 2007, 18(6), 1158-1163

Electrochemical Behaviour of Iron in Chlorinated Alkaline Media. The Effect of Slurries from Granite Processing

Carmen M. Abreu; Alba Covelo; Belén Díaz; Lorena Freire; X. Ramón Nóvoa; M. Consuelo Pérez

How to cite this article

 

https://dx.doi.org/10.1590/S0103-50532007000600009

Published online: September 12, 2007

 

Share PDF

Total access: 1122


J. Braz. Chem. Soc. 2007, 18(6), 1164-1175

Corrosion Study of Electrodeposited Zn and Zn-Co Coatings in Chloride Medium

Pedro De Lima-Neto; Adriana N. Correia; Regilany P. Colares; Walney S. Araujo

How to cite this article

 

https://dx.doi.org/10.1590/S0103-50532007000600010

Published online: September 12, 2007

 

Share PDF

Total access: 1212


J. Braz. Chem. Soc. 2007, 18(6), 1176-1182

Synthesis, Herbicidal, Fungicidal and Insecticidal Evaluation of 3-(Dichlorophenyl)-isocoumarins and (±)-3-(Dichlorophenyl)-3,4-dihydroisocoumarins

Ghulam Qadeer; Nasim Hasan Rama; Zhi-Jin Fan; Bin Liu; Xiu-Feng Liu

How to cite this article

 

https://dx.doi.org/10.1590/S0103-50532007000600011

Published online: September 12, 2007

 

Share PDF

Total access: 1153


J. Braz. Chem. Soc. 2007, 18(6), 1183-1188

Computer-Aided Prediction of 125Te and 13C NMR Chemical Shifts of Diorgano Tellurides

Vicente P. Emerenciano; Dennis G. Diego; Marcelo J. P. Ferreira; Marcus T. Scotti; Gilberto V. Rodrigues; João V. Comasseto

How to cite this article

 

https://dx.doi.org/10.1590/S0103-50532007000600012

Published online: September 12, 2007

 

Share PDF

Total access: 1117


J. Braz. Chem. Soc. 2007, 18(6), 1189-1193

Photoelectrochemical Cells based on Emeraldine Base Form of Polyaniline

Assefa Sergawie; Teketel Yohannes; Serap Günes; Helmut Neugebauer; Niyazi S. Sariciftci

How to cite this article

 

https://dx.doi.org/10.1590/S0103-50532007000600013

Published online: September 19, 2007

 

Share PDF

Total access: 1185


J. Braz. Chem. Soc. 2007, 18(6), 1194-1206

Trace Metal Contamination in Mangrove Sediments, Guanabara Bay, Rio de Janeiro, Brazil

Cassia O. Farias; Claudia Hamacher; Angela de Luca R. Wagener; Reinaldo C. de Campos; José M. Godoy

How to cite this article

 

https://dx.doi.org/10.1590/S0103-50532007000600014

Published online: September 19, 2007

 

Share PDF

Total access: 1236


J. Braz. Chem. Soc. 2007, 18(6), 1207-1214

Fe(III) Hepthyldithocarbamate as a New Collector for Flotation Separation and Preconcentration of Cr, Cu, and Pb from Fresh Waters before their Determination by ETAAS

Katarina Čundeva; Gorica Pavlovska; Trajče Stafilov

How to cite this article

 

https://dx.doi.org/10.1590/S0103-50532007000600015

Published online: September 19, 2007

 

Share PDF

Total access: 1144


J. Braz. Chem. Soc. 2007, 18(6), 1215-1219

Flow-Injection Spectrophotometric System for Captopril Determination in Pharmaceuticals

Willian T. Suarez; Alexandro A. Madi; Luiz C. S. de Figueiredo-Filho; Orlando Fatibello-Filho

How to cite this article

 

https://dx.doi.org/10.1590/S0103-50532007000600016

Published online: September 19, 2007

 

Share PDF

Total access: 1173


J. Braz. Chem. Soc. 2007, 18(6), 1220-1223

Reaction of Aromatic Carboxylic Acids with Isocyanates using Ionic Liquids as Novel and Efficient Media

Shadpour Mallakpour; Hamed Yousefian

How to cite this article

 

https://dx.doi.org/10.1590/S0103-50532007000600017

Published online: September 28, 2007

 

Share PDF

Total access: 1214


J. Braz. Chem. Soc. 2007, 18(6), 1224-1234

Conventional and Microwave-Assisted Reaction of N-Hydroxymethylphthalimide with Arylamines: Synthesis of N-(Arylaminomethyl)-phthalimides

Vera L. M. Sena; Rajendra M. Srivastava; Carlos A. de Simone; Simone M. da Cruz Gonçalves; Ricardo O. Silva; Mariano A. Pereira

How to cite this article

 

https://dx.doi.org/10.1590/S0103-50532007000600018

Published online: October 2, 2007

 

Share PDF

Total access: 1176


J. Braz. Chem. Soc. 2007, 18(6), 1235-1241

Manganese Determination by GFAAS in Feces and Fish Feed Slurries

Vanessa Rosa Loureiro; Mayra A. D. Saleh; Paula M. Moraes; Renato C. F. Neves; Fabio A. Silva; Cilene C. F. Padilha; Pedro M. Padilha

How to cite this article

 

https://dx.doi.org/10.1590/S0103-50532007000600019

Published online: October 2, 2007

 

Share PDF

Total access: 1186


J. Braz. Chem. Soc. 2007, 18(6), 1242-1246

Identification of Defensive Compounds in Metathoracic Glands of Adults of the Stink Bug Dichelops melacanthus (Hemiptera: Pentatomidae)

Francisco A. Marques; Edison P. Wendler; Beatriz Helena L. N. Sales Maia; Maurício U. Ventura; Iara Cintra Arruda-Gatti

How to cite this article

 

https://dx.doi.org/10.1590/S0103-50532007000600020

Published online: October 2, 2007

 

Share PDF   Supplementary Information 

Total access: 2150


J. Braz. Chem. Soc. 2007, 18(6), 1247-1253

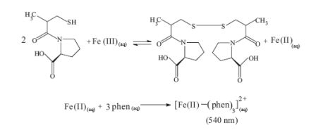
Further Studies on the Synergistic Effect of Ni(II) and Co(II) Ions on the Sulfite Induced Autoxidation of Cu(II) Penta and Hexaglycine Complexes

Luciana B. Carvalho; María V. Alipázaga; Rubén G. M. Moreno; Nina Coichev

How to cite this article

 

https://dx.doi.org/10.1590/S0103-50532007000600021

Published online: October 2, 2007

 

Share PDF

Total access: 1165


J. Braz. Chem. Soc. 2007, 18(6), 1254-1258

Synthesis of Macrocyclic Polyazomethines

Elizbar Elizbarashvili; Tea Matitaishvili; Khatuna Topuria

How to cite this article

 

https://dx.doi.org/10.1590/S0103-50532007000600022

Published online: October 4, 2007

 

Share PDF

Total access: 1171


J. Braz. Chem. Soc. 2007, 18(6), 1259-1269

Mercury Speciation Changes in Waters of the Sepetiba Bay, SE Brazil during Tidal Events and Different Seasons

Heloisa H. M. Paraquetti; Luiz D. Lacerda; Marcelo D. Almeida; Rozane V. Marins; Stephane Mounier

How to cite this article

 

https://dx.doi.org/10.1590/S0103-50532007000600023

Published online: October 4, 2007

 

Share PDF

Total access: 1158


Short Reports J. Braz. Chem. Soc. 2007, 18(6), 1270-1275

Determination of Rhodium and Platinum by Electrothermal Atomic Absorption Spectrometry after Preconcentration with a Chelating Resin

F. Sánchez Rojas; C. Bosch Ojeda; J.M. Cano Pavón

How to cite this article

 

https://dx.doi.org/10.1590/S0103-50532007000600024

Published online: August 23, 2007

 

Share PDF

Total access: 1285


J. Braz. Chem. Soc. 2007, 18(6), 1276-1280

Identification and Antioxidant Activity of Several Flavonoids of Inga Edulis Leaves

Jesus N. S. Souza; Evaldo M. Silva; Milton N. da Silva; Mara S. P. Arruda; Yvan Larondelle; Hervé Rogez

How to cite this article

 

https://dx.doi.org/10.1590/S0103-50532007000600025

Published online: September 4, 2007

 

Share PDF   Supplementary Information 

Total access: 2112


J. Braz. Chem. Soc. 2007, 18(6), 1281-1284

A Mild Procedure for α,α-Dichlorination of Cyclic Aryl Ketones using Commercial Bleach

Samir A. P. Quintiliano; Luiz F. Silva Jr.

How to cite this article

 

https://dx.doi.org/10.1590/S0103-50532007000600026

Published online: September 12, 2007

 

Share PDF   Supplementary Information 

Total access: 2169


J. Braz. Chem. Soc. 2007, 18(6), 1285-1291

Synthesis and Evaluation of 1-Alkyl-4-phenyl-[1,2,3]-triazole Derivatives as Antimycobacterial Agent

Hugo Gallardo; Gilmar Conte; Fernando Bryk; Maria Cristina S. Lourenço; Marilia S. Costa; Vitor F. Ferreira

How to cite this article

 

https://dx.doi.org/10.1590/S0103-50532007000600027

Published online: September 19, 2007

 

Share PDF

Total access: 1252

Online version ISSN 1678-4790 Printed version ISSN 0103-5053
Journal of the Brazilian Chemical Society
JBCS Editorial and Publishing Office
University of Campinas - UNICAMP
13083-970 Campinas-SP, Brazil

Free access

GN1